Cargando el Contenido del Documento
Por favor espere...

Resolución 3388 de 2008 Ministerio de la Protección Social

Fecha de Expedición:
08/09/2008
Fecha de Entrada en Vigencia:
10/09/2008
Medio de Publicación:
Diario Oficial 47.108 de septiembre 10 de 2008
La Secretaría Jurídica Distrital aclara que la información aquí contenida tiene exclusivamente carácter informativo, su vigencia está sujeta al análisis y competencias que determine la Ley o los reglamentos. Los contenidos están en permanente actualización.


 
 

RESOLUCIÓN 003388 DE 2008

RESOLUCIÓN 003388 DE 2008

(septiembre 8)

por la cual se expide el reglamento técnico sobre los requisitos sanitarios de los juguetes, sus componentes y accesorios, que se comercialicen en el Territorio Nacional, y se dictan otras disposiciones.

EL MINISTRO DE LA PROTECCIÓN SOCIAL,

en ejercicio de sus atribuciones legales, en especial las conferidas en el artículo 551 de la Ley 9ª de 1979, la Ley 170 de 1994 y el numeral 17 del artículo 2° del Decreto 205 de 2003, y

CONSIDERANDO:

Que de acuerdo con lo previsto en el artículo 78 de la Constitución Política de Colombia, serán responsables, de acuerdo con la ley, quienes en la producción y en la comercialización de bienes y servicios, atenten contra la salud, la seguridad y el adecuado aprovisionamiento a consumidores y usuarios;

Que el Acuerdo sobre Obstáculos Técnicos al Comercio de la Organización Mundial del Comercio, al cual adhirió Colombia a través de la Ley 170 de 1994 y la Decisión 419 de la Comisión de la Comunidad Andina, establecen que los países tienen derecho a adoptar las medidas necesarias para asegurar la calidad de sus exportaciones, o para la protección de la salud y la vida de las personas, para la protección del medio ambiente, o para la prevención de prácticas que pueden inducir a error, para lo cual pueden adoptar reglamentos técnicos que incluyan prescripciones en materia de terminología, símbolos, embalaje, marcado o etiquetado aplicable a productos;

Que tal como se contempla en el numeral 2.2 del artículo 2° del Acuerdo sobre Obstáculos Técnicos al Comercio de la Organización Mundial del Comercio; en el artículo 14-01 del Tratado de Libre Comercio con los Estados Unidos Mexicanos y la República de Venezuela; y, en el artículo 26 de la Decisión Andina 376 de 1995, los Reglamentos Técnicos se establecen para garantizar, entre otros, los siguientes objetivos legítimos: los imperativos de la seguridad nacional; la protección de la salud o seguridad humana, de la vida o la salud animal o vegetal, o del medio ambiente y la prevención de prácticas que puedan inducir a error a los consumidores;

Que la Decisión 506 de 2001 expedida por la Comisión de la Comunidad Andina decidió sobre el reconocimiento y aceptación de certificados de productos a ser comercializados en la Comunidad Andina y que la Decisión 562 de 2003 de la Comisión de la Comunidad Andina, aprobó directrices para la elaboración, adopción y aplicación de Reglamentos Técnicos en los países miembros de la Comunidad Andina y a Nivel Comunitario;

Que en el artículo 3° de la Ley 155 de 1959 se establece que le corresponde al Gobierno Nacional intervenir en la fijación de normas sobre calidad de los productos, con miras a defender el interés de los consumidores y de los productores de materias primas;

Que conforme se dispone en los artículos 7° y 8° del Decreto 2269 de 1993, en correspondencia con el Decreto 300 de 1995, se deberá demostrar la conformidad de un bien o servicio con norma obligatoria o reglamento técnico a que se encuentre sujeto antes de su comercialización, independientemente que se produzcan en Colombia o que se importen, de acuerdo con el procedimiento establecido para el efecto;

Que mediante el Decreto 300 de febrero 10 de 1995, el Gobierno Nacional estableció el procedimiento para verificar el cumplimiento de las normas técnicas colombianas oficiales y los Reglamentos Técnicos en los productos importados;

Que la Decisión 562 de la Comunidad Andina señala las directrices para la elaboración, adopción y aplicación de Reglamentos Técnicos en los Países Miembros de la Comunidad Andina y en el nivel comunitario, estableciendo en el artículo 4° que el reglamento técnico, "es un documento adoptado para hacer frente a problemas o amenazas de problemas que pudieran afectar la seguridad, sanidad, protección del medio ambiente o seguridad nacional";

Que de conformidad con lo dispuesto en los artículos 550 y 551 de la Ley 9ª de 1979, los juguetes son considerados artículos de uso doméstico y le corresponde a la autoridad sanitaria, la inspección, vigilancia y control de estos productos, determinados como factores de riesgo del consumo;

Que es competencia de la Superintendencia Nacional de Industria y Comercio, velar por el derecho que tiene el consumidor a que el productor, el proveedor o el expendedor del bien, o quien prestó el servicio, respecto del cual se predica la falla de calidad o de idoneidad, responda por la garantía que tienen todos los bienes y servicios puestos en el mercado, con el fin de que no representen riesgos para la salud de la comunidad;

Que en consecuencia, se expidió la Resolución número 3158 de 2007 "por la cual se expide el reglamento técnico de emergencia para los juguetes, sus componentes y accesorios, que se comercialicen en Colombia", el cual tiene vigencia hasta el 10 de septiembre de 2008;

Que al persistir el riesgo, se hace necesario establecer un reglamento técnico que garantice el cumplimiento de los requisitos sanitarios que debe cumplir los juguetes, como una medida necesaria para garantizar la calidad e inocuidad de estos productos de uso doméstico, destinados en su gran mayoría a niños entre los 0 y 14 años, con el fin de proteger la salud humana y prevenir posibles daños a la misma.

Que el proyecto de reglamento técnico que se establece con la presente resolución, fue notificado a la Organización Mundial del Comercio mediante los documentos identificados con las Signaturas G/TBT/N/COL/109 del 11 de marzo de 2008, sobre el cual no se presentó ninguna observación por parte de los países miembros de la OMC, CAN y el G3;

En mérito de lo expuesto, este Despacho,

RESUELVE:

CAPITULO I

Objeto y campo de aplicación

Artículo 1°. Objeto. La presente resolución tiene por objeto establecer el reglamento técnico sobre los requisitos sanitarios que deben cumplir los juguetes, sus componentes y accesorios, que se fabriquen, importen, exporten, almacenen y comercialicen en el territorio nacional, con el fin de eliminar o prevenir adecuadamente un riesgo para la salud y la seguridad humana.

Artículo 2°. Campo de aplicación. Las disposiciones contenidas en el reglamento técnico que se establece mediante la presente resolución, se aplican a todos los juguetes destinados al uso humano que se fabriquen, importen, exporten, almacenen y comercialicen en el territorio nacional y que se encuentren clasificados en las siguientes Subpartidas arancelarias:

Subpartidas Arancelarias

Descripción texto arancel

9503001000

Triciclos, patinetes, coches de pedal y juguetes similares con ruedas; coches y sillas de ruedas para muñecas o muñecos

9503002920

Muñecas y muñecos, incluso vestidos

9503002990

Las demás, de muñecas o muñecos

9503003000

Modelos reducidos y modelos similares, para entretenimiento, incluso animados

9503004000

Rompecabezas de cualquier clase

9503009100

Trenes eléctricos, incluidos los carriles (rieles), señales y demás accesorios

9503009200

Los demás juguetes, de construcción

9503009300

Los demás juguetes que representen animales o seres no humanos.

9503009400

Instrumentos y aparatos, de música, de juguete

9503009500

Los demás juguetes presentados en juegos o surtidos o en panoplias.

9503009600

Los demás juguetes, con motor

9503009900

Los demás

9503009910

Globos de látex de caucho natural

9503009990

Los demás juguetes

9505900000

Artículos para fiestas, carnaval u otras diversiones incluidos los de magia y artículos sorpresa

Artículo 3°. Excepciones. Para efectos del presente reglamento técnico no se consideran juguetes los siguientes artículos:

a) Adornos para Navidad;

b) Armas de aire comprimido;

c) Bicicletas, salvo las que se consideran como juguetes, es decir las que poseen un sillín cuya altura máxima regulable sea de 635 mm;

d) Bisutería de niños;

e) Chupete de puericultura;

f) Equipos destinados a uso colectivo en terrenos de juegos;

g) Equipos deportivos;

h) Equipos náuticos para uso en aguas profundas;

i) Fuegos artificiales, incluidos los fulminantes de percusión;

j) Hondas y tirachines;

k) Hornos eléctricos, planchas u otros productos funcionales alimentados por una tensión nominal superior a 24 voltios;

l) Imitación fiel de armas de fuego;

m) Juegos de dardos con puntas metálicas;

n) Juegos de video que puedan conectarse a un monitor de video, alimentados por una corriente nominal superior a 24 voltios;

o) Juguetes "Profesionales" instalados en lugares públicos (centros comerciales, estaciones, etc.);

p) Máquinas de vapor de juguete;

q) Modelos a escala reducida para coleccionistas adultos

r) Muñecas folclóricas y decorativas y otros artículos similares para coleccionistas adultos;

s) Productos que contienen elementos que generen calor cuya utilización requiera la vigilancia de un adulto en prácticas pedagógicas;

t) Rompecabezas con más de 500 fichas o sin modelo, destinado a los especialistas;

u) Vehículos con motor de combustión;

CAPITULO II

Contenido técnico

Artículo 4°. Definiciones. Para los efectos de la aplicación del reglamento técnico que se establece a través de la presente resolución, se adoptan las siguientes definiciones:

Biodisponibilidad. Se entenderá por biodisponibilidad, la concentración del metal pesado libre y lábil presente en una muestra del extracto soluble.

Borde confinado. Aquel en el cual la parte de una lámina adyacente al borde se repliega sobre sí misma en un ángulo de aproximadamente 180°, de manera que quede aproximadamente paralela a la lámina principal.

Borde enrollado. Aquel en el cual la parte de la lámina adyacente al borde se dobla en un arco y forma un ángulo entre 90° y 120° con la lámina principal.

Comercialización. Se refiere a la venta y a la distribución gratuita y comprende tanto los productos de fabricación nacional como los importados.

Embalaje. Todos los materiales, procedimientos y métodos que sirven para acondicionar, presentar, manipular, almacenar, conservar y transportar los juguetes.

Empaque. Cualquier material que encierra un juguete con o sin envase, con el fin de preservarlo y facilitar su entrega al consumidor cuando se comercializa y el cual no se requiere para el funcionamiento del juguete.

Juguete. Todo producto concebido o manifiestamente destinado a ser utilizado con fines de juego por niños de edad inferior a 14 años.

Juguete funcional. Es aquel usado con fines de juego que suele ser un modelo a escala de cierto producto, artefacto o instalación destinada para uso por parte de adultos.

Peligro. Riesgo inminente de que suceda algún daño.

Uso normal. Modos de juego que cumplen las instrucciones suministradas con el juguete, establecidas por tradición o costumbre o que son evidentes al examinar el juguete.

Artículo 5°. Requisitos. Todos los juguetes destinados al uso humano, que se fabriquen e importen para su comercialización en el territorio nacional, además de cumplir con los requisitos señalados en los literales a) y b) del artículo 551 de la Ley 9ª de 1979, deberán cumplir con lo siguiente:

a) Los juguetes y sus partes, así como sus uniones, para el caso de juguetes desmontables, deberán tener la resistencia mecánica y la estabilidad suficiente para soportar las tensiones debidas al uso, sin roturas o deformaciones que puedan causar heridas;

b) Los bordes accesibles, salientes, cuerdas, cables y fijaciones de los juguetes deben diseñarse y construirse de manera que el contacto con ellos no presente riesgos de lesiones corporales;

c) Los juguetes deberán concebirse y fabricarse de forma que se reduzcan al mínimo los riesgos de heridas que puedan ser provocados por el movimiento de sus partes;

d) Los juguetes, sus componentes y sus partes removibles, destinados a niños de edad inferior a treinta y seis meses, deberán ser de dimensiones suficientes para que no puedan ser tragados y/o inhalados;

e) Los juguetes, sus partes y los embalajes en que se presenten para su venta al por menor no deberán presentar riesgo de estrangulamiento o asfixia;

f) Los juguetes para uso en el agua o para llevar un niño a través del agua, deberán concebirse y fabricarse de forma que se reduzca al mínimo, el riesgo de hundimiento del juguete y la pérdida de apoyo para el niño;

g) Los juguetes en los que se pueda entrar y que constituyan por lo tanto un espacio cerrado, deberán contar con un sistema de salida fácil de abrir desde el interior;

h) Los juguetes que confieran movilidad a sus usuarios deberán en la medida de lo posible, llevar incorporado un sistema de freno adaptado al tipo de juguete y que esté en relación con la energía cinética desarrollada por el mismo. Dicho sistema deberá ser de fácil utilización por sus usuarios, sin peligro de proyección o de heridas para los mismos o para terceros;

i) Los juguetes deberán ser diseñados y fabricados de forma que su ingestión inhalación, contacto con la piel, las mucosas o los ojos, no presenten riesgo para la salud o peligros de heridas, en caso de su utilización;

j) La biodisponibiliad diaria resultante del uso de los juguetes no deberá exceder de:

0.2 µg de antimonio.

0.1 µg de arsénico.

25 µg de bario.

0.6 µg de cadmio.

0.3 µg de cromo.

0.7 µg de plomo.

0.5 µg de mercurio.

5.0 µg de selenio.

k) Los juguetes no deberán ser explosivos o contener elementos o sustancias que puedan explotar;

l) Los juguetes que por razón del uso a que se destinen, contengan sustancias o preparados peligrosos (modelado plástico o cerámico, esmaltado, fotografía u otras actividades similares) no deben contener como tales sustancias o preparados que puedan llegar a ser inflamables como consecuencia de la pérdida de componentes volátiles no inflamables;

m) Los juguetes que contengan elementos que produzcan calor deberán construirse de tal forma que la temperatura máxima que alcance cualquier superficie de contacto, no pueda provocar quemadura al tocarlas.

Parágrafo. Los juguetes que contengan ftalatos, destinados a ser introducidos en la boca por niños menores de tres años, no podrán ser fabricados, importados ni comercializados en el territorio nacional.

Artículo 6°. Inflamabilidad. Los juguetes no deben constituir un peligroso elemento inflamable en el medio ambiente del niño, por lo tanto, deben estar hechos con materiales que cumplan las siguientes condiciones:

a) No se quemen al quedar expuestos a una llama o chispa u otra fuente potencial de fuego;

b) No sean fácilmente inflamables (la llama se apaga tan pronto como se retiren del foco del fuego);

c) Si arden lo hagan lentamente y con poca velocidad de propagación de la llama;

d) Que cualquiera que sea la composición química del juguete, haya sufrido un tratamiento tendiente a retrasar el proceso de combustión.

Artículo 7°. Propiedades eléctricas. La tensión eléctrica de los juguetes y de sus piezas, que funcionan con electricidad no podrá exceder de 24 voltios; y las partes del juguete en contacto, o que puedan entrar en contacto con una fuente de electricidad, capaz de provocar una descarga eléctrica, así como los cables u otros conductores por los que se lleve la electricidad a tales partes, deberán estar suficientemente aislados y protegidos mecánicamente para evitar el riesgo de descarga.

Artículo 8°. Higiene. Los juguetes deberán concebirse y fabricarse de manera que satisfagan las condiciones de higiene y limpieza necesarias a fin de evitar los riesgos de infección, enfermedad y contagio.

Artículo 9°. Riesgo. El grado de riesgo presente en el uso de un juguete, debe ser proporcional a la capacidad de los usuarios, o de las personas que los cuidan, especialmente para los juguetes que por sus funciones, dimensiones y características se destinen al uso de niños menores de 36 meses.

Artículo 10. Etiquetado. Los juguetes deberán ir acompañados en el empaque o en el mismo juguete, de las indicaciones en caracteres legibles y visibles que permitan conocer en todo momento los riesgos que pueda ocasionar su uso a fin de reducirlos y evitarlos, debiendo proporcionar como mínimo, la siguiente información al consumidor:

a) Identificación del fabricante;

b) Identificación del Importador o distribuidor autorizado;

c) Advertencias e indicaciones de uso en idioma español;

d) Precauciones de empleo ( para el caso de juguetes que así lo requieran), en idioma español;

e) Identificación del lote de producción;

f) La edad mínima del usuario de los juguetes y/o la necesidad de que se usen solamente bajo la vigilancia de un adulto;

g) En la etiqueta, embalaje o inserto de los juguetes, se deben dar las instrucciones a los usuarios y/o cuidadores, en forma eficaz y completa de los cuidados y los riesgos que puedan ocasionar su uso, así como la forma de evitarlos;

h) Los juguetes funcionales deberán llevar la leyenda "Atención utilizar bajo la vigilancia de un adulto";

i) Los patines de ruedas para niños, deberán llevar la leyenda "Atención usar con equipo de protección";

j) En el caso de juguetes muy pequeños, debe advertirse que no son adecuados para menores de 3 años;

k) Las cometas y juguetes voladores deben advertir que no pueden ser utilizados cerca de las líneas eléctricas.

CAPITULO III

Procedimientos administrativos

Artículo 11. Entidades de vigilancia y control. Previo a la comercialización y al levante aduanero de las mercancías, la Dirección de Impuestos y Aduanas Nacionales, DIAN, de acuerdo con lo estipulado en los Decretos 2685 de 1999 y 457 de 2008 y las normas que la modifiquen, adicionen y sustituyan, exigirá el certificado de conformidad o el concepto sobre su validez o equivalencia de requisitos, emitido por la Superintendencia de Industria y Comercio, SIC.

La Superintendencia de Industria y Comercio, SIC, en ejercicio de las facultades de vigilancia y control establecidas en los Decretos 3466 de 1982, 2153 de 1992 y 2269 de 1993, es la Entidad competente para inspeccionar la información del etiquetado suministrada por los fabricantes y/o importadores, verificando que esta sea veraz y completa, conforme a los requisitos establecidos en el reglamento técnico que se expide a través de la presente resolución, así como para supervisar y hacer cumplir los demás requisitos aquí contenidos.

