Cargando el Contenido del Documento
Por favor espere...

Resolución 180 de 2014 Comisión de Regulación de Energía y Gas - CREG

Fecha de Expedición:
23/12/2014
Fecha de Entrada en Vigencia:
30/01/2015
Medio de Publicación:
Diario Oficial No. 49410 del 30 de enero de 2015.
La Secretaría Jurídica Distrital aclara que la información aquí contenida tiene exclusivamente carácter informativo, su vigencia está sujeta al análisis y competencias que determine la Ley o los reglamentos. Los contenidos están en permanente actualización.


 
 

RESOLUCIÓN 180 DE 2014

(Diciembre 23)

Por la cual se establecen los criterios generales para determinar la remuneración de la actividad de comercialización de energía eléctrica a usuarios regulados en el Sistema Interconectado Nacional

LA COMISIÓN DE REGULACIÓN DE ENERGÍA Y GAS

En ejercicio de sus atribuciones legales, en especial las conferidas por las leyes 142 y 143 de 1994, y en desarrollo de los decretos 1524, 2253 de 1994 y 1260 de 2013 y

CONSIDERANDO QUE:

De conformidad con lo dispuesto en el artículo 73 de la Ley 142 de 1994, es función de la Comisión regular los monopolios en la prestación de los servicios públicos, cuando la competencia no sea, de hecho, posible y en los demás casos la de promover la competencia entre quienes presten servicios públicos, para que las operaciones de los monopolistas o de los competidores sean económicamente eficientes, no impliquen abuso de la posición dominante, y produzcan servicios de calidad.

El artículo 73.11 de la Ley 142 de 1994 atribuyó a las Comisiones de Regulación la facultad de establecer las fórmulas para la fijación de las tarifas de los servicios públicos, cuando ello corresponda según lo previsto en el artículo 88; y señalar cuándo hay suficiente competencia como para que la fijación de las tarifas sea libre.

El artículo 23 literal e) de la Ley 143 de 1994 asignó a la Comisión la función de aprobar las fórmulas tarifarias y las metodologías para el cálculo de las tarifas aplicables a los usuarios regulados.

Los artículos 87 de la Ley 142 de 1994 y 44 de la Ley 143 del mismo año establecen que el régimen tarifario estará orientado por los criterios de eficiencia económica, neutralidad, solidaridad, redistribución, suficiencia financiera, simplicidad y transparencia.

En virtud del principio de eficiencia económica, definido en el numeral 87.1 del artículo 87 de la Ley 142 de 1994, “(…) se deben tener en cuenta no solo los costos sino los aumentos de productividad esperados, y que éstos deben distribuirse entre la empresa y los usuarios, tal como ocurriría en un mercado competitivo.”

En virtud de este mismo principio de eficiencia económica establecido en el numeral 87.1 del artículo 87 de la Ley 142 de 1994, “(…) el régimen de tarifas procurará que éstas se aproximen a lo que serían los precios de un mercado competitivo (…)”, además “(…) que las fórmulas tarifarias no pueden trasladar a los usuarios los costos de una gestión ineficiente, ni permitir que las empresas se apropien de las utilidades provenientes de prácticas restrictivas de la competencia”.

En virtud del principio de suficiencia financiera definido en numeral 87.4 del artículo 87 de la Ley 142 de 1994, se debe garantizar a las empresas eficientes la recuperación de sus costos de inversión y sus gastos de administración, operación y mantenimiento, y permitir la remuneración del patrimonio de los accionistas en la misma forma en la que lo habría remunerado una empresa eficiente en un sector de riesgo comparable.

El numeral 87.7 del artículo 87 de la Ley 142 de 1994 dispone que “(…) si llegare a existir contradicción entre el criterio de eficiencia y el de suficiencia financiera, deberá tomarse en cuenta que, para una empresa eficiente, las tarifas económicamente eficientes se definirán tomando en cuenta la suficiencia financiera”.

De conformidad con el numeral 87.8 del artículo 87 de la Ley 142 de 1994 “(…) toda tarifa tendrá un carácter integral en el sentido que supondrá una calidad y grado de cobertura del servicio, cuyas características definirán las comisiones reguladoras (…)”.

Según lo dispuesto por el numeral 88.1 del artículo 88 de la Ley 142 de 1994, “(…) la comisión reguladora podrá establecer topes máximos y mínimos tarifarios, de obligatorio cumplimiento por parte de las empresas (…)”.

De conformidad con lo establecido en el numeral 90.2 del artículo 90 de la Ley 142 de 1994, podrá incluirse dentro de las fórmulas tarifarias un cargo fijo que refleje los costos económicos involucrados en garantizar la disponibilidad permanente del servicio para el usuario, independientemente del nivel de uso.

El artículo 91 de la Ley 142 de 1994 dispuso que para establecer las fórmulas tarifarias se calculará por separado, cuando sea posible, una fórmula para cada una de las diversas etapas del servicio.

El artículo 125 de la Ley 142 de 1994 establece los criterios para la actualización de las tarifas.

De conformidad con lo establecido en el artículo 126 de la Ley 142 de 1994, vencido el período de vigencia de las fórmulas tarifarias, éstas continuarán rigiendo mientras la Comisión no fije las nuevas.

