RÉGIMEN LEGAL DE BOGOTÁ D.C.

© Propiedad de la Secretaría Jurídica Distrital de la Alcaldía Mayor de Bogotá D.C.

Secretaría
Jurídica Distrital

Cargando el Contenido del Documento
Por favor espere...

Decreto 193 de 2006 Alcaldía Mayor de Bogotá, D.C.

Fecha de Expedición:
08/06/2006
Fecha de Entrada en Vigencia:
08/06/2006
Medio de Publicación:
Registro Distrital 3555 de junio 08 de 2006
La Secretaría Jurídica Distrital aclara que la información aquí contenida tiene exclusivamente carácter informativo, su vigencia está sujeta al análisis y competencias que determine la Ley o los reglamentos. Los contenidos están en permanente actualización.


 
 

DECRETO 193 DE 2006

(Junio 08)

Derogado por el art. 10, Decreto Distrital 523 de 2010

Por el cual se complementa y modifica el Código de Construcción de Bogotá D. C., se adoptan los espectros de diseño y las determinantes del estudio de Microzonificación Sísmica.

EL ALCALDE MAYOR DE BOGOTÁ D. C,

En uso de sus facultades legales, en especial de las que le confieren los artículos 38, ordinal 4°, del Decreto-Ley 1421 de 1993, A.2.9. del Decreto Nacional 33 de 1998, 13 del Acuerdo 20 de 1995 y 144 del Decreto Distrital 190 del 2004 y,

CONSIDERANDO

Que la sección A.2.9.1 del Decreto Nacional 33 de 1998 faculta a las autoridades distritales para expedir una reglamentación de carácter obligatorio cuando se adelanten estudios de Microzonificación Sísmica que cumplan con los requisitos establecidos en la sección A.2.9.3 de dicha norma.

Que mediante convenio Interadministrativo 01-93, suscrito por el Fondo de Prevención Atención de Emergencias de la Secretaría de Gobierno, el Fondo Nacional de Calamidades e INGEOMINAS adelantó el estudio de Microzonificación Sísmica de Bogotá, D. C.

Que en cumplimiento de lo establecido en el artículo 2 del Decreto Nacional 2809 de 2000, la Comisión Asesora Permanente Para el Régimen de Construcciones Sismo Resistente mediante memorando de mayo 24 de 2001, aprobó el estudio de micro zonificación sísmica realizado en desarrollo del citado Convenio.

Que según el Artículo 144 del Decreto Distrital 190 de 2004, corresponde al Alcalde Mayor de Bogotá D.C., adoptar mediante Decreto los espectros de Diseño y las determinaciones contenidas en el estudio de Microzonificación Sísmica.

Que mediante el Acuerdo 20 de 1995 se adoptó el Código de Construcción de Bogotá D.C., en cuyo artículo 13 se estableció que corresponde al Departamento Administrativo de Planeación Distrital (DAPD) la función de proponer las modificaciones o complementaciones que considere necesarias, las cuales son adoptadas por Decreto del Alcalde Mayor Bogotá D. C., previa presentación a la Comisión Permanente del Código de Construcción.

Que el DAPD presentó la propuesta contenida en el presente decreto ante la Comisión Permanente del Código de Construcción de Bogotá, D.C., en sesión del 5 de octubre de 2005, la cual dio por finalizada la revisión del texto final del presente Decreto, según consta en el acta correspondiente.

Que una vez culminado el proceso descrito en el Acuerdo 20 de 1995 para su modificación y de conformidad con las normas anteriormente analizadas, corresponde al Alcalde Mayor adoptar los espectros de diseño y las determinaciones del estudio de Microzonificación Sísmica de Bogotá, D.C..

En mérito de lo expuesto,

DECRETA

Artículo 1º. Complementar y modificar el Código de Construcción de Bogotá, D.C., adoptado mediante Acuerdo 20 de 1995, de conformidad con las normas de sismoresistencia contenidas en la Ley 400 de 1997 y sus decretos reglamentarios, para cuyo efecto, en el presente decreto se establece el régimen de Microzonificación Sísmica de Bogotá, D.C.