Sin perjuicio de las competencias de la Superintendencia de Industria y Comercio, SIC, corresponde a las Entidades Territoriales de Salud, ejercer las funciones de inspección, vigilancia y control, durante la fabricación, almacenamiento y comercialización de los juguetes en el territorio nacional, conforme a lo dispuesto en la Ley 715 de 2001 y demás disposiciones que la reglamenten, modifiquen, adicionen o sustituyan, en desarrollo de lo cual podrán verificar la documentación que soporte el cumplimento de los requisitos técnicos, aplicar las medidas sanitarias de seguridad, adelantar los procedimientos e imponer las sanciones correspondientes previstas en la Ley 9ª de 1979.

Parágrafo. El comercializador o distribuidor de los juguetes, al momento de adquirir la mercancía para su comercialización o distribución, deberá solicitar al fabricante o importador el certificado que compruebe la conformidad del juguete, expedido por la entidad competente.

Artículo 12. Certificados para demostrar la conformidad. Para los productos sometidos al presente reglamento técnico, en consideración a los riesgos que se pretenden prevenir, mitigar o evitar, los fabricantes e importadores, deberán estar en capacidad de demostrar la veracidad de la información suministrada y el cumplimiento de los requisitos aquí exigidos, a través del Certificado de Conformidad expedido por un organismo de certificación acreditado por la SIC, en observancia de lo establecido en los artículos 7° y 8° del Decreto 2269 de 1993 y lo reglamentado sobre el particular en la Circular Unica de la Superintendencia de Industria y Comercio.

El organismo de certificación acreditado por la Superintendencia de Industria y Comercio, SIC, con base en este reglamento técnico, deberá soportar dicho certificado en resultados de ensayos realizados en laboratorios acreditados por la SIC, salvo que para un requisito en particular, no exista por lo menos un (1) laboratorio acreditado, caso en el cual, el organismo certificador podrá soportarse en ensayos realizados en laboratorios evaluados por dicho organismo certificador, de acuerdo con las instrucciones que sobre el particular haya emitido la Superintendencia de Industria y Comercio.

Parágrafo 1°. Para dar cumplimiento a lo aquí dispuesto y para verificar la conformidad con los requisitos establecidos en el artículo 5° del presente reglamento técnico, los laboratorios acreditados por la –SIC, deberán realizar los ensayos que se estipulen en las Normas NTC EN 71-2; NTC 4894 Parte 1; NTC EN- 71- 3, mencionados en los Anexos 1, 2 y 3 del presente reglamento técnico, o también realizar otros ensayos basados en Normas Técnicas, para las cuales se haya expedido el respectivo Concepto de Equivalencia, según los procedimientos señalados sobre el particular, por la Superintendencia de Industria y Comercio.

Parágrafo 2°. Si no existe en Colombia al menos un organismo de certificación acreditado por la SIC, cuyo alcance contemple el presente reglamento técnico, serán válidos los certificados de conformidad expedidos por organismos internacionalmente reconocidos como certificadores de producto, acreditados bajo normas voluntarias con alcance específico para juguetes.

Artículo 13. Revisión y actualización. El presente reglamento técnico se revisará y actualizará de acuerdo con los avances científicos y tecnológicos nacionales e internacionales, en un término no mayor de cinco años.

Artículo 14. Notificación. El reglamento técnico que se establece con la presente resolución, será notificado a través del Ministerio de Comercio, Industria y Turismo en el ámbito de los convenios comerciales en que sea parte Colombia

Artículo 16. Vigencia. El reglamento técnico que se establece a través de la presente resolución, rige a partir de la fecha de su publicación, y deroga las disposiciones que le sean contrarias.

Publíquese notifíquese y cúmplase.

Dada en Bogotá, D. C., a 8 de septiembre de 2008.

El Ministro de la Protección Social,

Diego Palacio Betancourt.

NOTA: Publicada en el Diario Oficial 47.108 de septiembre 10 de 2008.

Los anexos pueden ser consultados en el Diario Oficial referido.

ANEXO 1

NORMA TECNICA NTC EN 71-2 SEGURIDAD DE LOS JUGUETES

INFLAMABILIDAD

1. OBJETO

Esta norma especifica las categorías de los materiales inflamables prohibidos en la fabricación de todos los juguetes, y los requisitos relativos a la inflamabilidad de ciertos juguetes, cuando se les someta a una pequeña fuente de inflamación.

Los métodos de ensayos descritos en el Capítulo 6 se utilizan para determinar la in­flamabilidad de los juguetes en las condiciones particulares de ensayo especificadas. Los resultados de los ensayos así obtenidos no deben considerarse como una información general sobre el riesgo potencial al fuego de los juguetes o de los materiales, cuando se les someta a otras fuentes de inflamación.

2. CAMPO DE APLICACION

Esta norma trata de los requisitos generales relativos a todos los juguetes, y de los re­quisitos especiales y métodos de ensayo relativos a los siguientes juguetes, que se considera presentan los riesgos mayores:

- Barbas, bigotes, pelucas y máscaras.

- Trajes de disfraces (ejemplos: trajes de vaqueros, uniformes de enfermeras).

- Juguetes concebidos para que un niño pueda penetrar en ellos (ejemplos: tiendas de juguete, teatros de marionetas, tiendas de indios).

- Juguetes flexibles rellenos con superficie pilosa o superficie textil.

3. REFERENCIAS

NTC-EN 71-1 Seguridad de los juguetes. Parte 1. Propiedades mecánicas y físicas.

4. DEFINICION

Para el propósito de esta norma, se aplica la siguiente definición:

Inflamabilidad: capacidad de un material o de un producto para arder produciendo llama, en las condiciones de ensayo especificadas.

5. REQUISITOS

5.1. GENERALIDADES

Los siguientes materiales no deberán ser utilizados en la fabricación de juguetes:

- El celuloide (nitrato de celulosa) y los materiales que presenten un comportamiento similar al fuego (con la excepción de su utilización en barnices o pinturas).

- Los materiales de superficie pilosa que presenten un efecto relámpago ante la proxi­midad de una llama.

Nota. El efecto relámpago es una propagación de una llama sobre la superficie del artículo.

Además, los juguetes no deberán contener gases, líquidos y sólidos inflamables, con la excepción de:

- Los líquidos inflamables presentados en envases individuales cerrados, cuyo volumen máximo de cada envase sea de 15 ml.

- Las partes fácilmente inflamables destinadas a ser inflamadas, a entrar en combustión, o bien a emitir humo, salvo si son estrictamente indispensables para la función del juguete; en este caso, el juguete ha de fabricarse de manera que no se inflame más que en el lugar previsto, y no en otras partes.

5.2. BARBAS, BIGOTES, PELUCAS Y MASCARAS

5.2.1. Las barbas, bigotes, pelucas y máscaras a las que se fijen elementos pilosos de longitud libre aparente superior a 50 mm, después del ensayo descrito en el numeral 6.1, deberán tener una persistencia de llama inferior o igual a 2 s.

Además, si hay inflamación, la mayor longitud de pelo o de superficie pilosa restante deberá ser:

- Igual o superior al 50% de la mayor longitud inicial, si esta última es igual o superior a 150 mm.

- Igual o superior al 25% de la mayor longitud inicial, si esta última es inferior a 150 mm.

Para los pelos rizados, se considerará la longitud como la del pelo estirado. El artículo se some­terá a ensayo tal cual y en las condiciones menos favorables, por ejemplo trenzas deshechas.

5.2.2. Las máscaras y máscaras parciales que incluyan o no pelo o elementos pilosos, cuando se les someta al ensayo descrito en el numeral 6.2, deberán tener una persistencia de llama (véase el numeral 5.2.1) igual o menor a 2 s, y una altura vertical máxima de la superficie quemada, medida a partir del punto de aplicación de la llama, inferior o igual a 70 mm como máximo.

5.3. TRAJES DE DISFRACES

Las muestras representativas de los trajes de disfraces, tras el ensayo descrito en el numeral 6.3, deberán tener una velocidad de propagación de la llama inferior o igual a 30 mm/s (es decir, que el tiempo empleado por la llama para recorrer 500 mm de la extensión de la probeta, no debe ser inferior a 17 s). Además, durante el ensayo no deberán caer fragmentos inflamados de la probeta.

Si la velocidad de propagación de la llama se sitúa entre 10 mm/s y 30 mm/s, los juguetes deberán llevar la advertencia siguiente:

"¡Atención! Mantener lejos del fuego".

5.4. JUGUETES CONCEBIDOS PARA QUE UN NIÑO PUEDA INTRODUCIRSE EN ELLOS

Las muestras representativas de los juguetes concebidos para que un niño pueda entrar en ellos, tras el ensayo descrito en el numeral 6.3, deberán tener una velocidad de propagación de la llama inferior o igual a 30 mm/s (es decir que el tiempo empleado por la llama para recorrer 500 mm de la extensión de la probeta no debe ser inferior a 17 s). Además, durante el ensayo no deberán caer fragmentos inflamados de la probeta.

Si la velocidad de propagación de la llama se sitúa entre 10 mm/s y 30 mm/s, los juguetes deberán llevar la advertencia siguiente:

"¡Atención! Mantener lejos del fuego".

5.5. JUGUETES FLEXIBLES RELLENOS O NO, CON SUPERFICIE PILOSA O TEXTIL

Los juguetes flexibles rellenos, (ejemplos: animales, muñecas, etc.) con superficie pilosa (ejemplo: terciopelo, peluche, imitación de piel) o con superficies textiles no deben tener una velocidad de propagación de la llama, en la superficie, superior a 30 mm/s durante la realización del ensayo descrito en el numeral 6.4.

Los requisitos de este párrafo no se aplican a los juguetes de dimensiones máximas inferiores o iguales a 150 mm.

6. MÉTODOS DE ENSAYOS

Las siguientes disposiciones se aplican a los métodos de ensayo descritos del numeral 6.1 al numeral 6.4.

Cada ensayo se realizará sobre tres juguetes o probetas representativas, salvo en el caso en que los ensayos puedan ser efectuados sobre un único juguete, si tiene el tamaño suficiente y si las partes destruidas son suficientemente pequeñas.

Si solamente dos juguetes o probetas responden a los requisitos, se repetirá el ensayo sobre tres nuevos juguetes o probetas; si estos tres últimos responden a los requisitos fijados, los juguetes se consideran conformes con los requisitos de esta parte de la norma.

Cada ensayo se realizará sobre juguetes nuevos tal como se comercializan o sobre probetas obtenidas a partir de los juguetes nuevos. Si el fabricante:

- Indica que el juguete no ha sido concebido para ser lavado, no se realizará ningún lavado o remojo antes del ensayo.

- Recomienda un modo de lavado o de limpieza, el juguete será tratado de acuerdo con estas indicaciones.

- No da ninguna indicación relativa al lavado o limpieza, el juguete será tratado antes del ensayo, de acuerdo con las instrucciones dadas en el numeral 6.5.

Los juguetes utilizados para los ensayos deben ser representativos de un mismo lote de juguetes. Las probetas se deben obtener de manera que sean representativas de la totalidad del juguete.

Antes de cada ensayo, los juguetes o las probetas se deben acondicionar al menos durante 7 h a una temperatura de 20°C a 25°C, y a una humedad relativa del 50 al 65%.

Los ensayos deben efectuarse, si es posible, en un recinto de ensayo que permita su buena realización y la seguridad del personal 1).

La llama de ensayo se obtendrá con un quemador, (véase la Figura 1), utilizando gas butano o propano. La altura de la llama se medirá con el quemador en posición vertical.

6.1. ENSAYO RELATIVO A LAS BARBAS, BIGOTES, PELUCAS Y MASCARAS QUE INCLUYEN ELEMENTOS PILOSOS DE LONGITUD LIBRE SUPERIOR A 50 mm

Se mide la longitud de los elementos pilosos. Se coloca el juguete de tal modo que la mayor dimensión del elemento piloso quede vertical o en una posición tan próxima a la vertical como sea posible.

1) Por ejemplo un recinto de ensayo en el cual el movimiento de aire sea inferior a 0,2 m/s, al principio del ensayo, y que no esté además influido por la puesta en funciona­miento de los aparatos mecánicos durante el ensayo. Es esencial que el volumen de aire en el recinto de ensayo sea tal que el ensayo no se vea afectado por ninguna reducción de la concentración de oxígeno. Cuando se utilice un recinto abierto para el ensayo, hay que asegurarse de que la muestra de ensayo está, al menos, a 300 mm de las paredes del recinto.

Con el quemador en posición vertical, se aplica una llama de altura 20±2 mm durante 2 s sobre el borde inferior de la parte pilosa del juguete, de manera que la llama penetre en el artículo alrededor de 10 mm.

Después de retirar la llama, se examina si ha habido inflamación y en este caso se mide el tiempo de persistencia de la llama y la menor longitud no destruida de los elementos pilosos.

6.2. ENSAYO RELATIVO A LAS BARBAS, BIGOTES, PELUCAS, MASCARAS QUE INCLUYAN O NO ELEMENTOS PILOSOS DE LONGITUD LIBRE INFE­RIOR A 50 mm

Se coloca el juguete en posición vertical.

Se coloca el quemador en posición vertical para obtener una altura de llama de 20 mm ± 2 mm. Se coloca el quemador a 45° y se aplica la llama contra el juguete durante 5 s de tal manera que se realice el contacto al menos 20 mm por encima del borde inferior del juguete, y que la distancia entre la extremidad del quemador y la superficie del juguete sea alrededor de 5 mm. Después de retirar la llama, se examina si hay inflamación, y en este caso se mide el tiempo de persistencia de la llama y la distancia vertical máxima entre el borde superior de la superficie quemada y el punto de aplicación de la llama.

6.3. ENSAYO RELATIVO A LOS TRAJES DE DISFRACES Y A LOS JUGUETES CONCEBIDOS PARA QUE UN NIÑO PUEDA ENTRAR EN ELLOS

Se obtienen del juguete tres probetas de aproximadamente 600 mm x 80 mm y se colocan sobre cada probeta dos hilos de algodón de referencia, distantes entre sí 500 mm, de tal manera que el primer hilo de referencia esté, al menos, a 50 mm de la parte inferior de la probeta.

Se coloca la probeta en un marco en U, a 45° en relación con la horizontal.

Con el quemador en posición vertical, se aplica una llama de 40 mm ± 2 mm de altura sobre la probeta durante 2 s, de tal manera que la distancia entre la parte inferior de la probeta y el borde superior del quemador sea de 30 mm.

Se mide el tiempo de propagación de la llama entre las dos referencias. Si la llama no alcanza la segunda referencia, el ensayo habrá sido superado.

6.4. ENSAYO RELATIVO A LOS JUGUETES FLEXIBLES RELLENOS O NO, CON SUPERFICIE PILOSA O SUPERFICIE TEXTIL

Se coloca el juguete en vertical, es decir con la cabeza en la parte superior.

Nota. Si es posible más de una orientación, se optará por la posición más favorable. Con un quemador a 45°, se aplica una llama de 20 mm ± 2 mm de altura contra el juguete durante 3 s, de tal manera que la distancia entre la extremidad del tubo del quemador y el juguete sea de alrededor de 5 mm, y que se realice el contacto de la llama al menos a 20 mm, por encima del borde inferior del juguete.

Después de retirar la llama, se mide el tiempo empleado por la llama para recorrer, en la superficie del juguete, la distancia comprendida entre el punto de aplicación de la llama y la extremidad superior del juguete.

6.5. TRATAMIENTO PREVIO DE LOS JUGUETES SUSCEPTIBLES DE SER LAVADOS

Se sumerge el juguete en el agua (a 20°C aproximadamente), en una relación de al me­nos 1:20, y se deja en remojo durante 10 min. Se escurre y se repite dos veces el proceso. Se enjuaga por inmersión durante 2 min en agua desmineralizada. Se escurre y se seca con ayuda de un método apropiado al juguete y, cuando sea conveniente, se coloca el pelo en las condiciones más parecidas a su presentación original.

7. APENDICE DOCUMENTO DE REFERENCIA COMITE EUROPEO DE NORMALIZACION. Seguridad de los Juguetes. Parte 2. Inflamabilidad. (EN 71/2).

Figura 1. Quemador

ANEXO 2

NORMA TECNICA NTC- EN-71-3

SEGURIDAD DE LOS JUGUETES. MIGRACION DE CIERTOS ELEMENTOS

0. INTRODUCCION

Esta norma sobre seguridad de juguetes consta de las partes siguientes:

Parte 1: Propiedades físicas y mecánicas.

Parte 2: Inflamabilidad.

000Parte 3: Migración de ciertos elementos.

Parte 4: Juegos de experimentos químicos y actividades relacionadas.

Parte 5: Juguetes químicos distintos de los juegos de experimentos.

Parte 6: Símbolo gráfico para el etiquetado de advertencia sobre la edad.

Esta norma es la Parte 3 de la norma sobre seguridad de los juguetes norma NTC-EN 71.

Los requisitos de esta norma se basan en la biodisponibilidad resultante de la utilización de los juguetes, siendo el objetivo recomendado no superar los niveles diarios mencionados a continuación:

- 0,2 µg para el antimonio.

- 0,1 µg para el arsénico.

- 25,0 µg para el bario.

- 0,6 µg para el cadmio.

- 0,3 µg para el cromo.

- 0,7 µg para el plomo.

- 0,5 µg para el mercurio.

- 5,0 µg para el selenio.

Para la interpretación de estos valores ha sido necesario determinar un límite superior para la ingestión de material del juguete. Para fijar este límite superior se ha dispuesto de muy pocos datos. Se eligió como hipótesis de trabajo una ingestión media de 8 mg por día de material del juguete, teniendo en cuenta que en algunos casos particulares este valor podría ser más elevado.