Mediante Resolución CREG 068 de 2002, publicada en el Diario Oficial No. 44.984 del 1 de noviembre del mismo año, la Comisión de Regulación de Energía y Gas sometió a consideración de los agentes, usuarios y terceros interesados las bases sobre las cuales se definiría el costo regulado de comercialización de electricidad a aplicar a usuarios regulados del SIN para el siguiente período tarifario.

Según lo dispuesto en el artículo 3 de la Resolución CREG 068 de 2002, con dicho acto se dio inicio al trámite tendiente a establecer la fórmula tarifaria para determinar el costo regulado de comercialización.

En el año 2003 se expidió la Ley 812, Ley del Plan Nacional de Desarrollo del período 2002 – 2006, que en sus artículos 64 y 65 introdujo políticas de universalización del servicio.

En el año 2003 el Gobierno Nacional expidió los decretos 3734 y 3735, mediante los cuales se reglamentaron los artículos 64 y 65 de la Ley 812 de 2003.

En el año 2004 la Comisión inició un estudio para identificar cada uno de los componentes de costos que se deben considerar para determinar la remuneración de la actividad de comercialización. Dicho estudio se presentó a la industria en el año 2005 y sirvió como base para los análisis de costos fijo y variable.

En el año 2005 la Comisión contrató el estudio “Aspectos Fundamentales de la Introducción de Competencia en el Mercado Minorista Eléctrico”, desarrollado por NERA Economic Consulting, en el que se identificaron alternativas de comercialización bajo un esquema de competencia.

La Comisión contrató con la empresa Desarrolladora de Proyectos de Ingeniería, DEPI Ltda., en el año 2006, una asesoría para el seguimiento de los estándares de la calidad comercial del servicio de energía eléctrica, cuyo objetivo era la determinación de los indicadores y metas de calidad de comercialización del servicio de energía eléctrica.

Para el establecimiento del factor riesgo de cartera la Comisión contrató el estudio “Metodología para la Determinación del Riesgo de Cartera en la Actividad de Comercialización de Electricidad” con el consultor Rafael de Jesús Bautista y el documento final fue publicado mediante circular CREG 026 de 2006.

En el año 2007 se sancionó la Ley 1151, por la cual se expidió el Plan Nacional de Desarrollo 2006 – 2010. Esta Ley prorrogó la vigencia del artículo 64 de la Ley 812 de 2003.

El Gobierno Nacional expidió el Decreto 387 de 2007, por medio del cual se establecieron las políticas generales en relación con la actividad de comercialización del servicio de energía eléctrica.

El Decreto 4978 de 2007 reitera lo dispuesto en el Decreto 3735 de 2003 por medio del cual se reglamentan los artículos 63 y 64 de la Ley 812 de 2003, en relación con el programa de normalización de redes eléctricas y los esquemas diferenciales de prestación del servicio público domiciliario de energía eléctrica. 

El Decreto 4977 de 2007 modificó el Decreto 387 de 2007, particularmente en lo relativo al cobro de los costos fijos de comercialización a usuarios de estratos 1 y 2.

La Comisión sometió a consideración de agentes, usuarios y terceros interesados el Documento CREG 044 de 2007, “Esquema de Comercialización Minorista para el Sector Eléctrico”.

En el mes de diciembre de 2007, la CREG expidió la Resolución 119, mediante la cual se estableció la fórmula tarifaria para determinar el costo unitario de prestación del servicio de energía eléctrica a usuarios regulados.

En el año 2009 el Gobierno Nacional expidió el Decreto 3414, el cual condicionó la aplicación del cargo fijo por factura, dispuesto en el Decreto 387 de 2007, a que el Ministerio de Minas y Energía establezca que dispone de los recursos suficientes para sufragar los costos adicionales en materia de subsidios.

En el año 2011 se sancionó la Ley 1450, por la cual se expide el Plan Nacional de Desarrollo 2010 – 2014. El artículo 276 de esta ley prorrogó la vigencia del artículo 64 de la Ley 812 de 2003.

Con fundamento en lo dispuesto en la Ley 1450 de 2011 el Gobierno Nacional expidió el Decreto 111 de 2012, el cual desarrolló entre otros aspectos lo relativo a los esquemas diferenciales de prestación del servicio.

Para definir el factor de productividad de la actividad de comercialización de energía eléctrica a usuarios regulados en Colombia, la Comisión contrató un estudio con la Universidad Colegio Mayor Nuestra Señora del Rosario. El informe final de la consultoría se publicó mediante circular CREG 038 de 2011.

Con la expedición de la Resolución CREG 158 de 2011 se modificaron algunas disposiciones en materia de garantías y pagos anticipados de los agentes participantes en el Mercado de Energía Mayorista.

Algunos agentes, en los comentarios presentados a la Resolución CREG 143 de 2010, solicitaron la revisión del costo reconocido por la constitución de garantías ante el Mercado Mayorista de Energía, regulado a través de la Resolución CREG 036 de 2006, con ocasión de las modificaciones al reglamento de dichas garantías.

En el Documento CREG 123 de 2011 se señaló que las consecuencias de la modificación del ciclo de efectivo de la actividad de comercialización de energía eléctrica, derivada de la aplicación de las resoluciones CREG 156, 157, 158 y 159 de 2011, se analizarían en el marco de la metodología para la remuneración de la actividad de comercialización.

Mediante Resolución CREG 044 de 2012, la Comisión publicó para consulta la presente metodología, recibiendo comentarios y observaciones que se relacionan y resuelven en el Documento CREG 100 del 23 de diciembre de 2014.

