Cargando el Contenido del Documento
Por favor espere...

Acuerdo 724 de 2018 Concejo de Bogotá, D.C.

Fecha de Expedición:
06/12/2018
Fecha de Entrada en Vigencia:
07/12/2018
Medio de Publicación:
Registro Distrital No. 6449 del 07 de diciembre de 2018.
La Secretaría Jurídica Distrital aclara que la información aquí contenida tiene exclusivamente carácter informativo, su vigencia está sujeta al análisis y competencias que determine la Ley o los reglamentos. Los contenidos están en permanente actualización.


 
 

RESOLUCIÓN No

ACUERDO 724 DE 2018

 

(Diciembre 06)


Por el cual se establece el cobro de una contribución de valorización por beneficio local para la construcción de un plan de obras, y se dictan otras disposiciones


EL CONCEJO DE BOGOTÁ, D.C.

 

En ejercicio de las facultades constitucionales y legales que le confieren los artículos 317 y 338 de la Constitución Política, el numeral 3 del artículo 12 y el artículo 157 del Decreto Ley 1421 de 1993, el artículo 4 del Acuerdo Distrital 7 de 1987 y el Acuerdo Distrital 19 de 1972.


Ver Proyecto de Acuerdo 453 de 2018 Concejo de Bogotá, D.C. Ver Resolución 222 de 2019 - IDU. Ver Decreto Distrital 462 de 2019. Ver Resolución 3049 de 2021 IDU


ACUERDA:

 

TÍTULO I

 

AUTORIZACIÓN DEL COBRO DE UNA CONTRIBUCIÓN DE VALORIZACIÓN POR BENEFICIO LOCAL PARA LA CONSTRUCCIÓN DE UN PLAN DE OBRAS

 

CAPÍTULO I

 

OBJETO, DETERMINACIÓN DE LA CONTRIBUCIÓN, MONTO DISTRIBUIBLE Y SUJETO PASIVO

 

ARTÍCULO 1.- OBJETO Y DETERMINACIÓN DE LA CONTRIBUCIÓN. Autorízase el cobro de una Contribución de Valorización por Beneficio Local, para la adquisición predial y la construcción del plan de obras que se encuentra detallado a continuación:

 

1. Eje Oriental El Cedro: infraestructura vial y de espacio público y otras obras de infraestructura. Está compuesto por las siguientes obras:

 

*Valor en pesos constantes 2018. El valor total se aproxima al entero más cercano.

 

2. Eje Córdoba: Infraestructura vial y de espacio público referente a la Avenida la Sirena y otras obras. Está compuesto por las siguientes obras:

 

*Valor en pesos constantes 2018. El valor total se aproxima al entero más cercano.

 

 Eje Zona Industrial: Infraestructura vial, compuesto por las siguientes obras:

 

*Valor en pesos constantes 2018. El valor total se aproxima al entero más cercano.

 

Parágrafo primero.- Las obras descritas en los tres ejes, serán financiadas integralmente con el presente cobro de valorización. 

 

Parágrafo segundo.- El Instituto de Desarrollo Urbano garantizará que todas y cada una de las obras a su cargo contenidas en el presente Acuerdo darán pleno cumplimiento a la normatividad vigente en lo referente a sus estudios de ingeniería, gestión predial y construcción, incluidas las relacionadas con: (i) accesibilidad al medio físico de personas en condición de discapacidad y (ii) manejo silvicultural urbano en especial a los permisos y autorizaciones referentes a este manejo en espacio público, así como sobre compensación por tala de arbolado urbano. Igual obligación estará a cargo de la Secretaría de Cultura en relación con la obra del Centro Cultural y Deportivo – Centro Felicidad – CEFE.

 

ARTÍCULO 2.- MONTO DISTRIBUIBLE. El monto distribuible de la Contribución de Valorización por Beneficio Local de que trata el artículo 1º del presente Acuerdo se fija en NOVECIENTOS SEIS MIL QUINIENTOS SETENTA Y NUEVE MILLONES DE PESOS M/CTE ($906.579.000.000), que corresponde al costo de la adquisición predial y la construcción de la infraestructura vial y de espacio público asociada al plan de obras del presente Acuerdo que incluye un porcentaje equivalente al 8%, destinado a sufragar el costo de la administración del recaudo. Este monto distribuible se desagrega por cada uno de los tres ejes de obras incluyendo en cada monto el 8% al que se hizo referencia, así:

 

1. Eje Oriental El Cedro: su costo total es de TRESCIENTOS NOVENTA Y SEIS MIL OCHOCIENTOS DIECINUEVE MILLONES DE PESOS M/CTE ($396.819.000.000) a pesos constantes de 2018.

