Cargando el Contenido del Documento
Por favor espere...

Resolución 324 de 2012 Secretaría Distrital de Movilidad

Fecha de Expedición:
27/11/2012
Fecha de Entrada en Vigencia:
27/11/2012
Medio de Publicación:
Registro Distrital 5017 de diciembre 3 de 2012
La Secretaría Jurídica Distrital aclara que la información aquí contenida tiene exclusivamente carácter informativo, su vigencia está sujeta al análisis y competencias que determine la Ley o los reglamentos. Los contenidos están en permanente actualización.


 
 

RESOLUCIÓN 324 DE 2012

(Noviembre 27)

"Por la cual se asignan los derechos de matrícula temporal de vehículos eléctricos de servicio público individual tipo taxi para la realización de la operación piloto autorizada en los Decretos Distritales 677 de 2011 y 407 de 2012".

LA SECRETARÍA DISTRITAL DE MOVILIDAD

En ejercicio de sus facultades legales y en especial de las conferidas por la Ley 489 de 1998, el Artículo 108 del Acuerdo 257 de 2006, y el Decreto Distrital 567 de 2006 Articulo 2 y 4; el Decreto Distritales 677 de 2011 modificado por el Decreto Distrital 407 de 2012; y,

CONSIDERANDO QUE:

1. Desde la expedición de la Ley 105 de 1993, el ingreso de automotores de transporte público individual puede realizarse por dos vías: por incremento y por reposición. El incremento es cuando el ingreso implica aumento en el número de vehículos de esa modalidad que opera; en la respectiva localidad y la reposición es cuando la vinculación se realiza para sustituir otro vehículo que se encuentre matriculado en el servicio público.

2. El inciso 2 del artículo 6 de la Ley 105 de 1993 establece que "Las autoridades competentes del orden Metropolitano, Distrital y Municipal, podrán incentivar la reposición de los vehículos, mediante el establecimiento de los niveles de servicio diferentes al corriente, que serán prestados con vehículos provenientes de la reposición. Así mismo podrán suspender transitoriamente el ingreso de vehículos nuevos al servicio público de transporte de pasajeros, de acuerdo con las necesidades de su localidad, supeditando la entrada de un vehículo nuevo al retiro del servicio público de uno que deba ser transformado o haya cumplido el máximo de su vida útil…"[1]

3. En atención a la facultad normativa de suspensión transitoria de ingreso de vehículos nuevos al servicio público, el Distrito Capital adoptó el Decreto 613 de 1993, y dispuso que el ingreso de automotores de transporte público individual sólo podía realizarse por reposición. Para ello, deben cumplirse dos condiciones: i) el interesado debe acreditar el retiro simultáneo del servicio en la ciudad de un vehículo clase taxi que haya sido registrado por lo menos cinco años antes; y ii) el vehículo nuevo que se registre debe estar dotado, de equipo y aditamentos que aseguren el mínimo posible de contaminación.

4. El Decreto 519 de 2003, prorrogó indefinidamente la suspensión del ingreso de vehículos por incremento para el servicio público colectivo e individual de pasajeros al Distrito Capital.

5. El Decreto Distrital 677 de 2011 "Por medio del cual se adoptan medidas para incentivar el uso del vehículo eléctrico en el Distrito Capital, se autoriza una operación piloto y se dictan otras disposiciones" estableció en su artículo 3, la operación de 50 vehículos automotores de transporte terrestre público individual de propulsión exclusivamente eléctrica, con una temporalidad de tres (3) años, la cual fue ampliada a cinco (5) años por el Decreto Distrital 677 de 2011,

6. Mediante Resolución No. 280 del 03 de Octubre de 2012 las Secretarias Distritales de Ambiente y de Movilidad definieron los criterios objetivos para la selección en sorteo público las empresas habilitadas en el modo de transporte terrestre automotor público individual en el Distrito Capital, que estén interesadas en participar en la operación piloto autorizada en los Decretos Distritales 677 de 2011 y 407 de 2012.

7. El 12 de Octubre de 2012 se surtió el proceso de Sorteo Público definido en la resolución No. 280 de 2012, que finalizó sin adjudicar matrícula alguna, por lo que se realizó de nuevo, previa expedición de la circular aclaratoria 000008 del 17 de Octubre de 2012, por la cual se aclararon los numerales 2 y 4 del aparte segundo del artículo 3

8. El 29 de Octubre de 2012 siendo las 14:30 horas se realizó el sorteo público (segunda ocasión) para la selección de las empresas habilitadas en el modo de transporte terrestre automotor público individual en el Distrito Capital, que estén interesadas en participar en la operación piloto de cincuenta vehículos automotores tipo taxi de propulsión exclusivamente eléctrica y de cero emisiones en ruta por un término de cinco (5) años

9. Dicha selección en sorteo público se desarrolló con arreglo a los principios del debido proceso, igualdad, imparcialidad, buena fe, moralidad, participación, responsabilidad, transparencia, publicidad, coordinación, eficacia, economía y celeridad.

Que en mérito de lo expuesto,

RESUELVE:

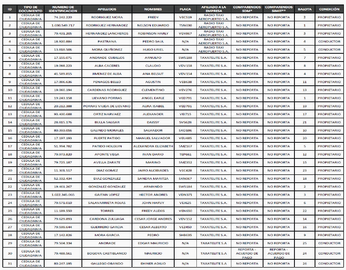
ARTÍCULO 1.- Asignar a los derechos de matrícula temporal por cinco (5) años de treinta y una (31) matrículas temporales de vehículos de servicio público individual tipo taxi, propulsados exclusivamente por energía eléctrica y de cero emisiones en ruta, a:

ARTÍCULO 2. - Las matrículas adjudicadas no podrán cederse o transferirse de ninguna forma y si no pudieren ser efectuadas por el beneficiario dentro de los seis (6) meses siguientes a la notificación de la presente resolución, se celebrará nueva ronda, a la que podrán acceder todos los aspirantes inscritos por la empresa a la que pertenece el beneficiario que no ejerció el derecho a la matrícula.

ARTÍCULO 3.- La adjudicación de las matrículas de que trata la presente Resolución no incluye el pago del valor de derechos a esta matrícula conforme a la normativa vigente referente al tema, el valor deberá ser cubierto por la empresa que será titular de cada vehículo de la operación piloto.

ARTÍCULO -4 Contra la presente resolución sólo procederá el recurso de reposición el cual deberá ser interpuesto y resuelto en los términos establecidos por el Código de Procedimiento administrativo y de lo contencioso Administrativo.

ARTÍCULO 5.- La presente Resolución rige a partir de la fecha de su expedición.

PUBLÍQUESE, NOTÍFIQUESE, COMUNÍQUESE Y CÚMPLASE.

Dada en Bogotá D.C., a los veintisiete (27) días del mes de noviembre de dos mil doce (2012).

ANA LUISA FLECHAS CAMACHO

Secretaria Distrital de Movilidad

 

NOTA DE PIE DE PÁGINA:

1. El Decreto 1553 de 1998 "por la cual se reglamenta la prestación del Servicio Público de Transporte en Vehículos Taxi" establece en su artículo 29 que el ingreso de un automotor de transporte público individual podrá ser por incremento o por reposición. "Será por incremento cuando la vinculación implique aumento en el número de vehículos de esa modalidad que operan en la respectiva localidad. Será por reposición cuando la vinculación se realice para sustituir otro vehículo que se encuentre matriculado en el servicio público". Sin embargo, el ingreso de equipos por reposición sólo podrá realizarse con equipos nuevos.

NOTA: Publicada en el Registro Distrital 5017 de diciembre 3 de 2012.