Combinando la ingestión diaria de 8 mg con los valores de biodisponibilidad anteriormente indicados, se obtuvieron los límites para los diferentes elementos tóxicos en microgramos por gramo (miligramo por kilogramo) que se detallan en la Tabla 1. Los valores obtenidos se determinaron para minimizar la exposición de los niños a los elementos tóxicos y para garantizar la viabilidad analítica, teniendo en cuenta los límites alcanzables en condiciones normales de fabricación (véase el numeral D.1).

1. OBJETO Y CAMPO DE APLICACION

Esta parte de la norma específica los requisitos y los métodos de ensayo para la migración a partir de los materiales de los juguetes y de las partes de los juguetes, con excepción de los materiales no accesibles (véase la Parte 1 de esta norma) de los elementos siguientes: antimonio, arsénico, bario, cadmio, cromo, plomo, mercurio y selenio.

No se incluyen los materiales de embalaje, salvo que formen parte del juguete o estén dotados de un valor lúdico (véase el Anexo D).

Cuando sea necesario, se someterá al juguete a los ensayos apropiados, especificados en la Parte 1 de esta norma antes de considerar la accesibilidad de las partes.

Los requisitos son relativos a la migración a partir de los materiales de los juguetes siguientes:

- Recubrimientos de pinturas, barnices, lacas, tintas de impresión, polímeros y recubri­mientos similares (véase el numeral 8.1).

- Polímeros y sustancias similares, incluidos los laminados, se trate de textiles reforzados o no, con exclusión de otros textiles (véase el numeral 8.2).

- Papel y cartón (véase el numeral 8.3).

- Textiles, naturales o sintéticos (véase el numeral 8.4).

- Cristal, cerámica, materiales metálicos (véase el numeral 8.5).

- Otros materiales, coloreados en la masa o no (por ejemplo, madera, cartón duro, tablero duro, hueso y cuero) (véase el numeral 8.6).

- Materiales destinados a dejar una marca (por ejemplo, mina de grafito de los lápices y tinta líquida de los bolígrafos) (véase el numeral 8.7).

- Materiales para modelar, incluidas las pastas de modelado y geles (véase el numeral 8.8).

- Pinturas, incluidas las pinturas para dedos, barnices, lacas, polvos de esmaltar y sustancias similares, en forma sólida o líquida, presentes como tales en el juguete (véase el numeral 8.9).

Los juguetes y las partes de juguetes que, por el hecho de su accesibilidad, función, peso, tamaño u otras características excluyan manifiestamente cualquier riesgo debido a la succión, el lamido o la ingestión, habida cuenta del comportamiento habitual y previsible de los niños, no están cubiertos por esta parte de la NTC-EN 71.

Nota. Para los fines de esta norma, los criterios siguientes son los apropiados para clasificar la succión, lamido o ingestión:

- Todos los juguetes destinados a entrar en contacto con la comida o la vía oral, inclu­yéndose en categoría de los juguetes los cosméticos de juguete y los instrumentos para escribir.

- Los juguetes destinados a los niños menores de seis años, es decir, todos los compo­nentes y partes accesibles para los que exista una probabilidad de que dichos componentes o partes entren en contacto con la boca (véase el Anexo D).

2. NORMAS PARA CONSULTA

Esta norma incorpora disposiciones de otras publicaciones por su referencia, con o sin fecha. Estas referencias normativas se citan en los lugares apropiados del texto de la norma y se relacionan a continuación. Las revisiones o modificaciones de cualquiera de las publicaciones referenciadas con fecha sólo se aplican a esta norma cuando se incorporan mediante revisión o modificación. Para las referencias sin fecha, se aplica la última edición de esa publicación.

NTC EN 71-1, Juguetes. Seguridad de los juguetes. Propiedades mecánicas y físicas.

ISO 3696, Agua para laboratorio para usos analíticos. Especificación y métodos de ensayo.

3. DEFINICIONES

Para los fines de esta norma, se aplican las definiciones siguientes:

3.1. Material base: material sobre el cual se pueden formar o depositar los recubri­mientos.

3.2. Recubrimiento: todas las capas de material formadas o depositadas sobre el material base o el juguete, incluidas las pinturas, barnices, lacas, tintas, polímeros o cualquier otra sustancia similar, contengan o no partículas metálicas, independientemente de la forma en que se hayan aplicado sobre el juguete y que se puedan retirar raspándolas con una cuchilla.

3.3. Límite de detección de un método: tres veces la desviación estándar del valor del blanco.

3.4. Otros materiales, coloreados en la masa o no: materiales como madera, cuero y otras sustancias porosas que se puedan impregnar de elementos colorantes sin que estos últimos formen un recubrimiento.

3.5. Papel y cartón: se ha establecido una masa por unidad de superficie máxima de 400 g/m2 para clasificar los materiales en esta categoría. Por encima de este límite, los materiales se clasifican en la categoría "otros materiales" y puede tratarse de cartón duro o de tableros duros.

3.6. Raspado: retirada mecánica del recubrimiento del material base.

3.7. Material del juguete: todos los materiales accesibles presentes en el juguete

4. REQUISITOS

4.1. REQUISITOS ESPECIFICOS

La migración de elementos de los juguetes y partes de juguetes especificada en el nu­meral 1 no debe superar los límites que figuran en la Tabla 1 tras los ensayos efectuados conforme a los numerales 7, 8 y 9. Este requisito no se aplica a las soldaduras con plomo realizadas para los conectores eléctricos (véase el Anexo D).

Tabla 1

Límites de migración de elementos a partir de materiales del juguete

Elemento

Sb

As

Ba

Cd

Cr

Pb

Hg

Se

Migración máxima de elemento en mg/kg a partir del material del juguete

Cualquier material del jugue­te previsto en el numeral 1 excepto:

- Pastas de moldear

- Pintura para dedos

60

25

1.000

75

60

90

60

500

 

Pasta de modelar y pintura para dedos

60

25

250

50

25

90

25

500

Tabla 2

Coeficiente de corrección analítica

Elemento

Sb

As

Ba

Cd

Cr

Pb

Hg

Se

Coeficiente de corrección analítica (en %)

60

60

30

30

30

30

50

60

4.2. INTERPRETACION DE LOS RESULTADOS

Los resultados analíticos obtenidos para los materiales citados en los numerales 7, 8 y 9 deben corregirse restando el coeficiente de corrección analítica indicado en la Tabla 2, con el fin de obtener unos resultados analíticos corregidos.

Los materiales se considerarán satisfactorios con respecto a los requisitos de esta norma si los resultados analíticos corregidos son inferiores o iguales a los límites indicados en la Tabla 1 (véase el Anexo D).

Nota. Dada la exactitud de los métodos especificados en esta norma, es necesario uti­lizar los resultados analíticos corregidos para tener en cuenta los resultados de los ensayos interlaboratorios (véase el Anexo D).

EJEMPLO.

Resultados analíticos para el plomo 120 mg/kg.

Corrección analítica correspondiente en la Tabla 2: 30%.

Resultados analíticos corregidos = 84 mg/kg.

Se consideran dentro de los requisitos de la norma (plomo: 90 mg/kg).

5. FUNDAMENTO

Los elementos solubles se extraen de los materiales de los juguetes en condiciones que simulen el material cuando está en contacto con el ácido gástrico durante un cierto tiempo después de la ingestión. Las concentraciones de elementos solubles se determinan cuantitativamente.

6. REACTIVOS Y APARATOS

Nota. No se realiza recomendación alguna para los reactivos, materiales y aparatos necesarios para realizar los ensayos especificados en el numeral 9.

6.1. REACTIVOS

Durante los análisis, utilizar únicamente reactivos de calidad analítica reconocida (véase el Anexo D).

6.1.1. Solución de ácido clorhídrico c(HCI) de (0,07 ± 0,005) mol/l.

6.1.2. Solución de ácido clorhídrico c(HCI) de (0,14 ± 0,010) mol/l.

6.1.3. Solución de ácido clorhídrico c(HCI) de aproximadamente 1 mol/l.

6.1.4. Solución de ácido clorhídrico c(HCI) de aproximadamente 2 mol/l.

6.1.5. Solución de ácido clorhídrico c(HCI) de aproximadamente 6 mol/l.

6.1.6. 1,1,1 - tricloroetano con un máximo de 10 mg/kg de ácido clorhídrico cuando se realiza el ensayo de acuerdo con el Anexo A, o cualquier otro disolvente adecuado (véase el Anexo D).

6.1.7. Agua de grado 3 de pureza como mínimo, de acuerdo con la norma ISO 3696.

6.2. APARATOS

Material básico de laboratorio y

6.2.1. Tamices metálicos de acero inoxidable de un tejido simple de 0,5 mm de abertura no­minal de malla y tolerancias de acuerdo con las indicaciones de la Tabla B.1 del Anexo B.

6.2.2. Un medio para medir el pH con una precisión de ± 0,2 unidades de pH. Deben evitarse las contaminaciones (véase el Anexo D).

6.2.3. Un filtro de porosidad 0,45 µm.

6.2.4. Una centrífuga que pueda operar a 5.000g ± 500g1) (véase el Anexo D).

6.2.5. Un medio para agitar la mezcla a una temperatura de 37°C ± 2°C.

6.2.6. Un conjunto de recipientes de un volumen aproximado de 1,6 veces a 5,0 veces el del ácido clorhídrico de extracción.

7. ELECCIÓN DE LAS MUESTRAS DE ENSAYO

Una muestra de laboratorio para ensayo consiste en un juguete, tal y como se comer­cializa o bien tal y como está destinado a comercializarse. Las muestras de ensayo deben tomarse en las partes accesibles (véase la norma NTC EN 71-1) de un solo juguete muestra, es decir, que está admitido combinar los materiales idénticos de un juguete y considerarlos como una sola y misma muestra de ensayo, pero no utilizar otros juguetes de muestra. No está permitido componer muestras de ensayo con más de un material o color, salvo que la separación física o una masa demasiado limitada impida la formación de muestras discretas (por ejemplo: impresión por puntos, tejidos impresos) (véase el Anexo D).

Nota. Este requisito no impide que las muestras de ensayo se puedan tomar en materiales de modo que sean representativas del material en cuestión especificado y del sustrato sobre el que están depositadas (véase el Anexo D).

No se realizará el ensayo con muestras de ensayo en las que haya menos de 10 mg de material disponible.

8. PREPARACIÓN Y ANÁLISIS DE LAS MUESTRAS DE ENSAYO

8.1. RECUBRIMIENTOS DE PINTURAS, BARNICES, LACAS, TINTAS DE IMPRESION, POLIMEROS Y RECUBRIMIENTOS SIMILARES

8.1.1. Toma y preparación de la muestra

Se separa el revestimiento de la muestra de laboratorio mediante una acción mecánica a la temperatura ambiente y se pulveriza a continuación a una temperatura que no exceda la temperatura ambiente. La muestra de ensayo así obtenida debe ser de al menos 100 mg y debe pasar a través de un tamiz metálico de 0,5 mm de abertura de malla (véase el numeral 6.2.1).

Cuando sólo estén disponibles entre 10 mg a 100 mg de masa de revestimiento uniforme pulverizada, esta deberá ensayarse conforme al numeral 8.1.2 y la cantidad de elementos correspondientes se calculará como si se hubieran utilizado 100 mg de muestra de ensayo, debiendo indicarse la masa de la muestra de ensayo en el numeral 10 e).

En caso de recubrimientos que, por su naturaleza, no se puedan pulverizar (por ejemplo, pinturas elásticas/ plásticas), se toma una muestra de ensayo de la muestra de laboratorio, sin pulverizar.

8.1.2. Método de ensayo

En un recipiente de tamaño adecuado (véase el numeral 6.2.6) se mezcla la muestra de ensayo así preparada con 50 veces su masa de una solución acuosa de ácido clorhídrico c(HCI) de 0,07 mol/l (véase el numeral 6.1.1) a 37°C ± 2°C. Si la masa de la muestra de ensayo estuviera comprendida entre los 10 mg y los 100 mg, debería mezclarse la muestra de ensayo con 5,0 ml de dicha solución a 37°C ± 2°C.

Se agita durante 1 min y se verifica la acidez de la mezcla. Si el pH fuera superior a 1,5 se añadiría, gota a gota, sin dejar de agitar la mezcla, una solución acuosa de ácido clorhí­drico c(HCI) de unos 2 mol/l (véase el numeral 6.1.4) hasta que el pH esté comprendido entre 1,0 y 1,5. Se protege la mezcla de la luz. Se agita (véase el numeral 6.2.5) la mezcla a 37°C ± 2°C continuamente durante 1 h, dejándola reposar a continuación durante 1 h a 37°C ± 2°C.

Se separan a continuación las partes sólidas de la mezcla, primero mediante filtrado con un filtro (véase el numeral 6.2.3) y, si es necesario, mediante centrifugado a 5.000g2) máximo (véase el numeral 6.2.4). La separación se debe efectuar lo antes posible tras el período de re­poso. El centrifugado no debe superar los 10 min y debe mencionarse en el numeral 10 e).

Si las soluciones resultantes deben conservarse durante más de una jornada de trabajo antes de ser analizadas, deben estabilizarse añadiendo ácido clorhídrico hasta que la concen­tración de la solución que se vaya a conservar sea aproximadamente de c(HCI) = 1 mol/l.

1) g - 9,806 65 m/s2.

2) g - 9,806 65 m/s2.

8.2. POLIMEROS Y MATERIALES SIMILARES, INCLUIDOS LOS LAMINA­DOS, TANTO SI SE TRATA DE TEXTILES REFORZADOS COMO SI NO, PERO CON EXCLUSION DEL RESTO DE LOS TEXTILES

8.2.1. Toma y preparación de la muestra

Obtener una muestra de ensayo de, al menos, 100 mg del polímero o del material similar, evitando el calentamiento de los materiales, con arreglo a las indicaciones siguientes:

Se cortan las probetas a partir de las superficies con menor sección transversal, para obtener una muestra de ensayo con la mayor superficie posible para una masa dada. En reposo, la probeta no debe tener ninguna dimensión superior a 6 mm.

Si la muestra de laboratorio no es uniforme en su material, deberá obtenerse una muestra de ensayo a partir de cada material diferente cuya masa sea superior a 10 mg. Si hay entre 10 mg y 100 mg de material uniforme pulverizado, la masa de la muestra de ensayo debe mencionarse en 10 e) y la cantidad de elementos correspondientes debe calcularse como si se hubieran utilizado 100 mg de muestra de ensayo.

8.2.2. Método de ensayo

Se sigue el método de acuerdo con el numeral 8.1.2.

8.3. PAPEL Y CARTON

8.3.1. Toma y preparación de la muestra

Se obtiene una muestra de ensayo de, al menos, 100 mg de papel o de cartón.

Si la muestra de laboratorio no fuera uniforme en su material, debe obtenerse una muestra de ensayo a partir de cada material diferente cuya masa sea de, al menos, 100 mg. Cuando la masa del material uniforme esté comprendida entre 10 mg y 100 mg, debe mencionarse la masa de la muestra de ensayo en el numeral 10 e) y se calculará la cantidad de elementos adecuados como si se hubieran utilizado 100 mg de muestra de ensayo.

Si el papel o el cartón que se vayan a ensayar estuvieran recubiertos de pintura, bar­niz, laca, tinta de imprenta, adhesivo o recubrimiento similar, las muestras de ensayo no deben tomarse por separado. En este caso, deben tomarse del material de acuerdo con este numeral, de modo que incluyan también partes representativas de la superficie recubierta. Las muestras de ensayo así obtenidas deben ensayarse de acuerdo con los métodos apro­piados que se especifican en este numeral, lo que deberá hacerse constar en el numeral 10 e) (véase el Anexo D).

8.3.2. Método de ensayo

Se macerará la muestra de ensayo así preparada en 25 veces su masa de agua (véase el numeral 6.1.7) a 37°C ± 2°C, de modo que la mezcla resultante sea homogénea. Se traslada cuantitativamente la mezcla a un recipiente de tamaño adecuado (véase el numeral 6.2.6). Se añade a la mezcla 25 veces la masa de la muestra de ensayo de una solución acuosa de ácido clorhídrico c(HCI) de 0, 14 mol/l (véase el numeral 6.1.2) a 37°C ± 2°C.

Se agita durante 1 min y se verifica la acidez de la mezcla. Si el pH es superior a 1,5 se añade, gota a gota, agitando la mezcla, una solución acuosa de ácido clorhídrico c(HCI) de 2 mol/l (véase el numeral 6.1.4) hasta que el pH esté comprendido entre 1,0 y 1,5. Se protege la mezcla de la luz. Se agita (véase el numeral 6.2.5) la mezcla a 37°C ± 2°C continuamente durante 1 h, dejándola reposar a continuación durante 1 h a 37°C ± 2°C.

Se separan después las partes sólidas de la mezcla, en primer lugar mediante filtrado con un filtro (véase el numeral 6.2.3) y, si es necesario, mediante centrifugado a 5.000 g3)
como máximo (véase el numeral 6.2.4). La separación se debe efectuar lo antes posible tras el período de reposo y el centrifugado no debe superar los 10 min y debe mencionarse en el numeral 10 e).

Si las soluciones resultantes deben conservarse durante más de una jornada de trabajo antes de ser analizadas, deberán estabilizarse añadiendo ácido clorhídrico hasta que la concentración de la solución que se vaya a conservar sea de aproximadamente c(HCI) = 1 mol/l.

8.4. TEXTILES, NATURALES O SINTETICOS

8.4.1. Toma y preparación de la muestra

Se obtiene una muestra de ensayo de, al menos, 100 mg de los materiales textiles cortando trozos que en reposo no deben tener dimensiones superiores a 6 mm (véase el Anexo D).

Si la muestra no es uniforme en su material o en su color, deberá obtenerse una muestra de ensayo a partir de cada material diferente cuya masa sea superior a 100 mg. Una muestra con una masa comprendida entre 10 mg y 100 mg deberá formar parte de la muestra de ensayo obtenida a partir del material principal.

Las muestras tomadas de textiles impresos deberán ser representativas del material de conjunto (véase el Anexo D).

8.4.2. Método de ensayo

Se sigue el método que se describe en el numeral 8.1.2.