 

2. Eje Córdoba: su costo total es de DOSCIENTOS OCHENTA MIL DOSCIENTOS SESENTA MILLONES DE PESOS M/CTE ($280.260.000.000) a pesos constantes de 2018.

 

3. Eje Zona Industrial: su costo total es de DOSCIENTOS VEINTINUEVE MIL QUINIENTOS MILLONES DE PESOS M/CTE ($229.500.000.000) a pesos constantes de 2018.

 

Parágrafo.- El monto distribuible aquí establecido se actualizará con base en la variación del Índice de Costos de Construcción Pesada –ICCP- que certifique el Departamento Administrativo Nacional de Estadística – DANE o la entidad que haga sus veces, con el porcentaje acumulado desde el día de entrada en vigencia del presente Acuerdo, hasta el último día del mes inmediatamente anterior a la asignación de la Contribución de Valorización de conformidad con el artículo 7 del presente Acuerdo.

 

ARTÍCULO 3.- SUJETO PASIVO. Son sujetos pasivos de la contribución de valorización, los propietarios y poseedores de bienes inmuebles que con ocasión de la ejecución de la obra, plan o conjunto de obras estén ubicados en la zona o área de influencia al momento de la asignación del tributo.

 

También lo serán:

 

1. Los tenedores de inmuebles públicos a título de concesión.

 

2. Los concesionarios o beneficiarios mediante cualquier tipo de autorización, de la operación de los bienes de uso público que integren la infraestructura aeroportuaria que se haya entregado por el Estado a particulares y los propietarios de este tipo de infraestructura aeroportuaria que hubiere sido privatizada.

 

3. El fideicomisario, cuando la propiedad esté en fideicomiso.

 

4. Quien ostente la nuda propiedad del inmueble, sin perjuicio de la responsabilidad solidaria señalada en el parágrafo de este artículo.

 

Parágrafo.- Los propietarios y poseedores de bienes inmuebles responderán solidariamente por el pago de la contribución, al igual que los fideicomitentes y/o beneficiarios del respectivo patrimonio, y los propietarios y/o nudos propietarios.

 

CAPÍTULO II

 

OBRAS OBJETO DEL PRESENTE ACUERDO

 

ARTÍCULO 4.- CONSTRUCCIÓN DE LAS OBRAS. Las obras que se financiarán con cargo a la Contribución de Valorización, establecidas en el artículo primero, tendrán como plazo máximo para iniciar la etapa de construcción el siguiente término:

 

1. Tres (3) años contados a partir de la sanción del presente Acuerdo para las obras de infraestructura vial y aquellas que requieran adquisición predial.

 

2. Dos (2) años contados a partir de la sanción del presente Acuerdo para las demás obras definidas en el presente Acuerdo.

 

Parágrafo primero.- El Instituto de Desarrollo Urbano estará a cargo de la asignación, cobro y recaudo de la Contribución de Valorización, a fin de que los recursos recaudados por este concepto estén disponibles para la ejecución de los procesos de adquisición predial y construcción de las demás obras detalladas en el artículo primero del presente Acuerdo, previo descuento a su favor del 8% correspondiente a los costos de administración del recaudo.

 

Parágrafo segundo.- En cumplimiento de sus competencias y funciones legales, las entidades distritales correspondientes se encargarán del mantenimiento de las obras construidas con la Contribución de Valorización que por este Acuerdo se aprueban, de acuerdo con los modelos de priorización utilizados por las entidades contratantes en los esquemas de conservación vigentes.

 

CAPÍTULO III

 

ZONAS O ÁREAS DE INFLUENCIA, MÉTODO DE DISTRIBUCIÓN DEL BENEFICIO

 

ARTÍCULO 5.- ZONAS O ÁREAS DE INFLUENCIA. Las zonas o áreas de influencia de la Contribución de Valorización, que se fijan para cada uno de los tres ejes de obras objeto del presente Acuerdo, son la extensión superficiaria hasta cuyos límites se extiende el beneficio que genera la construcción de las obras que integran cada uno de ellos, tal como se delimitan en el Anexo No. 1 (Cartografía) de este Acuerdo, en desarrollo del método de distribución del beneficio previsto en el artículo siguiente.