En el Decreto 1937 de 2013 “Por el cual se modifica el Decreto 387 de 2007”, se derogó el literal g) del artículo 3 del Decreto 387 de 2007, que disponía: “Los usuarios regulados pertenecientes a un mismo mercado de comercialización sufragarán el servicio prestado por los comercializadores minoristas que actúen en dicho mercado, a través del cobro de: i) Un monto uniforme único que refleje el costo base de comercialización, y ii) Un margen de comercialización”.

Mediante las circulares CREG 017 de 2007, 048 de 2008, 008 de 2009, 053 de 2010, 049 de 2011, 018 de 2012, 024 de 2013 y 026 de 2014 la Comisión solicitó a los agentes información sobre los costos de comercialización, cuentas por cobrar y el reporte de usuarios desconectados. Dicha información reportada fue revisada por la CREG y corregida por las empresas.

La Comisión suscribió el Contrato Interadministrativo No 001 con la Universidad de Antioquia con el objeto de prestar apoyo y asesoría técnica  a la CREG en la definición de un modelo de frontera estocástica para la estimación de los gastos eficientes de la actividad de comercialización de energía eléctrica. Los resultados del apoyo y asesoría técnica hacen parte del Documento CREG 100 del 23 de diciembre de 2014.

Con fundamento en las observaciones recibidas a la propuesta contenida en la Resolución CREG 068 de 2002, y teniendo en cuenta las diversas acciones adelantadas por la Comisión desde el año 2002, así como las diferentes disposiciones de política pública adoptadas por el Ministerio de Minas y Energía, se define el proyecto que contiene la nueva metodología para remunerar la actividad de comercialización de energía eléctrica.

En el Documento CREG 100 del 23 de diciembre de 2014 se presentan los diferentes análisis realizados por la Comisión para la definición de la metodología propuesta.

La Comisión de Regulación de Energía y Gas, en su sesión 635 del 23 de diciembre  de 2014, acordó expedir la presente resolución.

RESUELVE:

Artículo 1. Objeto. La presente resolución tiene por objeto establecer los criterios generales para determinar la remuneración de la actividad de comercialización de energía eléctrica a usuarios regulados en el Sistema Interconectado Nacional, SIN.

Artículo 2.  Ámbito de aplicación. Esta resolución se aplica a todas las personas que, estando organizadas en alguna de las formas dispuestas por el Título I de la Ley 142 de 1994, desarrollan la actividad de comercialización de energía eléctrica a usuarios regulados en el SIN.

CAPÍTULO I

DEFINICIONES Y ASPECTOS GENERALES

Artículo 3. Definiciones. Para efectos de la presente resolución se tendrán en cuenta, además de las definiciones contenidas en las leyes 142 y 143 de 1994, y en resoluciones vigentes que tratan los aspectos relativos a la actividad de comercialización, las siguientes:

Áreas especiales: corresponden a las áreas definidas en el Decreto 0111 de 2012 del Ministerio de Minas y Energía o aquel que lo modifique o sustituya.

Comercialización: actividad consistente en la compra y venta de energía eléctrica en el mercado mayorista y su venta con destino a otras operaciones en dicho mercado o a los usuarios finales, conforme a lo señalado en el artículo 1 de la Resolución CREG 024 de 1994.

Costo base de comercialización: componente de la fórmula tarifaria que remunera los costos fijos de las actividades desarrolladas por los comercializadores de energía eléctrica que actúan en el mercado regulado y que se causan por usuario atendido en un mercado de comercialización.

Costo unitario de prestación del servicio: es el costo económico eficiente de prestación del servicio al usuario final regulado, que resulta de aplicar la fórmula tarifaria general establecida en la Resolución CREG 119 de 2007, o aquella que la modifique o sustituya, y que corresponde a la suma de los costos eficientes de cada una de las actividades de la prestación del servicio.

Margen de comercialización: margen a reconocer a comercializadores que atienden usuarios regulados, que refleja los costos variables de la actividad.

Mercado de comercialización: conjunto de usuarios regulados y no regulados conectados a un mismo sistema de transmisión regional y/o distribución local, servido por un mismo operador de red, y los conectados al sistema de transmisión nacional del área de influencia del respectivo operador de red.

Prestador de última instancia: agente seleccionado para realizar la actividad de comercialización de energía eléctrica cuando el prestador que ha sido escogido por un usuario no puede prestar el servicio por las causas definidas en la regulación.

Usuario: persona natural o jurídica que se beneficia con la prestación del servicio público domiciliario de energía eléctrica, bien como propietario del inmueble en donde éste se presta, o como receptor directo del servicio. A este último usuario se le denomina también consumidor.

Artículo 4. Régimen de libertad regulada. Las empresas que desarrollan la actividad de comercialización, al fijar sus tarifas a los usuarios finales regulados, quedan sometidas al régimen de libertad regulada previsto en los artículos 14.10 y 88.1 de la Ley 142 de 1994.

Toda empresa que preste el servicio público de comercialización determinará con la fórmula tarifaria general aprobada en la Resolución CREG 119 de 2007 o aquellas que la modifiquen, complementen o sustituyan, y con la metodología establecida en esta resolución, las tarifas que aplicará a los usuarios finales regulados

CAPÍTULO II

METODOLOGÍA PARA DETERMINAR LOS COSTOS DE COMERCIALIZACIÓN DE ENERGÍA ELÉCTRICA A USUARIOS REGULADOS

Artículo 5.  Metodología para el cálculo de los costos de comercialización. El costo base de comercialización y el margen de comercialización de que trata la fórmula tarifaria general establecida en la Resolución CREG 119 de 2007 o aquellas que la modifiquen, complementen o sustituyan, se determinarán conforme a lo señalado en esta resolución.