8.5. CRISTAL, CERAMICA, MATERIALES METALICOS

8.5.1. Toma y preparación de la muestra

Los juguetes y sus componentes deben someterse en primer lugar a los ensayos apro­piados con arreglo a la norma NTC EN 71-1. Si el juguete o uno de sus componentes entra totalmente en el cilindro para partes pequeñas y contiene cristal, cerámica o materiales metálicos accesibles, deberá someterse a ensayo de acuerdo con el numeral 8.5.2 tras retirar cualquier recubrimiento de acuerdo con el numeral 8.1.1 (véase el Anexo D).

Nota. Los juguetes y sus componentes que no tengan cristal, cerámica o materiales metálicos accesibles no se someterán a ensayo de acuerdo con el numeral 8.5.2 (véase el Anexo D).

8.5.2. Método de ensayo

Se coloca el juguete o el componente en un recipiente de cristal de 50 ml y de dimen­siones nominales: 60 mm de alto, 40 mm de diámetro. Se añade un volumen suficiente de

3) g - 9,806 65 m/s2.

solución acuosa de ácido clorhídrico c(HCI) de 0,07 mol/l (véase el numeral 6.1.1) a 37°C ± 2°C para cubrir el juguete o el componente. Se tapa el recipiente, se protege su contenido de la luz y se deja reposar 2 h a 37°C ± 2°C.

Nota. Este tipo de recipiente puede contener todos los juguetes o componentes que entren en el cilindro para partes pequeñas.

Se separan a continuación las partes sólidas de la mezcla, primero por decantación, a continuación por filtrado con un filtro (véase el numeral 6.2.3) y, si es necesario, por centrifugado a 5.000 g4) como máximo (véase el numeral 6.2.4). La separación se debe efectuar lo antes posible tras el período de reposo y el centrifugado no debe superar los 10 min y debe mencionarse en el numeral 10 e).

Si las soluciones resultantes deben conservarse durante más de 24 h antes de ser ana­lizadas deben estabilizarse añadiendo ácido clorhídrico hasta que la concentración de la solución que se vaya a conservar sea de aproximadamente c(HCl) 1 mol/l.

8.6. OTROS MATERIALES, COLOREADOS EN LA MASA O NO (véase el Anexo D)

8.6.1. Toma y preparación de la muestra

Se obtiene una muestra de ensayo de al menos 100 mg del material, con arreglo a los numerales 8.2.1, 8.3.1, 8.4.1 u 8.5.1, siendo apropiado cualquiera de ellos.

Si la muestra de laboratorio no es uniforme en su material, deberá obtenerse una muestra de ensayo a partir de cada material diferente cuya masa sea superior a 10 mg. Cuando la masa de material uniforme esté comprendida entre 10 mg y 100 mg, la masa de la muestra de ensayo deberá mencionarse en el numeral 10 e) y la cantidad de elementos apropiados deberá calcularse como si se hubieran utilizado 100 mg de muestra de ensayo.

Si el material que se vaya a someter al ensayo está recubierto con una capa de pintura, barniz, laca, tinta de imprenta o revestimiento similar, se sigue el método del numeral 8.1.1.

8.6.2. Métodos de ensayo

Los materiales deben someterse al ensayo de acuerdo con el más apropiado de los mé­todos de los numerales 8.2.2, 8.3.2, 8.4.2 u 8.5.2 (véase el Anexo D). El método utilizado debe mencionarse en el numeral 10 e).

8.7. MATERIALES DESTINADOS A DEJAR UNA TRAZA

8.7.1. Toma y preparación de la muestra para los materiales en forma sólida

Se obtiene una muestra de ensayo de, al menos, 100 mg de material, cortando fragmentos que en reposo no deben tener dimensiones superiores a 6 mm.

Debe obtenerse una muestra de ensayo a partir de cada uno de los diferentes materiales destinados a dejar una traza, presentes en la muestra de laboratorio, cuya masa sea superior a 10 mg. Cuando la masa de material esté comprendida entre 10 mg y 100 mg, la masa de la muestra de ensayo deberá mencionarse en el numeral 10 e) y la cantidad de elementos correspondientes deberá calcularse como si se hubieran utilizado 100 mg de muestra de ensayo. Si el material contiene grasa, aceite, cera o sustancias similares, la muestra de ensayo deberá colocarse en un filtro o papel endurecido y dichas sustancias deberán extraerse con 1,1,1-tricloroetano o cualquier otro disolvente adecuado para la extracción con disolvente (véase el numeral 6.1.6). Deben realizarse mediciones analíticas para garantizar que la extracción de estas sustancias es cuantitativa. La naturaleza del disolvente utilizado debe mencionarse en el numeral 10 e).

8.7.2. Toma y preparación de la muestra para los materiales en forma líquida

Se obtiene una muestra de ensayo de, al menos, 100 mg del material a partir de la muestra de laboratorio. Se autoriza la utilización de un disolvente adecuado para facilitar la obtención de la muestra de ensayo. Se debe obtener una muestra de ensayo a partir de cada uno de los diferentes materiales destinados a dejar una traza, presentes en la muestra de laboratorio, cuya masa sea superior a 10 mg. Cuando la masa del material esté comprendida entre 10 mg y 100 mg, la masa de la muestra de ensayo deberá mencionarse en el numeral 10 e) y la cantidad de elementos correspondientes deberá calcularse como si se hubieran utilizado 100 mg de muestra de ensayo. Si el material está destinado a solidificarse durante su uso normal y si contiene grasa, aceite, cera o sustancias similares, debemos dejar que la muestra de ensayo se solidifique en las condiciones de uso normal. El material resultante deberá colocarse en un papel de filtro endurecido y la grasa, el aceite, la cera o las sustancias similares deberán extraerse con 1,1,1 -tricloroetano o cualquier otro disolvente adecuado (véase el numeral 6.1.6) para la extracción. Deben realizarse mediciones analíticas para garantizar que la extracción de estas sustancias es cuantitativa. La naturaleza del disolvente utilizado debe mencionarse en el numeral 10 e).

8.7.3. Método de ensayo para muestras que no contengan grasa, aceite, cera o sustancias similares

En un recipiente de tamaño adecuado (véase el numeral 6.2.6), se mezcla la muestra de ensayo así preparada con 50 veces su masa de una solución acuosa de ácido clorhídrico c(HCl) de 0,07 mol/l (véase el numeral 6.1.1) a 37°C ± 2°C. Si la masa de la muestra de ensayo está comprendida ente 10 mg y 100 mg, se mezcla la muestra de ensayo con 5,0 ml de esta solución a 37°C ± 2°C. Se agita durante 1 min. Se verifica la acidez de la mezcla.

Si la muestra de ensayo contiene importantes cantidades de derivados alcalinos, general­mente en forma de carbonatos de calcio, se ajusta el pH entre 1,0 y 1,5 con ácido clorhídrico c(HCl) de 6 mol/l (véase el numeral 6.1.5) para evitar una dilución excesiva. El volumen de ácido clorhídrico utilizado y su relación con el volumen de la solución deben mencio­narse en el numeral 10 e). Si la cantidad de derivados alcalinos contenida en la mezcla es despreciable y si el pH de la mezcla es superior a 1,5 se añade, gota a gota, sin dejar de

4) g - 9,806 65 m/s2.

agitar la mezcla, una solución acuosa de ácido clorhí­drico c(HCl) de unos 2 mol/l (véase el numeral 6.4.1) hasta que el pH esté comprendido entre 1,0 y 1,5. Se protege la mezcla de la luz. Se agita (véase el numeral 6.2.5) la mezcla continuamente durante 1 h a 37°C ± 2°C y se deja a continuación que repose durante 1 h a 37°C ± 2°C.

8.7.4. Método de ensayo para las muestras que contengan grasa, aceite, cera o sustancias similares

Se utiliza la muestra de ensayo que haya quedado en el papel de filtro endurecido. Se deja macerar la muestra de ensayo así preparada en una masa de agua (véase el numeral 6.1.7) a 37°C ± 2°C que corresponda a 25 veces la masa del material inicial, de modo que la mezcla resultante sea homogénea. Se traslada cuantitativamente la mezcla a un recipiente de tamaño adecuado (véase el numeral 6.2.6). Se añade a la mezcla una solu­ción acuosa de ácido clorhídrico c(HCl) de 0,14 mol/l (véase el numeral 6.1.2) a 37°C ± 2°C en la proporción de 25 veces la masa de la muestra de ensayo inicial. Si la masa de la muestra de ensayo está comprendida entre 10 mg y 100 mg, se deja macerar la mues­tra de ensayo en 2,5 ml de agua (véase el numeral 6.1.7). Se traslada cuantitativamente la mezcla a un recipiente de tamaño adecuado (véase el numeral 6.2.6). Se añaden 2,5 ml de ácido clorhídrico c(HCl) de 0,14 mol/l (véase el numeral 6.1.2) a 37°C ± 2°C a la mezcla. Se agita durante 1 min. Se verifica la acidez de la mezcla. Si la muestra de ensayo contiene importantes cantidades de derivados alcalinos, generalmente en forma de carbonatos de calcio, se ajusta el pH entre 1,0 y 1,5 con ácido clorhídrico c(HCl) de aproximadamente 6 mol/l (véase el numeral 6.5.1) para evitar una dilución demasiado importante. El volumen de ácido clorhídrico utilizado y su relación con el volumen de la solución deben mencionarse en el numeral 10 e).

Si la cantidad de derivados alcalinos contenida en la mezcla es despreciable y si el pH de la mezcla es superior a 1,5 se añade, gota a gota, sin dejar de agitar la mezcla, una so­lución acuosa de ácido clorhídrico c(HCl) de aproximadamente 2 mol/l (véase el numeral 6.1.4) hasta que el pH esté comprendido entre 1,0 y 1,5. Se protege la mezcla de la luz. Se agita (véase el numeral 6.2.5) la mezcla continuamente durante 1 h a 37°C ± 2°C y se deja reposar a continuación durante 1 h a 37°C ± 2°C.

Nota. El volumen de la solución de ácido clorhídrico c(HCl) de 0,07 mol/l o de 1,14 mol/l, dependiendo de los casos, se calcula en función de la masa de la muestra de ensayo antes del desengrasado. Se separan inmediatamente los sólidos de la mezcla, en primer lugar por filtrado, con un filtro (véase el numeral 6.2.3) y, si es necesario, por centrifugado a 5.000 g5) como máximo (véase el numeral 6.2.4). La separación se debe efectuar lo antes posible después del período de reposo. El centrifugado no debe superar los 10 min y debe mencionarse en el numeral 10 e).Si las soluciones resultantes deben conservarse durante más de una jornada de trabajo antes de ser analizadas, deberán estabilizarse añadiendo ácido clorhídrico hasta que la concentración de la solución que haya que conservar sea de aproximadamente c(HCl) = 1 mol/l.

8.8. MATERIALES PARA MODELAR, INCLUIDAS LAS PASTAS PARA MO­DELAR, Y GELES

8.8.1. Toma y preparación de la muestra

Se obtiene una muestra de ensayo de, al menos, 100 mg de material a partir de la muestra de laboratorio. Debe obtenerse una muestra de ensayo a partir de cada uno de los diferentes materiales presentes en la muestra de laboratorio. Si el material contiene grasa, aceite, cera o sustancias similares, la muestra de ensayo deberá colocarse en un papel de filtro endurecido y estas sustancias deberán extraerse con 1,1,1 -tricloroetano o cualquier otro disolvente adecuado (véase el numeral 6.1.6). Deben realizarse me­diciones analíticas con el fin de asegurarse de que la extracción de las sustancias en cuestión es cuantitativa. La naturaleza del disolvente utilizado debe mencionarse en el numeral 10 e).

8.8.2. Métodos de ensayo para las muestras que no contengan grasa, aceite, cera o sustancias similares

En un recipiente de tamaño adecuado (véase el numeral 6.2.6), después de haber desme­nuzado, si es necesario, la arcilla y los materiales terrosos, se mezcla la muestra de ensayo así preparada con 50 veces su masa de una solución acuosa de ácido clorhídrico c(HCl) de 0,07 mol/l (véase el numeral 6.1.1) a 37°C ± 2°C. Se agita la mezcla durante 1 min. Se verifica la acidez de la muestra. Si la muestra de ensayo contiene importantes cantidades de derivados alcalinos, generalmente en forma de carbonatos de calcio, se ajusta el pH entre 1,0 y 1,5 con ácido clorhídrico c(HCl) de aproximadamente 6 mol/l (véase el numeral 6.1.5) para evitar una dilución excesiva. El volumen de ácido clorhídrico utilizado y su relación con el volumen de la solución deben mencionarse en el numeral 10 e). Si la cantidad de derivados alcalinos contenida en la mezcla es despreciable y si el pH de la mezcla es supe­rior a 1,5 se añade, gota a gota, sin dejar de agitar la mezcla, una solución acuosa de ácido clorhídrico c(HCl) de aproximadamente 2 mol/l (véase el numeral 6.1.4) hasta que el pH esté comprendido entre 1,0 y 1,5. Se protege la mezcla de la luz. Se agita (véase el numeral 6.2.5) la mezcla continuamente durante 1 h a 37°C ± 2°C y se deja reposar a continuación durante 1 h a 37°C ± 2°C.

8.8.3. Método de ensayo para las muestras que contengan grasa, aceite, cera o sustancias similares

Se utiliza la muestra de ensayo que haya quedado en el papel de filtro endurecido. Se deja macerar la muestra de ensayo así preparada en una masa de agua (véase el numeral 6.1.7) a 37°C ± 2°C que corresponda a 25 veces la masa del material inicial, de modo que la mezcla resultante sea homogénea. Se traslada cuantitativamente la mezcla a un recipiente de tamaño adecuado (véase el numeral 6.2.6). Se añade a la mezcla una solución acuosa de ácido clorhídrico c(HCl) de 0,14 mol/l (véase el numeral 6.1.2) a 37°C ± 2°C en la proporción de 25 veces la masa de la muestra de ensayo inicial. Se agita durante 1 min. Se verifica la acidez de la mezcla. Si la muestra de ensayo contiene importantes cantidades de derivados

5) g - 9,806 65 m/s2.alcalinos,

generalmente en forma de carbonatos de calcio, se ajusta el pH entre 1,0 y 1,5 con ácido clorhídrico c(HCl) de aproximadamente 6 mol/l (véase el numeral 6.5.1) para evitar una dilución excesiva. El volumen de ácido clorhídrico utilizado y su relación con el volumen de la solución deben mencionarse en el numeral 10 e).

Si la cantidad de derivados alcalinos contenida en la mezcla es despreciable y si el pH de la mezcla es superior a 1,5 se añade, gota a gota, sin dejar de agitar la mezcla, una so­lución acuosa de ácido clorhídrico c(HCl) de aproximadamente 2 mol/l (véase el numeral 6.1.4) hasta que el pH esté comprendido entre 1,0 y 1,5. Se protege la mezcla de la luz. Se agita (véase el numeral 6.2.5) la mezcla continuamente durante 1 h a 37°C ± 2°C y se deja reposar a continuación durante 1 h a 37°C ± 2°C.

Nota. El volumen de la solución de ácido clorhídrico c(HCl) de 0,07 mol/l o de 1,14 mol/l, dependiendo de los casos, se calcula en función de la masa de la muestra de ensayo antes del desengrasado. Se separan inmediatamente los sólidos de la mezcla, en primer lugar por filtrado, con un filtro (véase el numeral 6.2.3) y, si es necesario, por centrifugado a 5.000 g6) como máximo (véase el numeral 6.2.4). La separación se debe efectuar lo antes posible después del período de reposo. El centrifugado no debe superar los 10 min y debe mencionarse en el numeral 10 e).Si las soluciones resultantes deben conservarse durante más de una jornada de trabajo antes de ser analizadas, deberán estabilizarse añadiendo ácido clorhídrico hasta que la concentración de la solución que haya que conservar sea de aproximadamente c(HCl) = 1 mol/l.

8.9. PINTURAS, INCLUIDAS LAS PINTURAS PARA DEDOS, BARNICES, LACAS, POLVOS DE ESMALTAR Y SUSTANCIAS SIMILARES EN FORMA SOLIDA O LIQUIDA

8.9.1. Toma y preparación de la muestra para los materiales en forma sólida

Se obtiene una muestra de ensayo de, al menos, 100 mg del material por rascado o cortando fragmentos que, en reposo, no deben tener dimensiones superiores a 6 mm.

Debe obtenerse una muestra de ensayo para cada uno de los diferentes materiales, pre­sentes en la muestra de laboratorio, cuya masa sea superior a 10 mg. Cuando la masa de material esté comprendida entre 10 mg y 100 mg, la masa de la muestra de ensayo deberá mencionarse en el numeral 10 e) y la cantidad de elementos apropiados deberá calcularse como si se hubieran utilizado 100 mg de muestra de ensayo. Si el material contiene grasa, aceite, cera o sustancias similares, la muestra de ensayo deberá colocarse en un papel de filtro endurecido y dichas sustancias deberán extraerse con 1,1,1 -tricloroetano o cualquier otro disolvente adecuado (véase el numeral 6.1.6).

Deben realizarse mediciones analíticas para garantizar que la extracción de estas sustancias es cuantitativa. La naturaleza del disolvente utilizado debe mencionarse en el numeral 10 e).

Si la muestra de ensayo se obtiene por rascado, se pulveriza la muestra de ensayo de modo que el material pueda pasar a través de un tamiz metálico (véase el numeral 6.2.1) de 0,5 mm de abertura de malla.

8.9.2. Toma y preparación de la muestra para los materiales en forma líquida a partir de la muestra de laboratorio

Se obtiene a partir de la muestra de laboratorio una muestra de ensayo de al menos 100 mg del material. Se autoriza la utilización de un disolvente adecuado para facilitar la obtención de la muestra de ensayo.