 

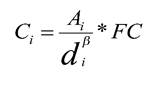
ARTÍCULO 6.- MÉTODO DE DISTRIBUCIÓN DEL BENEFICIO. Se adopta como método de distribución de la Contribución de Valorización, que se establece en el presente Acuerdo, el de avalúo ponderado por la distancia, para lo cual el Instituto de Desarrollo Urbano, liquidará el gravamen en proporción al avalúo catastral de los bienes inmuebles que se benefician con las obras, multiplicado por un factor asociado a la distancia y/o accesibilidad del predio a esta.

 

La Contribución se liquidará de acuerdo con la siguiente fórmula:

 

 

Donde:

 

       :           Contribución individualizada para cada predio i

        :           Avalúo catastral de cada predio i

        :           Distancia más cercana de cada predio i a la obra que lo beneficia

 

    :           Monto distribuible o costo de las obras a financiar por Valorización

 

     :           Factor de Conversión, cociente obtenido entre la división del monto distribuible y la sumatoria de los avalúos divididos por la distancia de cada uno de los predios i

 

β          :           Parámetro que muestra la relación entre distancia y avalúo a partir de los efectos en el valor del suelo producto de la cercanía a bienes públicos, que se construirán con la contribución de valorización cuyo recaudo se ordena en este Acuerdo

 

CAPÍTULO IV

 

ASIGNACIÓN Y COBRO

 

ARTÍCULO 7.- ASIGNACIÓN DEL MONTO DISTRIBUIBLE. La asignación del monto distribuible establecido en el artículo 2 del presente Acuerdo, para el financiamiento de las obras que componen cada uno de los tres ejes de obras allí descritas y detalladas en el artículo primero, se realizará, para cada uno de los tres ejes de obras, como máximo en el último día hábil del mes de diciembre del 2018, por NOVECIENTOS SEIS MIL QUINIENTOS SETENTA Y NUEVE MILLONES DE PESOS M/CTE ($906.579.000.000),  incluido el costo de administración del recaudo proporcional, equivalente al 8%, previa actualización de dicho monto de acuerdo con lo señalado en el parágrafo del artículo 2 del presente Acuerdo.

 

Parágrafo primero.- La asignación y su consecuente cobro, supedita el inicio de las obras detalladas en el artículo primero, de conformidad con el cronograma, Anexo 2 del presente Acuerdo. Dicho cronograma podrá ser ajustado por parte del Instituto de Desarrollo Urbano, de acuerdo con el ciclo del proyecto de infraestructura sin que en ningún caso se pueda superar el plazo de inicio de la etapa de construcción establecido en el artículo 4 del presente Acuerdo.

 

Parágrafo segundo.- La Dirección General del Instituto de Desarrollo Urbano, mediante acto administrativo, fijará las políticas de recaudo y priorización de cartera.

 

Parágrafo tercero.- Los atributos prediales para la liquidación y la asignación del monto distribuible serán aquellos contenidos en las bases más actualizadas que suministre la Unidad Administrativa Especial de Catastro Distrital – UAECD al IDU. El Instituto deberá solicitar a la UAECD las referidas bases en un término no inferior a dos (2) meses previos a la fecha prevista para la respectiva asignación.

 

ARTÍCULO 8.- VALIDACIÓN Y VERIFICACIÓN DE LAS CARACTERÍSTICAS PREDIALES DE LOS INMUEBLES EXCLUIDOS Y EXENTOS DE LA DISTRIBUCIÓN DEL COBRO DE VALORIZACIÓN. Previo a las operaciones de liquidación, distribución y asignación de la Contribución de Valorización que aquí se autoriza, el IDU realizará un proceso de identificación de las condiciones señaladas en los artículos 11, 12 y 13 del presente Acuerdo, y que determinan las unidades prediales susceptibles de exclusión y exención, a fin de establecer su viabilidad.