 Artículo 6. Costo base de comercialización, Cfj. El costo base de comercialización será calculado, para cada mercado de comercialización j, conforme a la siguiente ecuación:

 

 

Donde:

Cfj: Costo base de comercialización del mercado de comercialización j, expresado en pesos por factura de diciembre de 2013.

GCj: Gastos en la actividad de comercialización, para el año 2013, del comercializador integrado al OR que sirve el mercado de comercialización j, calculados de acuerdo  con el artículo 7 de esta resolución.

nj: Factor de eficiencia del mercado de comercialización j, calculado de acuerdo con lo establecido en el anexo 1 de esta resolución.

Factj: Cantidad de facturas expedidas, en el año 2013, por el comercializador integrado al OR que sirve al mercado de comercialización j, determinadas de acuerdo con el artículo 8 de esta resolución.

Parágrafo: Para los mercados de comercialización en donde el factor de eficiencia sea inferior al 94%, el costo base de comercialización se determinará conforme a las reglas del numeral 2 del anexo 1 de esta resolución.

Artículo 7. Determinación de los gastos en la actividad de comercialización en un mercado. Los gastos en la actividad de comercialización, para el año 2013, en el mercado de comercialización j, GCj, se calcularán de la siguiente forma:

a) Se toma el valor de la cuenta 444 Unidad de negocio de comercialización de energía eléctrica, del sistema de costeo por actividades ABC reportado al Sistema Único de Información, SUI, por el comercializador integrado al OR que sirve el mercado de comercialización j.

b) Se resta del valor del literal a) los siguientes conceptos:

i) El valor de la energía comercializada con destino al mercado regulado y no regulado reportado bajo las cuentas de bienes y servicios disponibles para la venta 444756, 444766, 444796, 444816 y 444836 del sistema de costeo por actividades ABC del SUI.

ii) Los valores asignados a la actividad de comercialización de usuarios regulados en las cuentas del Plan Único de Cuentas, PUC: 510206, 510207, 510208, 510209, 510210, 510211, 510212, 510214, 512007, 512008, 512017, 5302, 5304, 5306, 5309, 5313, 5344, 58, 752007, 752008, 7530, 754007, 7555 y 750562.

iii) Gasto en la gestión de pérdidas de energía asignados a la actividad de comercialización.

iv) Costo de las contribuciones realizadas a la Comisión de Regulación de Energía y Gas y a la Superintendencia de Servicios Públicos Domiciliarios, SSPD. 

v) Otros gastos que están incluidos en la información reportada al SUI para la Unidad de negocio de comercialización de energía eléctrica: construcción de acometidas e instalaciones internas, suspensiones y reconexiones del servicio, calibración de medidores, comercialización de bienes y servicios diferentes de energía y comercialización de energía a usuarios no regulados.

Artículo 8. Facturas expedidas por el comercializador integrado con el OR. Las facturas expedidas por el comercializador integrado al OR que sirve el mercado de comercialización j, Factj, serán determinadas a partir de la información reportada al Sistema Único de Información, SUI, en los formatos 2 y 3 de la Resolución SSPD 20102400008055 o aquella que la modifique, adicione o sustituya.

En la variable Factj no se incluirán las facturas asociadas a errores en la facturación.

Artículo 9. Integración de mercados de comercialización. El costo base de comercialización aplicable al mercado de comercialización j resultante de la integración de dos (2) o más mercados, corresponderá al promedio ponderado por el número de facturas de los costos base vigentes de cada uno de los mercados participantes en la integración.

El número de facturas corresponderá a las expedidas para los dos (2) mercados, en los doce (12) meses previos a la solicitud del nuevo costo base de comercialización.

Artículo 10.  Nuevos mercados o separación de los existentes. Para los nuevos mercados o para los resultantes de una separación el costo base de comercialización corresponderá al de aquel mercado de comercialización existente que se asemeje a dichos mercados considerando la extensión de las redes de distribución, el número de usuarios rurales y urbanos, los ciclos de facturación y la cantidad de facturas.

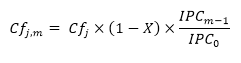
Artículo 11. Actualización del costo base de comercialización. El costo base de comercialización, que sea aprobado para cada mercado de comercialización j, se actualizará mensualmente utilizando la siguiente fórmula:

 

 

Donde:

Cfj,m: Costo base de comercialización para cada mercado de comercialización j, expresado en pesos por factura, correspondiente al mes  de prestación del servicio.

Cfj: Costo base de comercialización para cada mercado de comercialización j, expresado en pesos por factura, calculado conforme al artículo 6 de esta resolución.

IPCm-1: Índice de precios al consumidor reportado por el DANE para el mes m-1.

IPC0: Índice de precios al consumidor reportado por el DANE para diciembre de 2013.

X: Factor de productividad acumulado para la actividad de comercialización de energía eléctrica. Durante el primer año calendario de vigencia de la metodología esta variable tendrá un valor igual a cero, el cual se incrementará en 0,00725 cada año calendario.