Se obtiene una muestra de ensayo a partir de cada uno de los diferentes materiales, presentes en la muestra de laboratorio, cuya masa sea superior a 10 mg. Cuando la masa de material esté comprendida entre 10 mg y 100 mg, la masa de la muestra de ensayo deberá mencionarse en el numeral 10 e) y la cantidad de elementos apropiados deberá calcularse como si se hubieran utilizado 100 mg de muestra de ensayo. Si el material está destinado a solidificarse con un uso normal y si contiene grasa, aceite, cera o sustancias similares, se dejará solidificar la muestra de ensayo en condiciones de uso normal, el material resultan­te se colocará en un filtro de papel y la grasa, el aceite, la cera o las sustancias similares deberán extraerse con 1,1,1 -tricloroetano o cualquier otro disolvente adecuado (véase el numeral 6.1.6). Deben realizarse mediciones analíticas para garantizar que la extracción de las sustancias en cuestión es cuantitativa. Debe mencionarse en el numeral 10 e) la naturaleza del disolvente utilizado.

8.9.3. Método de ensayo para las muestras que no contengan grasa, aceite, cera o sustancias similares

Se sigue el método de acuerdo con el numeral 8.7.3.

8.9.4. Método de ensayo para las muestras que contengan grasa, aceite, cera o sustancias similares

Se utiliza la muestra de ensayo que haya quedado en el papel de filtro endurecido. Se deja macerar la muestra de ensayo así preparada en una masa de agua (véase el nu­meral 6.1.7) a 37°C ± 2°C que corresponda a 25 veces la masa del material inicial, de modo que la mezcla resultante sea homogénea. Se traslada cuantitativamente la mezcla a un recipiente de tamaño adecuado (véase el numeral 6.2.6). Se añade a la mezcla una solución acuosa de ácido clorhídrico c(HCl) de 0, 14 mol/l (véase el numeral 6.1.2) a 37°C ± 2°C en la proporción de 25 veces la masa de la muestra de ensayo inicial. Se agita durante 1 min. Se verifica la acidez de la mezcla. Si la muestra de ensayo contiene importantes cantidades de derivados alcalinos, generalmente en forma de carbonatos de calcio, se ajusta el pH entre 1,0 y 1,5 con ácido clorhídrico c(HCl) de aproximadamente 6 mol/l (véase el numeral 6.5.1) para evitar una dilución excesiva. El volumen de ácido

6) g - 9,806 65 m/s2.

clorhídrico utilizado y su relación con el volumen de la solución deben mencionarse en el numeral 10 e).

Si la cantidad de derivados alcalinos contenida en la mezcla es despreciable y si el pH de la mezcla es superior a 1,5 se añade, gota a gota, sin dejar de agitar la mezcla, una so­lución acuosa de ácido clorhídrico c(HCl) de aproximadamente 2 mol/l (véase el numeral 6.1.4) hasta que el pH esté comprendido entre 1,0 y 1,5. Se protege la mezcla de la luz. Se agita (véase el numeral 6.2.5) la mezcla continuamente durante 1 h a 37°C ± 2°C y se deja reposar a continuación durante 1 h a 37°C ± 2°C.

Nota. El volumen de la solución de ácido clorhídrico c(HCl) de 0,07 mol/l o de 1, 14 mol/l, dependiendo de los casos, se calcula en función de la masa de la muestra de ensayo antes del desengrasado. Se separan inmediatamente los sólidos de la mezcla, en primer lugar por filtrado, con un filtro (véase el numeral 6.2.3) y, si es necesario, por centrifugado a 5.000 g7) como máximo (véase el numeral 6.2.4). La separación se debe efectuar lo antes posible después del período de reposo. El centrifugado no debe superar los 10 min y debe mencionarse en el numeral 10 e).Si las soluciones resultantes deben conservarse durante más de una jornada de trabajo antes de ser analizadas, deberán estabilizarse añadiendo ácido clorhídrico hasta que la concentración de la solución que haya que conservar sea de aproximadamente c(HCl) = 1 mol/l.

9. DETERMINACiON DEL CONTENIDO DE ELEMENTOS

Para determinar los contenidos de los elementos que figuran en el numeral 1 deben utilizarse métodos que tengan un límite de detección menor o igual a 1/10 de los valores que haya que determinar (véase el numeral 4.1, Tabla 1). El límite de detección (de un método) se estima en tres veces la desviación estándar del valor del blanco, tal y como lo mide el laboratorio que procede a los análisis de los materiales de los juguetes.

Los laboratorios que se aparten de esta exigencia deberán mencionar el límite de de­tección en el numeral 10 c).

10. INFORME DE ENSAYO

El informe del ensayo debe contener, como mínimo, las informaciones siguientes:

a) El tipo y la identificación del producto y/o del material ensayado.

b) La referencia de esta norma (NTC EN 71-3).

c) Los métodos utilizados para determinar el contenido de cada elemento y el límite de detección si dicho límite se aparta de las exigencias del numeral 9.

d) Los resultados de los ensayos expresados en miligramos de elemento por kilogramo de material, indicando que el resultado se refiere al elemento soluble.

e) Los detalles del método utilizado (a partir del numeral 8) para preparar la mues­tra de ensayo (incluido, por ejemplo, si se han incorporado elementos del material base, si ha habido que recurrir a un centrifugado para separar las partes sólidas de la solución antes del análisis, si ha habido que añadir ácido para bajar el pH, si la relación sólido/disolvente de extracción superaba l/50 y el disolvente utilizado para extraer cualquier grasa, aceite, cera u otras sustancias similares en el material del juguete) y si la muestra se había ajustado a 1 mol/l para una conservación más allá de una jornada de trabajo.

f) Cualquier desviación, por acuerdo o no, del método de ensayo especificado.

g) La fecha del ensayo.

DOCUMENTO DE REFERENCIA

EUROPEAN STANDARD. Safety of Toys. Part 3. Migration of Certain Elements. (EN 71-3: 1994).

ANEXO A (Normativo)

Método de ensayo para determinar la acidez del 1,1,1 -tricloroetano

A.1. REACTIVOS

A.1.1. Hidróxido de sodio estándar (0,1 mol/l ± 0,000 5 mol/l).

A.1.2. Indicador de fenolftaleína 0,5 g en 100 ml de etanol del 95% (V/V) que vira a rosa pálido por adición de una cantidad mínima de solución acuosa diluida con ácido clorhídrico o hidróxido de sodio.

A.1.3. Agua neutralizada mediante la adición de una solución acuosa diluida de hidróxido de sodio o de HCl y dependiendo del pH en presencia de algunas gotas del indicador de fenolftaleína.

A.2. METODO DE ENSAYO

Se vierten 100 cm3 de agua en un frasco de 250 cm3, se añaden 100 cm’ de una muestra de 1,1,1 -tricloroetano, se tapa el frasco y se agita vigorosamente. Se deja que las capas se separen, se añaden 0,5 cm3 del indicador de fenolftaleína y se determina la graduación con una solución acuosa de hidróxido de sodio de 0,1 mol/l con ayuda de una microbureta, hasta que la capa superior vire a rosa pálido.

A.3. CALCULO

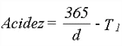
La acidez en partes por millón por masa de ácido clorhídrico se calcula con la siguiente ecuación:

Donde:

T1 es el volumen en cm3 de hidróxido de sodio 0,1 mol/l

d es la densidad relativa de la muestra de 1,1,1 -tricloroetano.

7) g -= 9,806 65 m/s2.

ANEXO B (Normativo)

Requisitos para el tamizado

Tabla B.1. Medidas de los tamices y tolerancias

Abertura no­minal de la malla

Diámetro nominal de los hilos de los tamices de ensayo

 

mm

mm

Desviación máxima para el tamaño de una abertura individual

(mm)

Tolerancia de las aber­turas medias

mm

Desviación inter­media (máx. 6% de las aberturas pueden superar la abertura nominal más esta cifra)

(mm)

0,500

0,315

+ 0,090

± 0,018

+ 0,054

ANEXO C (Informativo)

Preparación y análisis de las muestras de ensayo

El diagrama siguiente da una indicación para determinar el método que se debe utilizar en función de los diferentes materiales de los juguetes.

Figura C.1. Diagrama que muestra el método y el análisis de las muestras de ensayo

ANEXO D (Informativo)

Contexto y justificaciones de los requisitos y métodos de ensayo expuestos en esta parte de la norma NTC EN 71

D.1. INTRODUCCION

La definición del término "biodisponibilidad" que figura en la directiva relativa a la seguridad de los juguetes8) implica la inclusión en la norma de métodos de ensayo ten­dientes a determinar la magnitud de la migración de los elementos solubles a partir de los materiales de los juguetes.

8) Véase la Directiva del Consejo Europeo 88/CEE del 3 de mayo de 1988, relativa a la seguridad de los juguetes (publicada en el diario oficial de la CE N’ L 187 del 16 de julio de 1988).

El proceso que contempla la determinación del contenido total de los elementos no se ha tenido en cuenta por las razones siguientes:

a) La directiva indica unos límites de biodisponibilidad y, hasta la fecha, no se ha ob­servado relación alguna entre la disponibilidad de un elemento en un material del juguete y el contenido total de dicho elemento en el material, cuando se han realizado extracciones mediante soluciones gástricas simuladas.

b) En determinados casos, como el del sulfato de bario, un 2% puede ir incluido en los productos con el fin de hacerlos radioopacos. Esta utilización del bario debería excluirse en el caso de los juguetes, o bien ser objeto de una normativa separada.

Los compuestos de cadmio pueden utilizarse como estabilizadores en las materias plás­ticas como el policloruro de vinilo (PVC). En condiciones normales, estos compuestos no son solubles en la solución gástrica simulada. Por lo tanto, si se hubiera querido determinar el contenido total de los elementos, habría habido que justificar su utilización en las pres­cripciones de la norma. Es también el caso del selenio, que puede estar presente en forma de constituyente de pigmentos insolubles, etc. (véase también el numeral D.4).

D.2. CAMPO DE APLICACION

D.2.1. Embalaje

"Salvo en caso de que formen parte del juguete" parece hacer alusión, por ejemplo, a las cajas que contienen los rompecabezas o al lugar en que están situadas las instrucciones sobre el embalaje, en el caso de los juegos, etc., sin olvidar el segundo párrafo de la nota del campo de aplicación, que limita las exigencias a los juguetes destinados a niños menores de 6 años. No se trata, por ejemplo, de los embalajes en forma de película que contienen simples instrucciones.

D.2.2. Nota del campo de aplicación

Esta nota pretende precisar el procedimiento que hay que adoptar para decidir sobre los juguetes o las partes de juguetes que se deben excluir de la norma por poseer características que hagan improbable el riesgo de daño debido a la ingestión de materiales que contengan elementos tóxicos.

Se ha considerado que se trata de un procedimiento lógico por algunas razones, entre las que se encuentran las siguientes:

- Cuanto mayor es el niño, menor tendencia tiene a llevarse a la boca el juguete o los materiales del juguete y, por tanto, el riesgo unido a la ingestión de elementos tóxicos se reduce.

- Cuanto más grande es el juguete, menos accesible es el material, más reducido es el riesgo de ingestión de elementos tóxicos.

Por esta razón, se ha decidido que todos los juguetes susceptibles de llevarse a la boca o cerca de esta se sometan a los ensayos (los lápices, por ejemplo).

Se ha considerado que los juguetes destinados a los niños de más de seis años no con­llevan un riesgo de daño significativo por ingestión de elementos tóxicos.

D.3. REQUISITOS ESPECIFICOS (véase el numeral 4.1)

El límite de migración del bario soluble ha pasado de 500 mg/kg a 1.000 mg/kg por las razones siguientes:

- La utilización de sulfato de bario en los juguetes ha dado a 37°C unos niveles de bario soluble en la solución de extracción c(HCl) = 0,07 mol/l ± 0,005 mol/l comprendidos entre 400 mg/kg y 600 mg/kg, tal y como se expresan en función del peso del material del juguete que se toma como muestra. Este nivel es tal que, en razón de la incertidumbre estadística de la determinación, no se ha podido pronunciar el rechazo o la aceptación.

- La formación de cristales de sulfato de bario coloidal no biodisponible en el filtrado, que da unos niveles de bario aparentemente soluble que superan los 500 mg/kg, en razón de problemas de filtrado.

- Además, el anterior límite de migración del bario de 500 mg/kg a partir de materiales de los juguetes no era coherente ni con los 25,0 µg/día de biodisponibilidad, ni con los 8 mg/día de consumo de material del juguete. 25,0 µg corresponden a un límite de migración de 3 125 g/kg. Evidentemente, se ha elegido de manera deliberada el límite de los 500 mg/kg a pesar de la cifra "teórica" de 3 125 g/kg. El límite de los 500 mg/kg tiene como efecto rebajar la biodisponibilidad de los 25 µg recomendados a 4 µg. Hay que destacar que la cifra de 25,0 µg se ha fijado para rebajar el nivel que se había fijado inicialmente en 50,0 µg, no por razones toxicológicas, sino, según la Comisión de las Comunidades Europeas, "para evitar que aumente de forma inútil la carga corporal".

D.4. INCERTIDUMBRE ESTADISTICA DEL PROCEDIMIENTO OPERATIVO DE ENSAYO E INTERPRETACION DE LOS RESULTADOS (véase el numeral 4.2)

La mayor parte de los métodos de ensayo químicos están destinados a medir el contenido total de una sustancia en un material. Esto facilita la obtención de resultados exactos con una mayor concordancia estadística entre los diferentes laboratorios, dado que se dispone de un valor absoluto o verdadero.

Habida cuenta de la definición del término "biodisponibilidad" en la directiva relativa a la seguridad de los juguetes9), los métodos de ensayo indicados en la norma miden la magnitud de la migración de los elementos solubles a partir de un material del juguete dado. Con este tipo de ensayo químico, los resultados dependen de las condiciones de ensayo especificadas y no existen valores absolutos o verdaderos. Por consiguiente, cuando se realizan estos ensayos de migración, es más difícil obtener una concordancia estadística entre los diferentes laboratorios.

Este hecho se ilustra con los datos estadísticos que figuran en la edición anterior de la norma de 1988, datos obtenidos a partir de un ensayo interlaboratorios europeo, realizado en 1987 en 17 laboratorios. Los resultados obtenidos sobre un material idéntico variaban

9 Véase la Nota página 20.

al menos en un 30% y hasta en un 50% entre los diferentes laboratorios, en función de la técnica instrumental utilizada para medir la concentración en el filtrado de elementos solubles. Además estas cifras habrían sido 3 veces superiores si se hubieran ajustado para obtener un nivel de confianza del 95%.

Este grado de incertidumbre estadística es fuente de problemas para los fabricantes y para el legislador si los resultados del ensayo se acercan a los límites máximos admitidos en la norma. Resulta estadísticamente imposible concluir un rechazo o una aceptación del juguete, por lo que aparecen incoherencias en la interpretación de los resultados.

No existe ninguna relación directa entre el contenido total de un elemento dado en un material del juguete y la migración soluble del mismo elemento en condiciones de ensayo normales. Por esta razón, el hecho de medir el contenido total y transformar los resultados para obtener un valor correspondiente al elemento soluble en cuestión no resuelve el proble­ma. Sería posible fijar unos límites máximos del contenido total, pero habría que enmendar la directiva relativa a la seguridad de los juguetes (véase también el numeral D.1).

Desde 1988, el procedimiento operatorio de ensayo de los revestimientos de pintura aplicados sobre los juguetes es objeto de investigaciones profundas, con el objetivo de detec­tar los parámetros que influyen sobre los resultados de forma significativa. Los parámetros más críticos son la forma, las dimensiones y la masa de las partículas de pintura obtenidas al retirar esta última y en su triturado ulterior. El método de agitación, la temperatura y el tipo y la porosidad del papel de filtro son parámetros menos críticos.

En consecuencia, se ha propuesto un método determinado de raspado y de pulverizado, que permita recoger una muestra de ensayo de pintura comprendida entre 300 µg y 500 µg, en concepto de revisión del procedimiento operatorio de ensayo. En 1993 se ha realizado un ensayo interlaboratorios europeo en 29 laboratorios, para comparar el procedimiento operatorio enmendado con el que se describe en la norma de 1988.

Este ensayo ha mostrado que los resultados obtenidos a partir de un material idéntico pueden variar en al menos un 25% y hasta en un 80% dependiendo de la técnica instrumental utilizada para medir la concentración de elementos solubles en el filtrado.

La concordancia estadística entre los diferentes laboratorios mejoró al utilizar un método determinado de raspado, pero no con una muestra de ensayo comprendida entre 300 µm y 500 µm. No obstante, la mejora no fue lo bastante significativa como para justificar las modificaciones propuestas.

El ensayo confirmó que el recurso a diferentes técnicas instrumentales contribuye a la incertidumbre estadística del procedimiento operatorio de ensayo. Se observó también que los laboratorios necesitan controlar y calibrar regularmente sus instrumentos para poder garantizar la exactitud de las mediciones. El plasma de acoplamiento inductivo (ICP) fue el más utilizado por los laboratorios en esta ocasión y la tendencia fue obtener un mayor acuerdo en la mayor parte de los elementos, especialmente el arsénico, el antimonio y el selenio. No obstante, este método no es tan sensible como los métodos de generación de hidruro para los niveles bajos de estos mismos elementos.

Un método de ensayo que dé unos resultados que varíen, en el mejor de los casos, en un 25% entre los diferentes laboratorios se suele considerar como técnicamente inadecuado si sirve de método de referencia. No obstante, en realidad, la aceptación o el rechazo de los juguetes sometidos a este ensayo es fácil de obtener y los resultados sólo se sitúan en la zona de incertidumbre en contadas ocasiones. Cuando se da el caso, es importante que los laboratorios interpreten los resultados de la misma forma.

Está admitido que el procedimiento operatorio de ensayo no se puede mejorar sin imponer a los laboratorios cargas onerosas, que provocan una pérdida de tiempo y, en algunos casos, son irrealizables y sólo traen venta las limitadas en términos de seguridad y de concordancia estadística. Así pues, el método operatorio permite a los laboratorios utilizar la técnica de su elección para raspar la pintura en la superficie de los juguetes, recoger una muestra de ensayo que pueda pasar a través de un tamiz de 500 µm y determinar la concentración de elementos solubles en el filtrado.