Artículo 2º. En desarrollo de lo previsto en el artículo anterior, se fija la siguiente Microzonificación Sísmica para Bogotá D.C.:

1. Zona 1. Cerros, conformada por: la Zona 1 A. Cerros Orientales y Sur Occidentales y la Zona 1B. Cerros de Suba. Caracterizada por la presencia de formaciones rocosas con capacidad portante relativamente mayor. Puede presentar amplificaciones locales de aceleración sísmica por efectos topográficos. Se presentan sectores inestables desde el punto de vista geotécnico. Las variables que inciden en dicha inestabilidad son las altas pendientes, las lluvias fuertes y prolongadas, las fuentes de aguas subterráneas o superficiales, los efectos relacionados con actividad antrópica, la eventualidad de sismos intensos.

2. Zona 2. Piedemonte, conformada por: la Zona 2A. Piedemontes Orientales, la Zona 2B. Piedemonte del Sur y la Zona 2C. Piedemonte de Cerros de Suba. Conformada por la zona de transición entre los cerros y la zona plana y consta principalmente de depósitos coluviales y conos de deyección de materiales con una elevada capacidad portante en general, pero con estratigrafías heterogéneas con predominio de gravas, arenas, limos y depósitos ocasionales de arcillas de poco espesor.

3. Zona 3. Lacustre A. Está conformada principalmente por depósitos de arcillas blandas con profundidades mayores de cincuenta (50) metros. Pueden aparecer depósitos ocasionales de turbas y/o arenas de espesor intermedio a bajo. Presenta una capa superficial preconsolidada de espesor variable no mayor de diez (10) metros.

4. Zona 4. Lacustre B. Posee las mismas características de la Zona 3. Lacustre A, pero los depósitos superficiales (Los primeros 30 a 50 metros) son consistentemente más blandos que los anteriores. Además, corresponde a la zona en que la profundidad hasta la roca base es del orden de 200 m hasta 400 m o más.

5. Zona 5. Terrazas y Conos. Esta conformada por: la Zona 5A. Terrazas y Conos

Orientales y por la Zona 5B. Terrazas y Conos Occidentales.

Se presenta predominantemente en la zona sur de la ciudad y está conformada por suelos arcillosos secos y preconsolidados de gran espesor, arenas o limos o combinaciones de ellos, pero con capacidad portante mayor que los depósitos de las zonas Lacustres A y B.

En la Zona 5B se presentan sectores donde predominan las arenas limpias, finas y superficiales, combinadas con la posibilidad de niveles freáticos altos, lo cual redunda en una alta susceptibilidad a la licuación ante la ocurrencia de un sismo intenso.

Artículo 3°. Los componentes de las zonas antes mencionadas se identifican por los siguientes límites geográficos, urbanos y coordenadas cartesianas con origen en la intersección del meridiano 74°09' Oeste de Greenwich, con paralelo 4°41' Norte, al cual se le asignaron las coordenadas planas 109320,965N y 92334,879E.