Cumplido el quinto año calendario de vigencia de la presente resolución, los comercializadores continuarán aplicando el factor de productividad del año 5, hasta tanto la Comisión establezca una nueva metodología.

Artículo 12. Costo variable de comercialización,            El costo variable de comercialización se determinará con base en la siguiente expresión:

 

 

Donde:

:  Costo variable de la actividad de comercialización para el comercializador i, del mercado de comercialización j, en el mes m.

Gi,j,m-1: Costo de compra de energía para los usuarios regulados del comercializador i, en el mercado de comercialización j, en el mes m-1, determinado conforme se establece en la Resolución CREG 119 de 2007 o aquella que la modifique, complemente o sustituya. Esta variable se expresa en pesos por kilovatio hora ($/kWh).

Tm-1: Costo por el uso del sistema de transmisión nacional para el mes m-1, determinado conforme se establece en la Resolución CREG 119 de 2007 o aquella que la modifique, complemente o sustituya. Esta variable se expresa en pesos por kilovatio hora ($/kWh).

D1,j,m-1: Costo por el uso de los sistemas de distribución en el nivel de tensión 1, en el mercado de comercialización j, para el mes m-1, determinado conforme se establece en la Resolución CREG 119 de 2007 o aquella que la modifique, complemente o sustituya. Esta variable se expresa en pesos por kilovatio hora ($/kWh).

PR1,j,m-1: Costo de compra, transporte y reducción de pérdidas de energía acumuladas hasta el nivel de tensión 1, en el mercado de comercialización j, para el mes m-1, determinado conforme se establece en la Resolución CREG 119 de 2007 o aquella que la modifique, complemente o sustituya. Esta variable se expresa en pesos por kilovatio hora ($/kWh).

Ri,m-1: Costo de restricciones y de servicios asociados con generación, asignados al comercializador i, en el mes m-1, determinado conforme se establece en la Resolución CREG 119 de 2007 o aquella que la modifique, complemente o sustituya. Esta variable se expresa en pesos por kilovatio hora ($/kWh).

mo: Margen operacional definido por la CREG de acuerdo con el artículo 13 de esta resolución.

RCi,j,m: Riesgo de cartera del comercializador i, en el mercado de comercialización j, para el mes m, calculado de conformidad con lo establecido en el artículo 14 de esta resolución.

CFEi,j,m: Factor que compensa por los costos financieros asociados al ciclo de efectivo de la actividad de comercialización, del comercializador i, en el mercado de comercialización j, para el mes m. Este factor deberá ser calculado de conformidad con lo establecido en el artículo 18 de esta resolución

Artículo 13.  Margen operacional, mo. El margen operacional de la actividad de comercialización de energía eléctrica a usuarios regulados, mo, será como máximo igual a 2,73%.

Artículo 14.  Riesgo de cartera, RCi,j,m. El riesgo de cartera que se reconocerá a los comercializadores de energía eléctrica por atender usuarios regulados, se establecerá de acuerdo con la siguiente fórmula:

 

 

Donde:

RCi,j,m: Riesgo de cartera del comercializador i, en el mercado de comercialización j, para el mes m.

RCTj:  Prima por el riesgo de cartera no gestionable de los usuarios tradicionales del mercado de comercialización j.

VUTri,j,m-1: Ventas totales a usuarios regulados del comercializador i, en el mercado de comercialización j, para el mes m-1, descontando los valores de las variables VAEi,j,m-1, VSNEi,j,m-1 y VNUi,j,m-1. Esta variable se expresa en kilovatios hora (kWh).

RCAEj,t: Prima de riesgo de cartera a reconocer al comercializador integrado al operador de red, por la atención de usuarios en áreas especiales, que al 31 de diciembre del año 2013, estaban siendo atendidos por dicho comercializador, en el mercado de comercialización j, para el año t.

VAEi,j,m-1: Ventas totales a los usuarios ubicados en áreas especiales que al 31 de diciembre de 2013 estaban siendo atendidos por el comercializador i, en el mercado de comercialización j, para el mes m-1. Esta variable se expresa en kilovatios hora (kWh).

RCSNEi,j,t: Prima de riesgo de cartera a reconocer al comercializador i, en el mercado de comercialización j, para el año t, por atender usuarios ubicados en barrios subnormales que al 31 de diciembre del año 2013 estaban siendo atendidos por un comercializador diferente al integrado al operador de red.

VSNEi,j,m-1: Ventas realizadas por el comercializador i, en el mercado de comercialización j, a usuarios ubicados en barrios subnormales  que al 31 de diciembre del año 2013 estaban siendo atendidos por un comercializador diferente al integrado al operador de red, para el mes m-1. Esta variable se expresa en kilovatios hora (kWh).

RCNU: Prima de riesgo de cartera a reconocer al comercializador por atender nuevos usuarios regulados incorporados al SIN mediante planes de expansión de cobertura, de conformidad con la política pública definida por el Ministerio de Minas y Energía.

VNUi,j,m-1: Ventas a los nuevos usuarios regulados incorporados al SIN, atendidos por el comercializador i, en el mercado de comercialización j, en el mes m-1. Esta variable se expresa en kilovatios hora (kWh).

VRCi,j,m-1: Ventas totales a usuarios regulados realizadas por el comercializador i, en el mercado de comercialización j, en el mes m-1, expresadas en kilovatios hora (kWh).

La suma de las variables VUTri,j,m-1, VAEi,j,m-1, VSNEi,j,m-1 y VNUi,j,m-1 debe ser igual a la variable VRCi,j,m-1.