Para poder interpretar los resultados de forma coherente, la norma indica un factor de corrección para cada elemento, aplicable a todas las técnicas instrumentales. Estos factores, que figuraban en los datos relativos a la precisión de la norma de 1988, se aplican cuando el resultado del análisis es igual o superior al límite máximo. Estos resultados se corrigen con arreglo a la descripción del numeral 4.2, utilizando el factor de corrección apropiado. Esta forma de interpretar los resultados es totalmente adecuada como ensayo eliminatorio para diferenciar los juguetes seguros de los que no lo son, así como para garantizar la seguridad de los niños.

Se recomienda, para el futuro, que los laboratorios controlen y comparen sus resultados cuando apliquen el método de ensayo, utilizando materiales de referencia y participando en un programa de control.

D.5. REACTIVOS (véase el numeral 6.1)

D.5.1. 1,1,1 -Tricloroetano (Véase el numeral 6.1.6)

Este numeral limita el nivel máximo de acidez que puede contener el 1,1,1 -tricloroetano. Es sabido que este disolvente se descompone por la luz solar para producir ácido clorhídrico.

En virtud del Protocolo de Montreal, la utilización del 1,1,1 -tricloroetano para usos generales se suprimirá de forma progresiva. La norma indica que se pueden utilizar otros disolventes adecuados, pero que deberán ser objeto de una evaluación para garantizar que han sido igual de eficaces que el 1,1,1 -tricloroetano para extraer toda la cera/grasa.

D.6. APARATOS (véase el numeral 6.2)

D.6.1. Tamices metálicos de acero inoxidable de tejido sencillo (Véase el numeral 6.2.1)

Véase el numeral D.4.

D.6.2. Medio para medir el pH (Véase el numeral 6.2.2)

La medición del pH se puede realizar por medio de cualquier otro instrumento que no sea un medidor de pH.

D.6.3. Centrífuga (Véase el numeral 6.2.4)

Nuevo numeral que especifica las exigencias de prestaciones en materia de límites de centrifugado y de duración admitida para el centrifugado (hasta 10 min) y en el que se esta­blece que estos datos deben indicarse en el numeral 10 e). Este último numeral es necesario, pues se ha observado que el centrifugado facilita la extracción del bario.

D.6.4. Elección de los recipientes (Véase el numeral 6.2.6)

La indicación del volumen total de los recipientes está destinada a garantizar el movi­miento adecuado de la solución, lo que permite obtener una extracción más eficaz.

D.7. Elección de las muestras de ensayo (Véase el numeral 7)

El análisis de muestras de ensayo "compuestas" (combinación de varios materiales o colores) no es adecuado y no será, en principio, necesario (habida cuenta de la existencia del método de ensayo de los "5,0 ml"). El análisis de los materiales compuestos no es satisfactorio, porque puede, en teoría, generar una disminución de la migración de los elementos tóxicos que, en otras condiciones, no hubiera estado limitada. Podemos citar a este respecto un ejemplo simple: el caso en que la extracción del bario contenido en la pintura resulta incompleta cuando se realiza junto con otra pintura. Esta circunstancia puede deberse a la presencia de un contra-ión en la segunda pintura, que podría provocar una precipitación del bario. El contra-ión puede ser sulfato, pero ignoramos si se trata o no de sulfato, y además no tiene importancia para el establecimiento de este principio. Así pues, salvo en los casos en los que la separación de los colores o de los materiales de los juguetes es irrealizable (impresión por puntos, por ejemplo), cada superficie discreta debe tratarse como una muestra única.

La nota precisa que es posible someter a la prueba materiales de los juguetes que no se presenten en forma de juguetes, por necesidades de referencia, no obstante, la norma indica claramente que las muestras de ensayo deben tomarse en el juguete mismo.

D.8. PAPEL Y CARTON (Véase el numeral 8.3)

D.8.1. Toma y preparación de la muestra (véase el numeral 8.3.1)

El papel y el cartón deben considerarse como un material único, es decir, que los revestimientos de superficie, si los hay, no deben retirarse, pero las muestras de ensayo deberán incluir partes representativas de la superficie en cuestión. Se ha optado por este procedimiento operatorio porque cuando en la práctica un niño mastica papel o cartón, es poco probable que haya una separación del revestimiento y del sustrato y ambos son igualmente importantes.

D.9. TEXTILES, NATURALES O SINTETICOS (véase el numeral 8.4)

D.9.1. Toma y preparación de la muestra (véase el numeral 8.4.1)

No es posible tomar por separado muestras coloreadas de un tejido con motivos impresos entremezclados, por lo que hay que tomar una sola muestra de ensayo que represente todos los colores del material.

D.10. CRISTAL, CERAMICA, MATERIALES METALICOS (véase el numeral 8.5)

D.10.1. Toma y preparación de la muestra (véase el numeral 8.5.1)

Los juguetes o componentes de los mismos que no entren completamente en el "cilin­dro para pequeños elementos" mencionado en la norma NTC EN 71-1 no se someterán al ensayo, pues no presentan riesgo alguno de ingestión y la extracción obtenida mediante el simulador de saliva no es significativa. Este cilindro se utiliza para evaluar el tamaño de los juguetes y componentes de juguetes destinados a todas las franjas de edad adecuadas. El pulverizado del cristal, de la cerámica y de los materiales metálicos no resulta adecuado. La agitación de la solución de ensayo sería imposible en numerosos casos, por lo que la extracción se realiza sin agitación. El diámetro del recipiente y la orientación de la muestra de ensayo se han elegido para minimizar variables.

El cristal, la cerámica y los materiales metálicos totalmente revestidos, de modo que el cristal, la cerámica o el metal no son accesibles, de acuerdo con la definición que figura en la norma NTC EN 71-1 no se someterán al ensayo con arreglo a estos requisitos.

Cuando las superficies metálicas, de cristal o de cerámica son accesibles, aunque estén parcialmente cubiertas por un revestimiento, se someterán al ensayo descrito en el numeral 8.5.2 después de haber retirado el revestimiento parcial de acuerdo con el método del numeral 8.1.1. Este procedimiento operatorio es un compromiso, pues, tal y como se especifica en el numeral 7 de esta norma, un solo juguete puede considerarse como una muestra.

D.11. OTROS MATERIALES, COLOREADOS EN LA MASA O NO (véase el numeral 8.6)

Este numeral trata de los materiales coloreados en la masa, así como otros materiales no coloreados, como la madera, tableros duros, cuero o hueso, que hayan podido someterse a cualquier otro tratamiento pero que no estaban cubiertos por la norma de 1988.

ANEXO 3

NORMA TECNICA NTC 4894

SEGURIDAD DE JUGUETES

PARTE 1: PROPIEDADES MECANICAS Y FISICAS

1. OBJETO

Los requisitos de esta norma se aplican a todos los juguetes, es decir, cualquier material diseñado o claramente destinado para uso en juegos de niños menores de 14 años de edad. Son aplicables a los juguetes tal como los recibe inicialmente el consumidor y, además, se aplican después que los juguetes se someten a condiciones razonablemente previsibles de uso normal y abuso.

Los requisitos de esta norma especifican criterios aceptables para las características estructurales de los juguetes, como su forma, tamaño, contorno, espacios entre partes (por ejemplo, sonajeros, partes pequeñas, puntas y bordes agudos, espacio libre en la línea de articulación, respectivamente) así como criterios aceptables para propiedades peculiares de ciertas categorías de juguetes (por ejemplo, valores máximos de energía cinética para proyectiles con puntas no elásticas, mínimos ángulos de inclinación para ciertos tipos de juguetes en los que se puede montar).

Esta norma especifica requisitos y métodos de ensayo para juguetes destinados al uso por parte de niños en diferentes grupos de edades, desde el nacimiento hasta los 14 años. Los requisitos varían de acuerdo con el grupo de edades para el cual está destinado un juguete particular. Los requisitos para un grupo de edades particular reflejan la naturaleza de los riesgos y las capacidades mentales y/o físicas esperadas del niño para manejar el juguete.

Esta norma también exige que se den las advertencias y/o instrucciones adecuadas para el uso en ciertos juguetes o en sus empaques. Debido a los problemas lingüísti­cos que pueden presentarse en diferentes países, la redacción de estas advertencias e instrucciones no se especifica, pero se da como información general en el Anexo C. Conviene anotar que existen diferentes requisitos legales en muchos países respecto a ese tipo de rotulado.

Esta norma no pretende cubrir o incluir todos los riesgos potenciales concebibles de un juguete o categoría de juguetes particular. Excepto por los requisitos de rotulado que indican los riesgos funcionales y el rango de edades para los cuales se ha diseñado el juguete, esta norma no tiene requisitos para aquellas características de los juguetes que representan un riesgo inherente y reconocido, integral a la función del juguete.

Nota. Un ejemplo de estos riesgos es la punta aguda necesaria para el correcto funcio­namiento de una aguja. La aguja es un riesgo bien comprendido por el comprador de un costurero de juguete, y el riesgo funcional de la punta se comunica al usuario, tanto como parte del proceso normal de educación, como en el punto de venta por medio de un rotulado de advertencia en el empaque del producto.

Como otro ejemplo, una patineta tiene riesgos inherentes y reconocidos asociados con su uso (por ejemplo, inestabilidad durante el uso, especialmente mientras se aprende). Los riesgos potenciales asociados con sus características estructurales (bordes afilados, riesgo de punciones, etc.) se minimizan al cumplir los requisitos de esta norma.

Los productos no incluidos en el objeto de esta norma son:

a) Bicicletas, excepto las que se consideran juguetes, es decir, las que tienen una altura máxima del sillín de 435 mm (véase el literal e)1);

b) Hondas (caucheras) (Nota. las "caucheras" también se conocen como "catapultas");

c) Dardos con puntas metálicas

d) Equipos para campos de juegos públicos;

e) Escopetas y pistolas de aire comprimido y operadas a gas (véase el literal e) 1);

e) Cometas (excepto por la receptividad de sus cuerdas, que está incluida);

g) Estuches para modelado, artículos para pasatiempos y artesanía, en los cuales el artículo terminado no tiene primordialmente valor como juego;

h) Artículos y equipos deportivos, para camping, equipo atlético, instrumentos musicales y muebles; sin embargo, se incluyen los juguetes que son sus contrapartes.

Se reconoce que frecuentemente hay una sutil distinción entre, por ejemplo, un instrumento musical o un artículo deportivo y su contraparte de juguete. La intención del productor o distribuidor, así como el uso normal y abuso razonablemente previsible, determinan si el artículo es un juguete o no;

i) Modelos de aeronaves, cohetes, botes y vehículos terrestres accionados por motores de combustión; sin embargo, se incluyen los juguetes que son sus contrapartes (véase literal e) 1);

j) Productos coleccionables para adultos;

k) decoraciones navideñas destinadas en principio para propósitos ornamentales (véase el literal e) 1);

l) Equipo acuático destinado para uso en aguas profundas;

m) Juguetes instalados en sitios públicos (por ejemplo, galerías y centros comerciales);

n) Rompecabezas que tengan más de 500 piezas o que no tengan ilustración, destinados para especialistas;

o) Fuegos artificiales, incluidos los fulminantes, excepto los diseñados específicamente como juguetes;

p) Productos que contienen elementos generadores de calor destinados para uso bajo supervisión de un adulto en un contexto didáctico;

q) Máquinas a vapor de juguete;

r) Videojuegos que se puedan conectar a una pantalla de video y operar a una tensión nominal mayor que 24 v;

s) Chupos para bebés (dummies);

t) Reproducciones fieles de armas de fuego;

u) Hornos, planchas y otros artículos funcionales eléctricos operados a una tensión nominal mayor que 24 v;

v) Arcos para tiro al blanco con una longitud total en extensión mayor que 120 cm;

w) Joyería de fantasía para niños (véase el literal e) 1).

2. REFERENCIAS NORMATIVAS

Las siguientes normas contienen disposiciones que, a través de su referencia en este texto, constituyen disposiciones de la presente norma. En el momento de su publicación eran válidas las ediciones indicadas. Todas las normas están sujetas a actualización y se recomienda a las partes que realizan acuerdos con base en esta norma, estudiar la posibilidad de aplicar las ediciones más recientes de las normas indicadas en seguida. Los miembros de ISO e IEC llevan registros de las normas internacionales válidas actualmente.

ISO 868:1985, Plastics and Ebonite. Determination of Indentation Hardness by Means of a Durometer (Shore hardness).

ISO 4287-2:1997, Surface Roughness. Terminology. Part 2: Measurement of Surface Roughness Parameters.

ISO 4593:1993, Plastics. Film and Sheeting. Determination of Thickness by Mechanical Scanning.

ISO 6508-1:1999, Metallic Materials. Rockwell Hardness Test. Part 1: Test Method (Scales A, B, C, d, E, F, g, h, k, n, t).

3. TERMINOS Y DEFINICIONES

Nota. Siempre que se use el término "meses" en esta norma, se denota que se com­pleta el número designado de meses (es decir, 18 meses significa hasta 18 meses de edad inclusive).

Para los propósitos de esta parte de la norma aplican los siguientes términos y defini­ciones.

3.1. Accesibilidad: se describe como cualquier área del juguete que se puede contactar con cualquier parte delantera del collar de la sonda de accesibilidad "A" o "B", tal como se determina en el numeral 5.7 (accesibilidad de una parte o componente).

3.2. Juguete acuático: artículo que puede ser inflable o no, destinado para soportar el peso de un niño y ser utilizado como instrumento de juego en aguas poco profundas.

Los juguetes para el baño y balones de playa no se consideran juguetes acuáticos.

3.3. Balón: objeto esférico, ovoide o elipsoidal, diseñado o destinado para lanzarlo, golpearlo, patearlo, hacerlo rodar, dejarlo caer o rebotar;

Notas:

1. Las definiciones incluidas de los balones como objeto esférico, ovoide o elipsoidal unido a un juguete o artículo mediante una cuerda, cable elástico o atadura similar; objeto multilateral formado por planos conectados y cualquier innovación de forma generalmente esférica, ovoide o elipsoidal diseñada o destinada para ser usada como balón.

2. El término "balón" no incluye dados o bolas que permanecen encerradas dentro de máquinas de billar romano (pinball), laberintos o en recipientes exteriores similares. Un balón está encerrado permanentemente no sale del contenedor externo cuando se ensaya de acuerdo con lo especificado en el numeral 5.25 (abuso razonablemente previsible).

3.4. Respaldo: material que se adhiere a una lámina plástica flexible.

3.5. Juguete operado por batería: juguete que depende para su funcionamiento de la energía proporcionada por una batería.

3.6. Aspereza: rugosidad causada por un acabado o partición del material que no han sido rectificados.

3.7. Colapso: doblamiento repentino o inesperado de una estructura.

3.8. Cable: tramo de material delgado y flexible, incluidos cables unifilares, cables trenzados y retorcidos, sogas, cintas plásticas textiles, cintas y materiales fibrosos conocidos como cuerda.

3.9. Aplastamiento: lesión en una parte del cuerpo como resultado de la compresión entre dos superficies rígidas.

3.10. Mecanismo de descarga: dispositivo destinado para descargar e impulsar un proyectil.

3.11. Mecanismos impulsores: ensamble de partes o componentes ligados (como pa­lancas de cambios, mecanismos de devanado, bandas transportadoras), al menos uno de los cuales se mueve por la energía de una fuente (es decir, por medios eléctricos o mecánicos) independiente del niño.

3.12. Borde

3.12.1. Borde curvado: borde en el cual la parte de la lámina adyacente al borde se dobla en un arco y forma un ángulo de menos de 90º con la lámina base, como ilustra la Figura 1.

3.12.2. Borde confinado: aquel en el cual la parte de una lámina adyacente al borde se repliega sobre sí misma en un ángulo de aproximadamente 180º, de manera que queda aproximadamente paralela a la lámina principal, como se ilustra en la Figura 1.

3.12.3. Borde enrollado: aquel en el cual la parte de la lámina adyacente al borde se dobla en un arco y forma un ángulo entre 90º y 120º con la lámina principal, como se ilustra en la Figura 1.

3.13. Material expansible: material cuyo volumen se expande cuando se expone al agua.

3.14. Elemento de fijación: dispositivo mecánico que une dos o más elementos entre sí.

EJEMPLOS.

Tornillos, remaches, ganchos.

3.15. Biselado: achaflanado de un borde (o disminución en el espesor hacia el borde causada durante el corte o cizallamiento del material).

Figura 1. Bordes

3.16. Rebaba: material de exceso que escapa entre las partes que se unen en un ensamble moldeado.

3.17. Mecanismo de plegado: ensamble con bisagras, de pivote, con pliegues o deslizable, que podría triturarse, cortarse, pincharse o rasgarse durante la operación.

EJEMPLOS.

Tablas de planchar de juguete, cochecitos caminadores de juguete.

3.18. Juguete funcional: juguete que funciona, se usa en la misma forma y suele ser un modelo a escala de cierto producto, artefacto o instalación destinada para uso por parte de adultos.

EJEMPLO.

Estufa con propiedades de calefacción.

3.19. Pelusa: briznas de material tipo fibroso que se pueden retirar de los juguetes con una superficie pilosa.

3.20. Vidrio: sustancia dura, quebradiza, amorfa, producida por fusión, generalmente constituida por sílica y silicatos mutuamente disueltos, que también contiene soda y cal.

3.21. Prejuicio: lesiones y/o daños físicos a la salud o la propiedad.

3.22. Peligro: fuente potencial de perjuicio.

Nota. El término peligro generalmente se asigna para definir su origen o la naturaleza del perjuicio esperado (es decir, peligro de choque eléctrico, peligro de aplastamiento, peligro de corte, peligro de intoxicación, peligro de incendio, peligro de ahogamiento).

3.23. Proyección peligrosa: proyección que, debido a su material o configuración, o am­bos, puede representar un riesgo de herida punzante si un niño se para o cae sobre ella.

Notas:

1. De esta definición se excluyen los riesgos de punción a los ojos y/o la boca debido a la imposibilidad de eliminar estos riesgos de dichas áreas del cuerpo por el diseño del producto.