 

Parágrafo primero.- Por predio exento deberá entenderse aquel inmueble que hace parte de una de las zonas de influencia establecidas en el presente Acuerdo, que por estar in curso en alguna de las causales previstas en el artículo 11 ibídem, si bien debe ser tenido en cuenta al momento de determinar el monto distribuible, no puede ser objeto de asignación y en consecuencia no puede ser sujeto pasivo de la obligación, debiendo asumir la Administración Distrital el pago de dicha asignación individual.

 

Parágrafo segundo.- Por predio excluido deberá entenderse aquel inmueble que se encuentra dentro de una de las zonas de influencia establecidas en el presente Acuerdo, pero que por estar in curso en algunas de las causales previstas en el artículo 13 del presente Acuerdo, no serán tenidos en cuenta al momento de individualizar el monto distribuible objeto de asignación, ni están obligados a pagar la contribución por valorización aquí establecida.

 

ARTÍCULO 9.- INCORPORACIÓN DE BIENES INMUEBLES AL INVENTARIO PREDIAL. Solo podrán incorporarse bienes inmuebles al inventario predial de la respectiva zona o área de influencia, en un término que no podrá superar dieciocho (18) meses contados a partir de la asignación de la contribución de valorización ordenada en el presente Acuerdo.

 

ARTÍCULO 10.- MONTOS MÁXIMOS DE ASIGNACIÓN. El monto máximo de la Contribución que el IDU asigne a cada predio Residencial no podrá ser superior al valor del Impuesto Predial Unificado del respectivo inmueble; y para el NO residencial no podrá ser superior al 2.5 del Impuesto Predial Unificado, estos valores de referencia serán los de la vigencia en la cual se efectúe la asignación. Lo anterior, de acuerdo con la liquidación oficial del impuesto suministrada por la Secretaría Distrital de Hacienda al IDU.

 

ARTÍCULO 11.- EXENCIONES. Se tendrán en cuenta para el presente cobro de valorización las siguientes exenciones:

 

1. La establecida en el Acuerdo Distrital 124 de 2004, expedido por el Concejo Distrital.

 

2. La definida en el parágrafo del artículo 105 del Acuerdo Distrital 645 de 2016, expedido por el Concejo Distrital.

 

3. Los predios que se encuentren dentro del ámbito de delimitación del Plan de Ordenamiento Zonal del Norte – “Ciudad Lagos de Torca”, previsto en el Decreto Distrital 088 de 2017 y sus modificaciones. Esta exención aplica para la Contribución por Valorización autorizada en el presente Acuerdo.

 

4. En cumplimiento del artículo 160 del Decreto Ley 1421 de 1993, Las exenciones y tratamientos preferenciales contemplados en las leyes a favor de la Nación respecto de los tributos distritales continúan vigentes, en relación con las unidades prediales donde funcionen universidades públicas, colegios, museos, hospitales pertenecientes a los organismos y entidades Nacionales.

 

ARTÍCULO 12.- EXENCIONES A BIENES DE INTERÉS CULTURAL. Los predios declarados como monumentos nacionales o inmuebles de interés cultural del ámbito nacional o distrital, cuya titularidad no radique en una entidad de derecho público, serán objeto de descuentos en los mismos porcentajes de exención que para el impuesto predial unificado se encuentran contenidos en el artículo 2º del Acuerdo Distrital 426 de 2009 y sus modificatorios, previo cumplimiento de los requisitos señalados en el artículo 3º del citado Acuerdo.

 

Parágrafo.- La exención aquí establecida no incluye los predios urbanizables no urbanizados, ni los urbanizados no edificados, dentro de ninguna de las categorías ni usos del predio.

 

ARTÍCULO 13.- UNIDADES PREDIALES EXCLUIDAS. No se tendrán en cuenta para la distribución de la Contribución de Valorización, las siguientes unidades prediales:

 

1. Los predios edificados destinados al funcionamiento de las Juntas de Acción Comunal – JAC que se encuentren debidamente reportados como tales ante el Instituto Distrital de la Participación y Acción Comunal – IDPAC. Para la asignación de la contribución de valorización no podrá reportarse más de un predio como sede de una JAC a menos que existan dos o más sectores diferentes por barrio, información que debe ser certificada por el IDPAC.