1. Variable RCTj

El valor de la variable RCTj será calculado para cada mercado de comercialización j, conforme a la siguiente ecuación:

 

 

Donde:

RCTj: Prima por el riesgo de cartera no gestionable de los usuarios tradicionales del mercado de comercialización j.

Nj,e: Número de usuarios a los que se les cortó y no se les restableció el servicio en el estrato o sector de consumo e, del mercado de comercialización j, para el periodo 2009 a 2013.

CFMe,j,t-1: Consumo facturado medio para el estrato o sector de consumo e, en el mercado de comercialización j. Calculado como las ventas totales en kWh divididas entre el total de facturas, para el año t‑1.

Sube,j,t-1: Relación entre los subsidios y el total facturado en el estrato o sector de consumo e, del mercado de comercialización j, para el año t‑1.

VRj,t-1: Ventas totales a usuarios regulados en el mercado de comercialización j, para el año t‑1, expresadas en kWh.

t - 1: Corresponde al año 2013.

En la solicitud de que trata el artículo 21 de esta resolución, los agentes comercializadores deberán suministrar la información requerida para realizar el cálculo de la variable RCTj de acuerdo con lo establecido en este numeral.

En el caso de los mercados de comercialización para los que el comercializador integrado con el operador de red no reporte la información, la variable RCTj  tendrá un valor máximo igual al 90% del menor riesgo calculado, diferente de cero, para los demás mercados de comercialización.

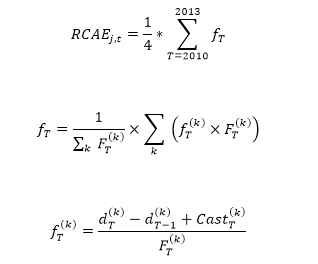
2. Variable RCAEj,t

La variable RCAEj,t será calculada para cada mercado de comercialización j, conforme a las siguientes ecuaciones:

 

 

 

 

 

 

 


Donde

RCAEj,t: Prima de riesgo de cartera a reconocer al comercializador integrado al operador de red, por la atención de usuarios en áreas especiales, que al 31 de diciembre del año 2013, estaban siendo atendidos por dicho comercializador, en el mercado de comercialización j, para el año t.

: Fracción de la facturación anual total reportada en cartera con más de un año al final de año contable T, para la categoría k.

:  Valor  de las cuentas por cobrar, en mora por un año o más, al final del año contable T, para la categoría k. En pesos corrientes.

: Castigo de cartera proveniente de cuentas morosas en el año contable T, para la categoría k. En pesos corrientes.

 : Facturación total en el año contable T, para la categoría k. En pesos corrientes. En caso de que esta variable sea cero (0) no será considerada dicha categoría.

T:  Corresponden los años 2010 a 2013.

K: Categoría de tipo de usuario. Esta variable corresponderá a usuarios ubicados en: barrios subnormales, SN, áreas rurales de menor desarrollo, MD, y zonas de difícil gestión, DF.

A partir del segundo año calendario de entrada en vigencia de la presente metodología, en los mercados de comercialización para los cuales se apruebe un valor de la variable RCAEj,t mayor o igual a 10,0% se deberá aplicar la siguiente ecuación:



Donde:

RCAEj,t: Prima de riesgo de cartera por atender usuarios de áreas especiales correspondiente al mercado de comercialización j, para el año t.

t: Año calendario de vigencia de la metodología de comercialización.

Cumplido el quinto año calendario de vigencia de la presente resolución, los comercializadores continuarán aplicando el porcentaje de RCAEj,t del año 5, hasta tanto la Comisión establezca una nueva metodología.

En la solicitud de que trata el artículo 21 de esta resolución, los agentes comercializadores deberán suministrar la información requerida para realizar el cálculo de la variable RCAEj,t de acuerdo con lo establecido en este numeral.

3. Variable RCSNEi,j,t

El valor de la variable RCSNEi,j,t se calculará de acuerdo con la siguiente fórmula:

 

 

Donde:

RCSNEi,j,t: Prima de riesgo de cartera a reconocer al comercializador , en el mercado de comercialización , para el año , por atender usuarios ubicados en barrios subnormales que al 31 de diciembre del año 2013 estaban siendo atendidos por un comercializador diferente al integrado al operador de red.

Recaudo totali,j,t: Porcentaje de recaudo total estimado para el comercializador , en el mercado de comercialización , para el año .

: Año calendario de vigencia de la metodología de comercialización.

El porcentaje de recaudo total, del comercializador i, en el mercado de comercialización j, se estimará para el año t de acuerdo con la siguiente fórmula:

 

 

Donde:

Recaudo totali,j,t: Porcentaje de recaudo total estimado para el comercializador i, en el mercado de comercialización j, para el año t.

IFSSRIi,j: Porcentaje de recaudo a través de subsidios del Fondo de Solidaridad para Subsidios y Redistribución de Ingresos, FSSRI, respecto de la facturación total, estimado como un promedio de los valores reales de los años t - 1 y t - 2, para el comercializador i, en el mercado de comercialización j.

IFOESi,j: Porcentaje de recaudo a través de recursos del Fondo de Energía Social, FOES, o cualquier otro fondo que se cree con el objetivo de cubrir el pago del consumo de energía eléctrica de usuarios en barrios subnormales, respecto de la facturación total, estimado como un promedio de los valores reales de los años t - 1 y t - 2, para el comercializador i, en el mercado de comercialización j.