2. Si la proyección está en un juguete pequeño que se vuelca cuando se le aplica presión al extremo de la proyección, es improbable que represente un riesgo.

3.24. Borde peligroso: borde accesible de los juguetes que no representa un riesgo razonable de daño durante el uso normal o el abuso razonable previsible.

3.25. Punta peligrosa: punta accesible que presenta un riesgo no razonable de lesiones durante el uso normal o abuso razonablemente previsible.

3.26. Espacio libre en la línea de articulación: distancia entre la parte estacionaria de un juguete y la parte móvil a lo largo o adyacente a una línea proyectada a través del eje de rotación como se ilustra en la Figura 2.

3.27. Uso destinado: diseñado, etiquetado o comercializado.

Clave:

1. Línea de bisagra.

2. Tapa.

3. Caja.

l Espacio entre bordes ensamblados

Figura 2. Espacio libre en la línea de articulación

3.28. Junta traslapada: junta en la cual un borde se traslapa sobre una superficie paralela pero no está necesariamente unido a ella por medios mecánicos en todos sus puntos en toda su longitud, como en los ejemplos que se ilustran en la Figura 1.

3.29. Juguete grande y voluminoso: juguete que tiene un área de base proyectada de más de 0,26 m2 o un volumen de más de 0,08 m3, calculado sin tener en cuenta apéndices menores.

Nota. El área de base para juguetes que tienen patas unidas permanentemente se debe medir calculando el área encerrada por el perímetro formado por las líneas rectas que co­nectan el borde más externo de cada pata.

3.30. Canica: esfera hecha de un material duro, como vidrio, ágata, mármol o plástico, que se usa en varios juegos infantiles, generalmente como pieza o marcador de juego.

3.31. Metal: incluye tanto metales elementales como metales de aleación.

3.32. Uso normal: modos de juego que cumplen las instrucciones suministradas con el ju­guete, establecidas por tradición o costumbre o que son evidentes al examinar el juguete.

3.33. Empaque: material que acompaña al juguete cuando se compra, pero no previsto para funcionar como juguete.

3.35. Mueble de juguete: mueble destinado o que puede soportar el peso de un niño.

3.36. Pompón: tramos o hebras de fibra, hilaza o hilos, sujetos o asegurados y atados en el centro y peinados para formar una figura esférica.

Notas:

1. También incluyen accesorios de forma esférica hechos de materiales rellenos (véase Figura 3).

2. Las borlas con hebras largas no se consideran pompones (véase Figura 4).

Figura 3. Pompones regulares y redondos

Figura 4. Borla con hebras largas

3.37. Proyectil: objeto destinado para ser lanzado en vuelo libre o en una trayectoria al aire.

3.38. Juguete proyectil con energía almacenada: es un juguete con un proyectil impulsado por medio de un mecanismo de descarga capaz de almacenar y liberar energía.

3.39. Juguete proyectil sin energía almacenada: es el proyectil que se descarga por la energía impartida por un niño.

3.40. Tapa o cubierta protectora: componente que se asegura a un borde o proyección potencialmente peligrosa para reducir la posibilidad de lesiones.

3.41. Juguete de halar: juguete destinado para ser "halado" por el piso o suelo.

Nota. Los juguetes destinados para niños mayores de 36 meses de edad no se consideran como juguetes de halar.

3.42. Abuso razonablemente previsible: es el uso de un juguete bajo condiciones o para propósitos no previstos por el proveedor, pero que pueden presentarse inducidos por el juguete combinado con, o como resultado de la conducta común en un niño.

EJEMPLOS.

Desensamblar, dejar caer o usar deliberadamente un juguete para un propósito para el cual no estaba destinado.

Nota. En el numeral 5.25 se presentan ensayos de abuso simulado para juguetes (ensayo de abuso razonablemente previsible).

3.43. Componente removible: parte o componente destinada para ser retirada del juguete sin el uso de herramientas.

3.44. Rigidez: dureza de un material que excede de 70 en la escala de dureza Shore A, medida de acuerdo con lo especificado en la norma ISO 868.

3.45. Riesgo: la frecuencia probable de ocurrencia de un peligro que causa perjuicio y el grado de severidad del perjuicio.

3.46. Dispositivo protector simulado: es un juguete diseñado para productos de imitación que confiere cierto tipo de protección física al usuario.

EJEMPLOS.

Cascos protectores, visores.

3.47. Juguete de relleno blando (peluche): es un juguete, vestido o no, con superficies corporales blandas y lleno de materiales blandos, que permite comprimir el torso fácilmente con la mano.

3.48. Astilla: es un fragmento de punta dura.

3.49. Resortes

3.49.1. Resorte helicoidal: es el que tiene forma de bobina (véase la Figura 5).

3.49.1.1. Resorte de compresión: es el que regresa a su estado inicial después de la compresión.

3.49.1.2. Resorte de extensión: es el que retorna a su estado inicial después de la tensión.

3.49.2. Resorte espiral: resorte tipo mecanismo de relojería (véase la Figura 6).

3.50. Juguete para la dentición: es un juguete diseñado para uso oral, destinado princi­palmente para aliviar las molestias sintomáticas de la dentición.

3.51. Herramienta: destornillador, moneda u otro objeto que se puede usar para accionar un tornillo, pasador o dispositivo de fijación similar.

3.52. Juguete: cualquier producto o material diseñado o claramente destinado para uso en juegos de niños menores de 14 años de edad.

3.53. Bicicleta de juguete: vehículo de dos ruedas, con o sin estabilizadores, con una altura máxima del sillín de 435 mm y que se impulsa solamente por la energía muscular del niño que va sobre él, en especial por medio de pedales.

3.54. Baúl para juguetes: contenedor con tapa articulada que encierra un volumen mayor que 0,03 m3, específicamente diseñado para almacenar juguetes.

4. REQUISITOS

Nota. Las palabras en itálica se definen en el numeral 3.

4.1. USO NORMAL (véase el literal e) numeral 2)

Los juguetes se deben ensayar para simular el uso normal razonablemente previsible con el fin de asegurar que no se generen riesgos como resultado del desgaste y/o deterioro normal (véase el literal e) numeral 2 para guía).

Los juguetes rotulados como lavables se deben someter a lavado de acuerdo con lo especificado en el numeral 5.24 (juguetes lavables).

Después de ensayar el juguete, este debe seguir cumpliendo los requisitos pertinentes del numeral 4.

4.2. ABUSO RAZONABLEMENTE PREVISIBLE (véase el literal e) numeral 3)

Los juguetes se deben ensayar primero de acuerdo con los requisitos pertinentes de los numerales 5.1 y a 5.23 y los correspondientes métodos de ensayo. A menos que se indique otra cosa, los juguetes destinados para niños menores de 96 meses (8 años) se deben ensayar luego de acuerdo con lo indicado en el numeral 5.24 (ensayos de abuso razonablemente previsible), (véase el literal e) numeral 3).

Después de ensayar el juguete, este debe seguir cumpliendo los requisitos pertinentes del numeral 4.

4.3. MATERIAL

4.3.1. Calidad del material (véase el literal e) numeral 4)

Todos los materiales deben estar visiblemente limpios y libres de infestación. La evaluación visual de los materiales se debe hacer a simple vista y no con dispositivos de aumento.

4.3.2. Materiales expansibles (véase el literal e) numeral 5)

Los juguetes y sus componentes que encajen completamente en el cilindro para partes pequeñas de acuerdo con lo indicado en el numeral 5.2 (ensayo de partes pequeñas), no deben expandirse más del 50% en ninguna dimensión cuando se ensayan conforme a lo especificado en el numeral 5.21 (materiales expansibles).

4.4. PARTES PEQUEÑAS (véase literal e) numeral 6)

4.4.1. Para niños mayores a 36 meses

Los juguetes y sus componentes removibles, antes y después de los ensayos 5.24 de uso normal y abuso razonablemente previsible), no deben encajar completamente, cualquiera sea su orientación, en el cilindro para partes pequeñas cuando se ensayan de acuerdo con lo especificado en el numeral 5.24 (ensayo de partes pequeñas).

El requisito también se aplica a fragmentos de juguetes, incluidos, sin limitarse a ellos, los pedazos de rebabas, astillas de plásticos y pedazos de espuma o desbaste.

Los siguientes productos se exceptúan antes y después de someter al juguete a los ensayos conforme al numeral 5:

- Libros de papel y otros artículos hechos de papel y pedazos de papel.

- Materiales para escritura, como crayones, tiza, lápices y esferos.

- Arcilla para moldear y productos similares.

- Pinturas para aplicar con los dedos, acuarelas, juegos de pinturas y brochas para pintar.

- Globos.

- Telas textiles.

- Hilaza.

- Elásticos y cuerdas.

En el literal b) numeral 4.2 se da una guía sobre cuáles categorías de juguetes se pueden considerar destinados para niños menores de 36 meses de edad.

4.4.2. Para niños de 37 a 72 meses

Los juguetes, que contienen componentes removibles que encajan completamente en el cilindro para partes pequeñas cuando se ensayan conforme a lo especificado en el numeral 5.2 (ensayo de partes pequeñas), deben llevar una advertencia (véase literal c) numeral 2.3 para guía).

4.5. FORMA, TAMAÑO Y RESISTENCIA DE CIERTOS JUGUETES (véase literal e) numeral 7)

4.5.1. Juguetes compresibles, sonajeros y otros juguetes

Estos requisitos se aplican a los siguientes tipos de juguetes, excepto los de relleno blando (peluches) o partes de ellos, o partes de telas:

- Juguetes compresibles destinados para niños menores de 18 meses de edad.

- Sonajeros.

- Juguetes para la dentición.

- Patas de soporte de gimnasio para bebés y también los siguientes juguetes con masa inferior a 0,5 kg, destinados para niños demasiado pequeños para sentarse sin ayuda:

- Componentes removibles de juguetes destinados para colgarlos de una cuerda entre las barandillas de una cuna, corral o cochecito paseador.

- Componentes removibles de gimnasio para bebes.

- Patas de soporte de gimnasios para bebés. Los requisitos de los ítems a) y b) a continua­ción se aplican independientemente de la masa del juguete al cual están unidas las patas.

a) Los juguetes se deben diseñar de manera que ninguna de sus partes pueda entrar y penetrar completamente en la cavidad de la plantilla de ensayo A, cuando se ensayan conforme especifica el numeral 5.3.

b) Los juguetes que tengan extremos casi esféricos, hemisféricos o circulares acampanados se deben diseñar de manera que tales extremos no puedan entrar y penetrar completamente en la cavidad de la plantilla de ensayo complementaria B, cuando se ensayan conforme especifica el numeral 5.3.

4.5.2. Pelotas pequeñas

Una pelota pequeña es cualquier pelota que pase a través de la plantilla cuando se ensaya conforme a lo especificado en el numeral 5.4.

a) Los juguetes destinados para niños menores de 36 meses de edad no deben ser pelotas pequeñas ni contener pelotas pequeñas removibles.

b) Los juguetes destinados para niños mayores de 37 meses pero menores o de 96 meses, que sean pelotas pequeñas o contengan pelotas removibles deben llevar una advertencia (véase literal c) numeral 2.5a para guía).

4.5.3. Pompones (véase el literal e) numeral 8)

Los juguetes destinados para niños que tengan hasta 36 meses de edad que se desprenden cuando se ensayan de acuerdo a lo especificado en el numeral 5.24.6.3 (ensayos de tensión para pompones) no deben pasar por completo a través de la plantilla de ensayo cuando se ensayan conforme al numeral 5.5 (ensayo para pompones).

Ningún componente, pedazo o hebra individual que se separe de los pompones durante los ensayos de torsión o tracción se debe someter al ensayo indicado en el numeral 5.5 (ensayo para pompones).

4.5.4. Figuras para juegos preescolares (véase el literal e) numeral 9)

Excepto por las figuras blandas hechas de textiles, las figuras destinadas a niños menores de 36 meses de edad, para juegos preescolares que tengan:

a) Un extremo redondo, esférico o semiesférico con cuello cónico unido a una forma cilíndrica simple sin accesorios.

b) Una longitud global no mayor que 64 mm (véanse ejemplos en la Figura 7).

Se deben diseñar de manera que ninguna parte pueda entrar y atravesar la profundidad total de la cavidad de la plantilla de ensayo cuando se ensayan de acuerdo con lo indicado en el numeral 5.6 (ensayo de figuras para juegos).

Figura 7. Ejemplos de figuras para juegos

El requisito se aplica a figuras con elementos adicionados o moldeados, tales como sombreros o pelo, que conservan la forma redondeada del extremo.

4.5.5. Chupos de entretención

La longitud de los chupos de entretención fijados a juguetes destinados para niños menores de 36 meses de edad o que se venden juntos tales juguetes no debe ser mayor que 16 mm. Esta medida se toma desde el lado del chupo que va contra el protector hasta el extremo del chupo.

Nota. Los chupos de entretención reales fijados a juguetes destinados para niños menores de 36 meses de edad o que se venden junto con tales juguetes deben cumplir los reglamentos nacionales para chupos de entretención reales.

4.5.6. Globos (véase también numerales 4.10c y 4.25d y literal e) numeral 10)

Los globos de látex deben llevar una advertencia (véase el literal c) numeral 2.4 para guía).

4.5.7. Canicas

El empaque de las canicas y juguetes que contienen canicas removibles o canicas libres des­pués del ensayo de 5.24 debe llevar una advertencia (véase literal c) numeral 2.5b para guía).

4.6. BORDES (véase literal e) numeral 11)

4.6.1. Bordes afilados accesibles de metal o vidrio

a) Los juguetes destinados para niños menores de 96 meses de edad no deben tener bordes afilados peligrosos accesibles de vidrio o metal cuando se ensayan conforme a lo especificado en el numeral 5.8 (ensayo de bordes afilados).

Si un borde accesible falla en el ensayo de bordes afilados tal como se especifica en el numeral 5.8 se debe evaluar el borde para determinar si presenta un riesgo no razonable de lesión tomando en cuenta el uso previsible y el rango de edad previsto para el juguete;

b) Los bordes de metal o vidrio potencialmente afilados se deben considerar no accesibles si quedan adyacentes a una superficie de la muestra de ensayo y ningún espacio vacío entre el borde y la superficie adyacente excede los 0,5 mm (por ejemplo en las juntas traslapadas y bordes confinados Véase la figura 6);

c) Los bordes de piezas destinadas para servir como conductores eléctricos y los por­taobjetos de microscopios y cubiertas deslizantes se consideran bordes funcionales y no requieren advertencia.

4.6.2. Bordes afilados funcionales

a) Los juguetes destinados para niños menores de 36 meses de edad no deben tener bordes afilados funcionales, peligrosos, accesibles;

b) Los juguetes destinados para niños de 36 meses a 96 meses de edad que en razón de su función incluyan necesariamente un borde afilado peligroso y no incluyan bordes afilados no funcionales están exentos de los requisitos del numeral 4.6 (por ejemplo, las tijeras funcionales de juguete y los juegos de herramientas de juguete funcionales) siempre y cuando el empaque lleve una advertencia (véase literal c) numeral 2.12 para guía).

4.6.3. Bordes en juguetes metálicos

Los bordes metálicos accesibles, incluidos orificios y ranuras, en juguetes destinados para niños menores de 96 meses de edad deben estar libres de asperezas peligrosas y biselados, o deben estar confinados, enrollados o curvados (véase la Figura 1) o deben incorporar un dispositivo o acabado protector permanente.

Independientemente de la manera en que se terminen los bordes, se deben someter al ensayo de bordes afilados como se indica en el numeral 5.8.

4.6.4. Bordes en los juguetes moldeados

Los bordes accesibles, esquinas o áreas de separación de juguetes moldeados destinados para niños menores de 96 meses de edad deben estar libres de bordes afilados peligrosos producidos por asperezas y rebabas o deben estar protegidos de manera que los bordes peligrosos no sean accesibles.

4.6.5. Bordes en tornillos expuestos o varillas roscadas

Los extremos accesibles de tornillos o varillas roscadas deben estar libres de bordes afilados y asperezas, o sus extremos deben estar cubiertos por tapas protectoras de manera que no queden accesibles. Toda tapa protectora que se utilice debe someterse al ensayo de compresión indicado en el numeral 5.24.6 (ensayo de compresión), independientemente de si la tapa es accesible o no al contacto con superficies planas durante los ensayos apropiados indicados en el numeral 5.24 (ensayos de abuso razonablemente previsible). Las tapas pro­tectoras también se deben someter al ensayo especificado en el numeral 5.24.5 (ensayo de torsión) seguido por el ensayo del numeral 5.24.6.1 (ensayo de tensión - generalidades).

4.7. PUNTAS (véase literal e) numeral 12)

4.7.1. Puntas agudas accesibles

a) Los puntos accesibles de juguetes destinados para niños menores de 96 meses de edad no deben tener puntas agudas peligrosas accesibles cuando se ensayan conforme con lo especificado en el numeral 5.9 (ensayo de puntas agudas).

Si una punta accesible falla en el ensayo de puntas agudas indicado en el numeral 5.9, se debe evaluar para determinar si presenta un riesgo razonable de lesiones tomando en cuenta el uso previsible y el grado de edad para el cual está destinado el juguete.

Puntas de lápices e implementos similares de dibujo no son considerados como puntas afiladas.

b) Las puntas potencialmente agudas se deben considerar no accesibles si quedan al lado de una superficie de la muestra de ensayo y hay un espacio libre entre la punta y la superficie no mayor de 0,50 mm.

c) Las puntas de los juguetes para niños menores de 36 meses de edad cuya di­mensión de sección transversal más grande sea de 2 mm o menos y que no presenten necesariamente una punta aguda cuando se ensayan de acuerdo con lo indicado en el numeral 5.9 (ensayo de puntas agudas), se consideran puntas potencialmente peligro­sas. Por lo tanto, se deben evaluar para determinar si presentan un riesgo no razonable de lesiones tomando en cuenta el uso previsible y el grado de edad para el cual está destinado el juguete.