 

2. Los predios declarados como monumentos nacionales, siempre que su titularidad radique en una entidad de derecho público y que al momento de la respectiva asignación no estén concesionados a un particular. La exclusión aquí establecida no incluye los predios urbanizables no urbanizados, ni los urbanizados no edificados, dentro de ninguna de las categorías ni usos del predio.

 

3. Los predios de propiedad del Distrito Capital de los sectores central, descentralizado, localidades y fondos de desarrollo local, los entes de control del orden distrital, y las empresas industriales y comerciales del Distrito.

 

4. Las áreas destinadas a tumbas y bóvedas de los parques cementerios.

 

5. Los predios de propiedad de la Defensa Civil Colombiana y los Cuerpos de Bomberos, cuando estén destinados al ejercicio de las funciones propias de estas Entidades.

 

6. Los bienes de uso público a que se refiere el artículo 674 del Código Civil.

 

7. Las zonas de cesión obligatoria gratuita generadas en la construcción de urbanizaciones, barrios o desarrollos urbanísticos, siempre que al momento de la asignación del gravamen se encuentren abiertos los folios de matrícula inmobiliaria correspondientes a dichas zonas, producto de la demarcación previa por localización y linderos en la escritura pública de constitución de la urbanización, o que se haya suscrito el acta de recibo o toma de posesión por parte del Departamento Administrativo de la Defensoría del Espacio Público – DADEP o la entidad que haga sus veces, incluidas en el respectivo plano urbanístico.

 

8. Los predios de propiedad del jefe de la Misión Diplomática o del Estado acreditante que sean parte de la Convención de Viena de 1961 y las establecidas en otros tratados internacionales ratificados por Colombia, siempre que se encuentren vigentes en la fecha de expedición del acto administrativo de asignación de la Contribución.

 

9. Las áreas dedicadas al culto y a la vivienda de las comunidades religiosas en las unidades prediales de propiedad de las iglesias reconocidas por el Estado Colombiano. Las áreas restantes serán objeto del gravamen.

 

10. Los predios ubicados en zonas de alto riesgo no mitigable, de conformidad con el listado que para el efecto suministre el Instituto Distrital de Riesgos y Cambio Climático – IDIGER, en un término no mayor a dos (2) meses contados a partir de la entrada en vigencia del presente Acuerdo.

 

11. Los predios con uso estrictamente residencial que tengan asignado los estratos 1 y 2.

 

12. Los predios con uso estrictamente residencial que tengan asignados estrato 3 y cuyo avalúo catastral sea igual o inferior a los quinientos millones de pesos ($500.000.000) al momento de la asignación, por razones de capacidad de pago. En todos aquellos eventos en los que una misma persona sea propietaria de más de un predio en la ciudad de Bogotá, y alguno de estos cumpla la condición anterior, o que sumados superen los quinientos millones de pesos m/cte. ($500.000.000) del valor catastral de estos, dejará de aplicarse esta causal de exclusión.

 

13. Los predios que total o parcialmente vayan a ser adquiridos por entidades distritales para la ejecución de obras públicas y proyectos urbanísticos de interés público, cuya oferta de compra haya sido expedida y en firme con anterioridad a la asignación de la Contribución. Si la declaratoria de motivos de utilidad pública o interés social que da inicio a dichos procesos de adquisición predial, solo los afecta parcialmente, la exclusión se aplicará al área del predio objeto de esa medida.

 

14. Los parqueaderos y depósitos que sean anexos a unidades inmobiliarias residenciales que tengan folio de matrícula inmobiliaria independiente.

 

15. Los inmuebles o predios restituidos o formalizados para las víctimas de desplazamiento interno forzado por la violencia y que estén inscritos en el Registro Único de Víctimas, de acuerdo con lo previsto en el artículo 121 de la Ley 1448 de 2011.

 

ARTÍCULO 14.- REGISTRO DEL GRAVAMEN. El IDU solicitará a la Oficina de Registro de Instrumentos Públicos respectiva, la inscripción del gravamen en el correspondiente folio de matrícula inmobiliaria, de acuerdo con lo definido en la Resolución de Políticas de recaudo que dicte la Dirección General del IDU.

 

ARTÍCULO 15.- PAGO DE LA OBLIGACIÓN. La Contribución de Valorización aquí autorizada podrá ser pagada de contado, en cuotas o mediante la transferencia al Distrito de suelos necesarios y requeridos por el IDU, para la construcción de las obras de infraestructura pública.