4. Variable RCNU

La variable RCNU tendrá un valor máximo de 15,22 %.

Artículo 15. Riesgo de cartera para nuevos usuarios en áreas especiales. Para los usuarios ubicados en áreas especiales que empezaron a ser atendidos a partir del año 2014, el riesgo de cartera que se reconocerá a los comercializadores de energía eléctrica será el correspondiente al de la atención de los usuarios tradicionales RCTj.

Artículo 16. Riesgo de cartera para usuarios en barrios subnormales atendidos por un comercializador entrante. A partir del 1 de enero de 2017, el riesgo de cartera que se reconocerá a un comercializador diferente al integrado al OR, por atender usuarios regulados en barrios subnormales, que al 31 de diciembre del año 2013 estaban siendo atendidos por un comercializador diferente al integrado al OR, será el reconocido por la atención de los usuarios tradicionales RCTj.

Artículo 17. Prestador de última instancia para usuarios de barrios subnormales. Los usuarios de barrios subnormales que no cuenten con prestador del servicio serán atendidos por el prestador de última instancia, cuyas condiciones y características serán definidas en regulación posterior.

Artículo 18. Costos financieros. El factor CFEi,j,m será calculado de acuerdo con la siguiente fórmula:

 

Donde la variable CFSi,j,m corresponderá a la remuneración por el tiempo requerido para el giro de los subsidios cuando el comercializador es deficitario. Esta variable será estimada mensualmente por el comercializador de conformidad con la siguiente fórmula:

 

 

Donde:

CFSi,j,m: Costo financiero asociado al giro de los subsidios al comercializador deficitario i, en el mercado de comercialización j, aplicable en el mes m. Este factor será igual a cero cuando en la última validación trimestral realizada por el Ministerio de Minas y Energía, el comercializador i, en el mercado de comercialización j, sea superavitario.

T: Últimos cuatro trimestres para los cuales el Ministerio de Minas y Energía ha realizado el giro de los subsidios al comercializador i, en el mercado de comercialización j.

N: Promedio del número de meses transcurridos desde la finalización de los trimestres T hasta el giro de los subsidios de esos trimestres para el comercializador deficitario i, en el mercado de comercialización j.

En el caso de que un comercializador sea superavitario y se vuelva deficitario el valor de N deberá ser igual a 1,5.

r1 Costo de oportunidad mes vencido, calculado como el promedio semanal de las tasas de interés preferencial o corporativo, de los créditos comerciales, vigentes a partir del segundo mes del último trimestre de T y hasta el mes anterior al mes de giro de subsidios por parte del Ministerio de Minas y Energía.

La fuente de información será la publicada por el Banco de la República de acuerdo con el formato 088 de la Superintendencia Financiera de Colombia.

Sub1i,j,T: Valor promedio del déficit de subsidios causados y no pagados una vez finalizado cada trimestre, de acuerdo con las validaciones realizadas por el Ministerio de Minas y Energía, de conformidad con el artículo 5 del Decreto 847 de 2001 o aquel que lo modifique, complemente o sustituya, para el comercializador i, en el mercado de comercialización j, para los trimestres T.

M: Promedio del número de meses de pago anticipado respecto de la finalización de los trimestres T para el comercializador deficitario i, en el mercado de comercialización j.

r2: Costo de oportunidad mes vencido, calculado como el promedio semanal de las tasas de los Certificados de Ahorro a Término, vigentes a partir del segundo mes del último trimestre de T y hasta el mes anterior al mes de giro de subsidios por parte del Ministerio de Minas y Energía.

La fuente de información será la publicada por el Banco de la República de acuerdo con el formato 088 de la Superintendencia Financiera de Colombia.

Sub2i,j,T: Valor promedio del déficit de subsidios pagados antes de finalizar cada trimestre, de acuerdo con las validaciones realizadas por el Ministerio de Minas y Energía, de conformidad con el artículo 5 del Decreto 847 de 2001 o aquel que lo modifique o sustituya, para el comercializador i, en el mercado de comercialización j, para los trimestres T.

Facturacióni,j,T: Corresponde a la facturación por concepto de ventas de energía realizadas por el comercializador i, en el mercado de comercialización j, para los trimestres T. Esta facturación debe coincidir con lo reportado al Sistema Unificado de Información, SUI, para usuarios regulados en los formatos 2 y 3 de la Resolución SSPD 20102400008055 o aquella que la modifique, complemente o sustituya.

Artículo 19. Costo de garantías financieras en el MEM, CGi,m-1. El costo a reconocer por las garantías financieras constituidas ante el Mercado Mayorista en cumplimiento de la Resolución CREG 019 de 2006, o aquella que la modifique, complemente o sustituya, será el declarado por el comercializador i a la SSPD, para el mes m - 1.

La declaración de estos costos a la SSPD deberá realizarse a más tardar el último día hábil del mes m - 1, y deberá estar acompañada por una copia de las garantías constituidas por el comercializador para realizar la cobertura de las transacciones en el mes m – 1. Adicionalmente, dicha información deberá ser publicada en la página web de cada comercializador, en la misma fecha de reporte a la superintendencia.