4.7.2. Puntas agudas funcionales

a) Los juguetes destinados para niños menores de 36 meses de edad no deben tener puntas agudas funcionales peligrosas accesibles;

b) Los juguetes destinados para niños de 37 meses (incluidos) a 96 meses de edad que por razones de su función presenten necesariamente el peligro de puntas agudas y no tengan puntas agudas no funcionales están exentos de los requisitos indicados en el numeral 4.7.1 (por ejemplo, una máquina de coser de juguete con aguja) siempre y cuando el empaque lleve una advertencia (véase literal c) numeral 2.12 para guía).

4.7.3. Juguetes de madera

Las superficies accesibles y los bordes de la madera empleada en juguetes deben estar libres de astillas.

4.8. PROYECCIONES (véase el literal e) numeral 13)

Si una proyección presenta un peligro potencial de punción en la piel, se debe proteger con los medios adecuados, como voltear el extremo de un alambre o fijarle una tapa o cubierta protectora de acabado liso que aumente efectivamente el área de la superficie de contacto potencial con la piel. La tapa o cubierta protectora no debe desprenderse cuando se ensaya de acuerdo con lo especificado en el numeral 5.24.6.4 (ensayo de tensión para componentes protectores).

Las piezas individuales y artículos totalmente ensamblados de los juguetes destinados para ser ensamblados y separados repetidas veces, que se ilustran en las gráficas, instruc­ciones y otros anuncios en los empaques se deben evaluar por separado.

Los requisitos para el juguete ensamblado no se aplican a los juguetes en los cuales el ensamblado es una parte importante del valor lúdico del juguete.

Como este requisito tiene relación con el peligro que origina la caída de un niño sobre el juguete, solo se deben evaluar las proyecciones verticales o casi verticales. El juguete se debe ensayar en la posición más peligrosa. Las esquinas de las estructuras no caben en esta categoría.

4.9. ALAMBRES Y VARILLAS METALICAS (véase el literal e) numeral 14)

Los alambres y varillas metálicos deben cumplir los siguientes requisitos:

a) Los alambres metálicos u otros materiales de metal que se usen para dar rigidez o para conservar la forma de los juguetes no se deben fracturar produciendo puntas agudas, bordes afilados o proyecciones peligrosas cuando se ensayan conforme con lo especificado en el numeral 5.2.4.8 (ensayo de flexión) si el componente se puede doblar en un arco de 60º mediante la fuerza aplicable;

b) Los extremos de las varillas de las sombrillas de juguete deben estar protegidos. Si la protección se retira cuando se ensaya de acuerdo con lo especificado en el numeral 5.24.6.4 (ensayo de tensión para componentes protectores) los extremos de las varillas deben estar libres de bordes afilados y puntas agudas cuando se ensayan como indica el numeral 5.8 (ensayo de bordes afilados) y el numeral 5.9 (ensayo de puntas agudas). Además, si los componentes protectores se retiran en el ensayo de tensión, las varillas de las sombrillas de juguete deben tener un diámetro mínimo de 2 mm y los extremos deben ser lisos, redon­deados y aproximadamente esféricos, sin asperezas.

4.10. PELICULA PLASTICA EN LOS EMPAQUES Y LOS JUGUETES (véase el literal e) numeral 15)

Los siguientes artículos están exentos de los requisitos indicados en este numeral:

- Bolsas que tengan un perímetro de abertura menor que 360 mm.

- Bolsas que tengan un perímetro de abertura de 360 mm o más, en las cuales la pro­fundidad y perímetro de apertura combinados sean menores que 584 mm.

- Películas contraibles, con un espesor nominal menor que 0,038 mm, las cuales forman una envoltura que normalmente se destruye al abrir el empaque.

Las películas o láminas plásticas flexibles que no tengan respaldo, con un área mayor que 100 mm x 100 mm y utilizadas en juguetes deben:

las bolsas hechas de películas de plástico flexibles y las láminas flexibles que se usan como materiales de empaque para autoempaques o que se usan con juguetes deben:

a) tener un espesor nominal de 0,038 mm o más, pero nunca menor que 0,032 mm cuando se ensayan conforme con lo especificado en el numeral 5.10 (determinación del espesor de las películas y láminas plásticas);

b) Tener perforaciones con orificios bien definidos (cuando el material se ha retirado) de 1% mínimo en cualquier área de 30 mm x 30 mm como máximo.

Para globos plásticos el requisito de espesor del literal a) se aplica a capas dobles de lámina plástica (es decir, el espesor se mide sin inflar o destruir el globo).

4.11. CABLES Y ELASTICOS (véase literal e) numeral 16)

4.11.1. Cables y elásticos en juguetes destinados para niños menores de 18 meses de edad

La longitud libre de los cables o elásticos que se pueda enredar se debe dar la vuelta para formar un nudo corredizo en conexión con alguna parte del juguete, deben tener menos de 220 mm10 de longitud cuando se miden bajo una tensión de 25 N ± 2 N.

Si los cables o elásticos o los cables o elásticos múltiples se pueden enredar y/o formar una lazada con nudo corredizo o fijo en conexión con cualquier parte del juguete, incluso en los nudos terminales u otros accesorios ubicados los extremos del cable o elástico, el perímetro de la lazada debe ser menor que 360 mm cuando se mide bajo una tensión de 25 N ± 2 N.

Los cables y elásticos presentes en los juguetes deben tener un espesor (dimensión más pequeña) de 1,5 mm o más cuando se mide de acuerdo con lo especificado en el numeral 5.11.1 (determinación del espesor del cable).

4.11.2 Cables autorretraíbles en juguetes destinados para niños menores de 18 meses de edad

Los cables accesibles que se usan en mecanismos activados por cables no se deben retraer más de 6,4 mm cuando se ensayan conforme indica el numeral 5.11.2 (cables au­torretraíbles).

4.11.3. Cables para juguetes de halar destinados para niños menores de 36 meses de edad

Los cables y elásticos para juguetes de halar destinados para niños de 36 meses de edad y menores, que tengan una longitud mayor que 220 mm cuando, se miden bajo una tensión de 25 N ± 2 N, no deben estar provistos de cuentas u otros accesorios que se puedan enredar para formar una lazada con nudo corredizo o fijo.

4.11.4. Cables en bolsas para juguetes

Las bolsas de juguete hechas de material impermeable con un perímetro de apertura mayor que 360 mm no deben tener cuerdas corredizas o cables como medio de cierre (véase el numeral 4.10).

4.11.5. Móviles para cuna

Los móviles para cuna destinados para ir asegurados a una cuna o corral deben estar acompañados de instrucciones que llamen la atención sobre el peligro que representa no retirar el móvil cuando el bebé empieza a levantarse sobre sus manos y rodillas. Las ins­trucciones también deben indicar cómo ensamblar correctamente el móvil (véase literal c) numerales 2.7 y 3.2 para guía).

En el Anexo D se dan directrices sobre el diseño de juguetes destinados para asegurarlos en cunas y corrales.

4.11.6. Gimnasios para cunas y juguetes similares

Los gimnasios para cunas, incluidos los ejercitadores y juguetes similares destinados para colgarlos atados atravesados en una cuna, corral o cochecito paseador deben estar acompañados de instrucciones que llamen la atención sobre el peligro de no retirar el gimnasio cuando el bebé empieza a levantarse sobre sus manos y rodillas. Las instruccio­nes también deben indicar el modo correcto de ensamblar el gimnasio (véase el literal c) numerales 2.10 y 3.3 para guía).

10 Valor no establecido aún.

En el Anexo D se dan directrices sobre el diseño de juguetes destinados para asegurarlos en cunas y corrales.

4.11.7. Cables, cuerdas y cables eléctricos para juguetes voladores

Los cables, cuerdas y cables eléctricos que se sostienen en la mano, cuya longitud sea superior a 1,8 m, unidos a cometas de juguete u otros juguetes voladores deben tener una resistencia eléctrica de más de 108 Ω/cm cuando se ensayan conforme indica el numeral 5.11.3 (resistividad eléctrica de los cables).

Las cometas de juguete y otros juguetes voladores deben llevar una advertencia (véase el literal c) numeral 2.16 para guía).

4.12. Mecanismos de plegado

4.12.1. Sillas de empujar para bebé, cochecitos paseadores y juguetes similares (véase el literal e) numeral 17)

Los requisitos indicados en este numeral no se aplican a juguetes que tengan una su­perficie potencial para sentarse cuyo ancho sea menor que 140 mm.

Las sillitas de empujar para bebé, cochecitos paseadores y caminadores y juguetes simi­lares con mecanismos plegables y deslizantes deben cumplir los siguientes requisitos:

a) Los juguetes que tengan manijas u otros miembros estructurales que se puedan doblar sobre el niño deben tener:

Tal cual al menos un dispositivo de seguro principal y al menos uno secundario, que deben actuar directamente sobre el mecanismo de plegado.

al menos uno de los mecanismos de seguro debe engranarse automáticamente cuando se endereza el juguete.

Cuando se ensaya conforme indica el numeral 5.22.2 (sillas de empujar para bebé y cochecitos paseadores de juguete), el juguete no debe colapsar y ninguno de sus dispositivos de seguro debe fallar o desengranarse.

Dos dispositivos de la misma construcción (por ejemplo anillos de seguridad) uno en el lado izquierdo y otro en el derecho se consideran como un dispositivo de seguro.

Si es posible enderezar parcialmente una silla o cochecito de juguete sin que uno de los dispositivos de seguro esté engranado, el ensayo especificado en el numeral 5.22.2 se debe llevar a cabo en esa orientación.

Nota. Enderezar parcialmente significa enderezar de tal manera que el usuario pueda creer erróneamente que el juguete está completamente derecho.

En la Figura 8 se ilustra un ejemplo de silla de empujar para bebé o cochecito paseador de juguete que se ajusta a lo especificado en el literal a).

1 Movimiento de la manija

2 Movimiento del chasis

Figura 8. Silla de empujar para bebé o cochecito paseador de juguete cubierto por el literal a) del numeral 4.12.1

b) las sillas y cochecitos de juguete que no presenten el peligro de que una manija u otro miembro estructural se doble sobre el niño: deben tener al menos:

Un dispositivo de seguro o un tope de seguridad, que puede ser de operación manual.

Cuando se ensaya conforme indica el numeral 5.22.2 el juguete no debe colapsar y el dispositivo de seguro o tope de seguridad no debe fallar o desengranarse.

Si es posible enderezar parcialmente una silla o cochecito de juguete sin que uno de los dispositivos de seguro esté engranado, el ensayo especificado en el numeral 5.22.2 se debe llevar a cabo en esa orientación (véase la nota).

En la Figura 9 se ilustra un ejemplo de silla o cochecito de juguete que se ajusta a lo especificado en el literal b).

1 Dirección del movimiento de chasis

Figura 9. Sillas de empujar de juguete cubiertas por el literal b) del numeral 4.12.1

4.12.2. Otros juguetes con mecanismos de plegado (véase literal e) numeral 18)

Los muebles de juguete y otros juguetes en los cuales un mecanismo de plegado, brazo o abrazadera está destinado para sostener a un niño o un peso comparable deben:

a) tener un tope de seguridad o dispositivo de traba para impedir un movimiento inesperado o repentino o el colapso del juguete. El juguete no debe colapsar cuando se ensaya conforme se especifica en el numeral 5.22.3 (otros juguetes con mecanismo de plegado) o

b) tener un espacio libre adecuado entre las partes móviles para proteger los dedos de las manos y pies contra aplastamiento o laceración en el evento de un movimiento repentino o colapso del juguete. Si es posible insertar una varilla de 5 mm de diámetro entre dos partes móviles, también debe ser posible insertar una de 12 mm de diámetro.

4.12.3. Espacio libre en la línea de articulación (véase literal e) numeral 19)

Los juguetes que tengan un espacio libre o vacío a lo largo de la línea de articulación entre una parte estacionaria y una parte móvil que pese más de 0,25 kg deben construirse de manera que, si el espacio libre accesible en la línea de articulación admite una varilla de 5 mm de diámetro, también admita una varilla de 12 mm de diámetro en todas las po­siciones de articulación.

4.13. ORIFICIOS, ESPACIOS LIBRES Y ACCESIBILIDAD DE LOS MECA­NISMOS

4.13.1. Orificios circulares en materiales rígidos (véase literal e) numeral 20)

Juguetes para niños hasta 60 meses de edad incluyendo los de 60, si un orificio circular accesible en un material rígido con un espesor menor que 1,58 mm puede admitir la inser­ción de una varilla de 6 mm de diámetro a una profundidad de 10 mm o más, también debe admitir una varilla de 10 mm de diámetro.

4.13.2. Espacios libres accesibles para segmentos móviles (véase el literal e) numeral 21)

Juguetes para niños hasta 96 meses de edad incluyendo los de 96, si los espacios libres accesibles para segmentos móviles admiten la inserción de una varilla de 5 mm de diámetro, también deben admitir una varilla de 12 mm de diámetro.

4.13.3. Cadenas o bandas en juguetes para montar (véase el literal e) numeral 22)

Las cadenas y bandas de transmisión de energía en juguetes para montar deben estar protegidas para hacerlas inaccesibles. No debe ser posible retirar la protección sin el uso de una herramienta.

4.13.4. Otros mecanismos de impulso (véase el literal e) numeral 23)

Los mecanismos de reloj, operados por pilas, por inercia u otros mecanismos de trans­misión de energía en juguetes deben estar encerrados de manera que no expongan bordes afilados accesibles o puntas agudas ni representen de ninguna otra manera un peligro de aplastamiento de los dedos u otras partes del cuerpo.

Figura 10. Cadenas motrices y protección de la cadena

4.13.5. Llaves para dar cuerda a los juguetes (véase literal e) numeral 24)

Este requisito se aplica a los juguetes, destinados para niños menores de 36 meses de edad, en los que se emplea una llave para darles cuerda, la cual rota mientras el mecanismo se desenvuelve. Este requisito se aplica a las llaves que consisten en una placa plana unida a un vástago y que sobresale de una superficie rígida del cuerpo del juguete.

Si el espacio libre entre las lengüetas de la llave y el cuerpo del juguete admite una varilla de 5 mm de diámetro, también debe admitir una varilla de 12 mm de diámetro en todas las posiciones de la llave. Para llaves cubiertas por este requisito, no debe haber aberturas en las lengüetas de la llave que puedan admitir una varilla de 5 mm de diámetro.

4.14. RESORTES (véase literal e) numeral 25)

Los resortes deben cumplir los siguientes requisitos:

a) Los resortes espirales no deben ser accesibles si el espacio vacío entre dos espirales consecutivos es mayor que 3 mm en cualquier posición de uso.

b) Los resortes helicoidales de extensión no deben ser accesibles si el espacio vacío entre dos vueltas consecutivas es mayor que 3 mm cuando el resorte se somete a una fuerza de tracción de 40 N.

Este requisito no se aplica a resortes que no regresen a su posición original después de liberarlos de la fuerza.

c) Los resortes helicoidales de compresión no deben ser accesibles si el espacio vacío entre dos vueltas consecutivas es mayor que 3 mm en reposo y el resorte, cuando se usa el juguete, se puede someter a una fuerza de compresión de 40 N o más.

Este requisito no se aplica a resortes que no regresen a su posición original después de someterlos a una fuerza de 40 N, ni a resortes devanados alrededor de un segundo componente del juguete (por ejemplo, una varilla de guía), de manera que no sea posible insertar la sonda A de accesibilidad (véase el numeral 5.7) entre espirales consecutivos por más de 5 mm.

4.15. REQUISITOS DE ESTABILIDAD Y SOBRECARGA

4.15.1. Estabilidad de los juguetes de montar y asientos de juguete

Los requisitos de 4.15.1 a 4.15.1.3 se aplican a juguetes de montar, juguetes tipo acción como caballitos de madera y juguetes estacionarios con asientos, como los muebles de ju­guete destinados para niños de hasta 60 meses (5 años) de edad. Los juguetes para montar de formas esféricas, cilíndricas u otras, que normalmente no tengan una base estable (bicicletas de juguete o juguetes similares) no están cubiertos por estos requisitos.

4.15.1.1. Estabilidad de los laterales, pies disponibles para estabilización (véase literal e) numeral 26). Los juguetes de montar o asientos de juguete, cuando la altura del asiento desde el suelo es de 27 mm o más y cuando los pies y/o piernas del niño no tienen restric­ción en su movimiento lateral, por lo cual están disponibles para estabilización, no deben ladearse cuando se ensayan conforme especifica el numeral 5.12.2 (ensayo de estabilidad, pies disponibles para estabilización).

4.15.1.2. Estabilidad de los laterales, pies no disponibles para estabilización (véase literal e) numeral 26). Los juguetes de montar o asientos de juguete, cuando los pies y/o piernas del niño están restringidos en su movimiento lateral (por ejemplo, por un espacio lateral encerrado en un automóvil de juguete), no deben ladearse cuando se ensayan conforme especifica el numeral 5.12.3 (ensayo de estabilidad, pies no disponibles para estabilización).

4.15.1.3. Estabilidad anterior y posterior (véase literal e) numeral 27). Los juguetes de montar y juguetes estacionarios con asientos donde el ciclista no puede usar sus piernas para estabilizarse no deben inclinarse hacia adelante o hacia atrás cuando se ensayan conforme se especifica en el numeral 5.12.3 (ensayo de estabilidad anterior y posterior).

4.15.2. Requisitos de sobrecarga para juguetes de montar y asientos de juguete (véase el literal e) numeral 28)

Los juguetes de montar, juguetes destinados para usarlos como sillas y juguetes des­tinados para sostener todo el peso de un niño o parte de él, no deben colapsar cuando se ensayan conforme se especifica en los numerales 5.12.5 (ensayo de sobrecarga para juguetes de montar y asientos de juguete) y 5.24.4 (ensayo dinámico de resistencia para juguetes de montar con ruedas).

4.15.3. Estabilidad de juguetes estacionarios de piso (véase el literal e) numeral 29)

Los juguetes estacionarios de piso con alturas superiores a 760 mm y peso mayor que 4,5 kg no deben ladearse cuando se ensayan conforme se especifica en el numeral 5.12.6 (ensayo de estabilidad de juguetes estacionarios de piso).