 

ARTÍCULO  16.- BALANCE. Dentro del año siguiente a la terminación de las obras detalladas en el presente Acuerdo, el IDU realizará un balance en el cual se consigne la ejecución de los recursos que se recaudaron con destino a su financiación, mediante la Contribución de Valorización que aquí se autoriza.

 

ARTÍCULO 17.- DIRECCIÓN PARA NOTIFICACIONES. Los actos administrativos de asignación de la contribución de valorización, las comunicaciones relacionadas con su facturación, los actos administrativos proferidos dentro del trámite de discusión de la asignación en sede administrativa, así como aquellos que se profieran dentro del proceso de cobro coactivo, cuando a ello haya lugar, deberán notificarse y/o remitirse a la dirección del predio. Lo anterior sin perjuicio de la utilización de los demás mecanismos de comunicación y/o notificación que para el efecto utilice el IDU.

 

Parágrafo. - Para lo dispuesto en el presente artículo, no produce efecto jurídico alguno la dirección informada que corresponda a garajes y depósitos de propiedad horizontal y/o apartados aéreos

.

 

ARTÍCULO 18.- ÁMBITO NORMATIVO. El procedimiento administrativo de asignación, cobro y recaudo de la contribución de valorización, se realizará de conformidad con lo establecido en el Decreto Distrital 807 de 1993 y las normas que lo adicionen, modifiquen o aclaren. Contra el acto administrativo de asignación procede el recurso de reconsideración previsto en dicha norma sin perjuicio de la solicitud de revocatoria directa que procederá en los términos de la referida normativa.

 

ARTÍCULO 19.- PLAN DE VEEDURÍAS CIUDADANAS.  Crease un Plan de Veedurías Ciudadanas, con el fin de comunicar y propiciar la participación ciudadana de los diferentes actores que hacen parte de las zonas de influencia que tengan que contribuir con la valorización por beneficio local que se autoriza mediante el presente Acuerdo.

 

Parágrafo Primero.- La Secretaría Distrital de Gobierno en coordinación con el Instituto de Desarrollo Urbano (IDU), la Veeduría Distrital y la Personería Distrital, adelantarán un plan de veedurías ciudadanas, y elaborarán un programa de participación y comunicación, que procure la vinculación eficaz de los propietarios y poseedores de los inmuebles que hacen parte de las zonas de influencia.  Este programa deberá presentarse al Concejo de Bogotá a más tardar dos (2) meses después de la sanción del presente Acuerdo.

 

Parágrafo Segundo.- Además de las Veedurías Ciudadanas, el Instituto de Desarrollo Urbano, promoverá la constitución de veedurías especializadas, con el fin de hacer seguimiento al desarrollo de los proyectos, verificando que estos cumplan con los estándares de calidad de las obras, los estudios y diseños programados en el marco de los objetivos propuestos en el Plan de Desarrollo, que le permitan a los ciudadanos contar con infraestructura  que garantice el mejoramiento de la movilidad, el buen uso del suelo,  y lograr el goce y disfrute efectivo del espacio público, debiéndose promover y convocar a los siguientes sectores para su conformación.

 

1. Sector de la academia

 

2. Sector Social

 

3. Sector Ambiental

 

4. Sector Cultural

 

5. Sector Deportivo

 

6. Sector de Gremios Económicos y demás actores que hacen parte del objeto del Acuerdo

 

ARTÍCULO 20.- INFORMACIÓN AL CONCEJO DISTRITAL. El Instituto de Desarrollo Urbano presentará al Concejo Distrital en el mes de febrero de cada año, un informe detallado relacionado con el cobro de valorización por beneficio local que aquí se autoriza y el proceso de ejecución de las obras que se financian, que contenga: recaudo de la Contribución de Valorización, avances de estudios, diseños, compra de predios, su acompañamiento social y ejecución de las obras, con su interventoría e inversión del dinero recaudado de manera detallada que incluya administración, imprevistos y utilidades, así como desarrollo del Plan de Veedurías e informes del Comité Distrital de Valorización y Vigilancia.