Artículo 20. Costo de garantías financieras para cubrir el pago de los cargos por uso del STR y/o del SDL, CGCUi,m-1. El costo a reconocer por las garantías financieras constituidas para cubrir el pago de los cargos por uso del STR y/o del SDL en cumplimiento de la Resolución CREG 159 de 2011, o aquella que la modifique, complemente o sustituya, de usuarios regulados, será el declarado por el comercializador  a la SSPD, para el mes m - 1.

La declaración de estos costos a la SSPD deberá realizarse a más tardar el último día hábil del mes m - 1, y deberá estar acompañada por una copia de las garantías constituidas por el comercializador para realizar la cobertura de los cargos por uso del STR y/o del SDL, de usuarios regulados, para el mes m - 1. Adicionalmente, dicha información deberá ser publicada en la página web de cada comercializador, en la misma fecha de reporte a la SSPD.

Artículo 21. Reconocimiento del costo base de comercialización, el riesgo de cartera para usuarios tradicionales y usuarios en áreas especiales. Dentro de los veinte (20) días hábiles siguientes a la publicación de la circular de la que trata el artículo 22 de esta resolución, los comercializadores integrados con los OR, deberán solicitar mediante escrito dirigido a la Dirección Ejecutiva de la CREG, con los correspondientes soportes documentales, el reconocimiento del costo base de comercialización de energía eléctrica, el riesgo de cartera de usuarios tradicionales y el riesgo de cartera de usuarios de áreas especiales, con fundamento en la presente metodología.

En todo caso, los soportes que entreguen los agentes, serán validados con los documentos reportados previamente en la Comisión por éstos y que sirvieron de base para la construcción de la presente metodología.

Después de recibida la solicitud con el cumplimiento de todos los requerimientos de información solicitados por la Comisión, se aplicará la metodología respectiva, se definirá el costo base de comercialización de energía eléctrica y los riesgos de cartera para usuarios tradicionales y para usuarios en áreas especiales y se someterá a consideración de la CREG la resolución definitiva, una vez practicadas las pruebas de considerarse pertinentes.

Si algún agente no presenta la solicitud con los correspondientes soportes documentales, transcurridos los veinte (20) días hábiles mencionados, la CREG procederá a la aprobación de oficio con la información que aparezca en el Sistema Único de Información-SUI- de que trata el artículo 14 de la Ley 689 de 2001 y la información disponible en la Comisión.

Artículo 22. Información requerida para la determinación de la remuneración de la actividad de comercialización. La Comisión publicará vía circular de la Dirección Ejecutiva, los formatos y el contenido mínimo del documento que soporte la solicitud de aprobación del costo base de comercialización, del riesgo de cartera de usuarios tradicionales y del riesgo de cartera de usuarios de áreas especiales.

Artículo 23. Costo base de comercialización y riesgo de cartera para usuarios tradicionales atendidos por comercializadores diferentes a los integrados con el OR. Los comercializadores diferentes a los integrados con el operador de red aplicaran en cada mercado de comercialización en el que atiendan usuarios regulados el respectivo costo base de comercialización y el riesgo de cartera de usuarios tradicionales aprobado para el comercializador integrado con el OR en estos mercados.

Artículo 24. Publicidad. Mensualmente, cada comercializador hará pública en forma simple y comprensible, por medio de un periódico de amplia circulación en los municipios donde preste el servicio o en uno de circulación nacional, antes de su aplicación, los costos de comercialización (Cfm,j y Cvm,j), que aplicará a los usuarios.

Los nuevos valores deberán ser comunicados por el comercializador a la Superintendencia de Servicios Públicos Domiciliarios, SSPD, y a la Comisión de Regulación de Energía y Gas, CREG.

El primer día hábil del mes de abril de cada año, cada comercializador deberá enviar a la CREG y a la SSPD un informe en donde se muestre el cálculo que aplicó para la determinación del cargo que remunera la actividad de comercialización de energía eléctrica a usuarios regulados.

La CREG en circular aparte, publicará el contenido del informe, los formatos y el procedimiento de reporte.

Artículo 25. Vigencia del costo base de comercialización, el riesgo de cartera para usuarios tradicionales y usuarios en áreas especiales. Los costos base de comercialización y los riesgos de cartera que apruebe la Comisión estarán vigentes desde la fecha en que quede en firme la resolución correspondiente y hasta cuando se cumplan cinco años desde la entrada en vigencia de la presente resolución, sin perjuicio de las actualizaciones a que haya lugar. Vencido el plazo, éstos continuarán rigiendo hasta que la Comisión apruebe los nuevos.

Artículo 26. Derogatorias. La presente resolución deroga aquellas disposiciones que le sean contrarias y en especial las siguientes:

Numeral 2.6 del anexo 1 y anexo 2 de la Resolución CREG 031 de 1997.

Resolución CREG 007 de 1999.

Resolución CREG 036 de 2006.

Resolución CREG 101 de 2006.

Artículo 27. Vigencia. Esta resolución rige a partir de la fecha de su publicación en el Diario Oficial, y deroga todas las disposiciones que le sean contrarias en especial las establecidas en el artículo 26 de esta resolución.

PUBLÍQUESE Y CÚMPLASE.

Dada en Bogotá, D.C. a los 23 días del mes de diciembre del año 2014.

TOMÁS GONZÁLEZ ESTRADA

 

JORGE PINTO NOLLA

Ministro de Minas y Energía

 

Director Ejecutivo

Presidente

 

 

NOTA: Ver Anexo 1 Calculo de factores de eficiencia en los mercados de comercialización