 

 ARTÍCULO 21.- PUBLICIDAD Y CONTROL SOCIAL. El Instituto de Desarrollo Urbano publicará y actualizará en su página web, con una periodicidad mínima mensual, toda la información detallada relacionada con la construcción del plan de obras aprobado mediante este acuerdo, desde su entrada en vigencia y hasta la entrega de las obras y sus interventorías, con el fin de garantizar a los ciudadanos el ejercicio constitucional de control social sobre la gestión del Instituto de Desarrollo Urbano y de la inversión del dinero recaudado en el cumplimiento del presente acuerdo.

 

TÍTULO II

 

PRÓRROGA DEL PLAZO PARA INICIO DE EJECUCIÓN DE OBRAS

 

ARTÍCULO 22.- PRÓRROGA DEL PLAZO PARA INICIO DE EJECUCIÓN DE OBRAS. Se autoriza ampliar el plazo para iniciar la etapa de construcción de las siguientes obras así:

 

1. Obras incluidas en los Acuerdos Distritales 180 de 2005, 523 del 2013 y 645 de 2016 que se identifican de la siguiente manera:

 

Código

Tipo de obra

Obra

108

Vía

Avenida El Rincón desde Avenida Boyacá hasta la Carrera 91

109

Intersección

Intersección Avenida El Rincón por Avenida Boyacá

169

Vía

Avenida San José (AC 170) desde Avenida Cota (AK 91) hasta Avenida Ciudad de Cali (AK 106)

 

2. Obra incluida en el Acuerdo Distrital 398 de 2009:

 

Código

Tipo de obra

Obra

175

Intersección

Avenida Ciudad de Cali (AK 86) por Avenida Ferrocarril de Occidente (AC 22)

 

Se establece como plazo máximo para iniciar la etapa de construcción, el de un (1) año contado a partir de la sanción del presente Acuerdo. Para la obra con código 169 se establece como plazo máximo para iniciar la etapa de construcción, el de tres (3) años contados a partir de la sanción del presente Acuerdo.

 

TÍTULO III

 

DISPOSICIONES COMUNES Y VARIAS

 

ARTÍCULO 23.- MODIFICACIONES TÉCNICAS A LAS OBRAS OBJETO DEL PRESENTE ACUERDO. Las modificaciones técnicas que sean necesarias efectuar, relacionadas con las obras contenidas en los títulos I y II precedentes, con posterioridad a la expedición de este acto administrativo, se podrán implementar mediante acto administrativo expedido por el Instituto de Desarrollo Urbano, siempre que dichos ajustes refieran a aspectos relacionados con especificaciones técnicas que se deban adoptar a partir de lo que señalen los estudios de ingeniería y ajustes en su trazado o geometría y ello no implique:

 

a.- La modificación de las zonas o áreas de influencia descritas en los anexos del presente Acuerdo y del Acuerdo Distrital 523 de 2013.

 

b.- El aumento del monto distribuible adoptado mediante este Acuerdo.

 

En el caso que las modificaciones que implique alguno o algunos de los aspectos señalados en los literales anteriores, deberán ser presentadas al Concejo Distrital para su aprobación.

 

Parágrafo.- Cualquier modificación o ajuste técnico a las obras aquí aprobadas tendrá como soporte un documento técnico de justificación – DTS producido por el IDU, o bien por la Secretaría Distrital de Cultura en relación con la obra del Centro Cultural y Deportivo – Centro Felicidad – CEFE en el que se indique con claridad las razones técnicas, financieras, jurídicas o de política pública que lleven a realizar dicha modificación.

 

ARTÍCULO 24.- NUEVO ESTATUTO DE VALORIZACIÓN PARA EL DISTRITO CAPITAL. La Administración Distrital radicará en el Concejo de Bogotá antes de terminar el presente período constitucional, Proyecto de Acuerdo por medio del cual se adopte un nuevo régimen de valorización para el Distrito Capital.

 

ARTÍCULO 25.- VIGENCIA. El presente Acuerdo rige a partir de la fecha de su publicación, deroga el Acuerdo Distrital 451 de 2010, y las demás disposiciones que le sean contrarias.

 

PUBLÍQUESE Y CÚMPLASE.

 

DANIEL ANDRÉS PALACIOS MARTÍNEZ BAQUERO

 

Presidente

 

DAGOBERTO GARCÍA

 

Secretario General de Organismo de Control                                         

 

ENRIQUE PEÑALOSA LONDOÑO

 

Alcalde Mayor de Bogotá, D.C.