1. Zona 1A. Cerros Orientales y sur occidentales. Parte del punto con coordenadas 124915,211N y 107048,547E, ubicado en el norte de la ciudad; de este punto en línea recta dirección sureste hasta el punto con coordenadas 122258,688N, 107441,157E y continua por el perímetro del Distrito hasta el punto con coordenadas 113796.832N, 107676.111E; sigue en dirección suroeste hasta el punto 91800.781N, 100676.445E y continua en la misma dirección hasta el punto con coordenadas 85700.453N, 97292.539E y de este punto continua en dirección suroeste hasta el punto con coordenadas 85700.094N, 93101.883E; de este punto en dirección noroeste hasta el punto con coordenadas 93345.588N, 88427.356E, punto de intersección con el perímetro del Distrito; continua por el perímetro del Distrito hacia el norte hasta el punto con coordenadas 101561.642N 85000E, y de este punto en dirección norte hasta el punto con coordenadas 102367.260N, 85000E, punto de intersección con el cauce del río Tunjuelito y de este punto aguas arriba hasta la intersección con la Avenida Ciudad de Villavicencio; continua por el límite de las localidades de Kennedy, Bosa, Tunjuelito, Ciudad Bolívar y Usme que coinciden en ese trayecto con el curso del río Tunjuelito, hasta el punto de coordenadas 92190,386N, 94568,319E, punto de intersección con la Autopista al Llano; continua por el eje de esta vía hasta su intersección con la curva de nivel 2600 metros en el punto de coordenadas 91914,556N, 94728,377E; continua por la curva de nivel 2600 m. hasta su intersección con el eje de la avenida Primero de Mayo en el punto con coordenadas 97439,156N, 98399,049E; por este eje en dirección sureste hasta encontrar el punto de coordenadas 97013,703N, 99098,375E; continua por el eje de esta misma vía en dirección noreste hasta la intersección con el eje de la Avenida Fucha en el punto de coordenadas 97396,016N, 99840,250E; continua por el eje de esta vía en dirección noroeste hasta el punto de coordenadas 97402,006N, 99829,264E, donde se intercepta y continua por los ejes de las siguientes vías locales: Carrera 6 Este, Calle 10 Sur, Carrera 5 Este, Calle 9 Sur, Transversal 1B Este, Carrera 1B Este, Transversal 1C Este, Diagonal 6 Sur, Carrera 3, Transversal 3, Carrera 4, Calle 7, Carrera 3 Este, Calle 10B y por este eje en dirección noreste hasta empalmar con el eje del ramal oriental de la Avenida de los Cerros en el punto de coordenadas 99700,313N, 101000,063E; continua por el eje del ramal oriental de la Avenida de los Cerros hasta empalmar con el ramal occidental de la Avenida de los Cerros en el punto de coordenadas 100666,750N, 101934,313E; de este punto y siguiendo en dirección noreste por el eje del ramal oriental de la Avenida de los Cerros hasta la unión nuevamente de las avenidas anteriormente mencionadas en el punto de coordenadas 102517,594N, 101836,453E; siguiendo por el eje de la Avenida de los Cerros en dirección norte hasta la intersección con la calle 88, en el punto de intersección con la curva de nivel 2600 m. en el punto con coordenadas 108034,714N, 103654,861E; de este punto continua hacia el norte por la línea de curva de nivel 2600 m hasta la línea con coordenada 125000N; continua por esta línea en dirección este hasta interceptar el perímetro del Distrito en el punto con coordenadas 125000,000N, 105842,497E; continua por el perímetro del Distrito en la misma dirección hasta encontrar el punto de coordenadas 124915,211N, 107048,547E, punto de inicio.

2. Zona 1B. Cerros de Suba. La zona de los cerros de Suba está localizada en el norte de la ciudad, y es el área que está por encima de la cota 2600 m y que se encuentra circundada por la Zona 2C. Piedemonte cuyos límites se definen más adelante, en este mismo texto.

3. Zona 2A. Piedemontes Orientales. Partiendo del punto de coordenadas 125000,000N, 105104,239E en dirección sur por el límite occidental de la Zona 1A Cerros Orientales y Suroccidentales hasta el punto de coordenadas 99694,955N, 100879,696E, intersección de la Carrera 3 Este y la Calle 10; continua por esta calle en dirección noroeste hasta la intersección con la Avenida Fernando Mazuera (Avenida Carrera 10); continua por el eje de esta vía en dirección noreste hasta la intersección con la Avenida Jiménez de Quesada (Avenida Calle 13); siguiendo por el eje de esta vía hacia el noroeste hasta la intersección con el eje de la Avenida Ciudad de Quito (Carrera 30); continua en dirección noreste por el eje de la Avenida Ciudad de Quito (Carrera 30) hasta la intersección con el eje de la Avenida Francisco Miranda (Calle 45), por cuyo eje continua hacia el este hasta la intersección con el eje de la Avenida Caracas; continua por el eje de la Avenida Caracas en dirección noreste hasta la intersección con el eje de la Avenida Chile (Calle 72); sigue por el eje de esta vía en dirección sureste hasta encontrar la intersección con el eje de la Carrera 13; continua por este eje en dirección noreste hasta interceptar el eje de la Autopista Medellín (Calle 80); continua por este eje en dirección sureste hasta la intersección con la Carrera 9; luego continua por este eje hacia el noreste hasta la intersección con el eje de la Calle 88, por el que sigue con dirección noroeste hasta la intersección con el eje de la Avenida Carrera 11; continua por este eje en dirección noreste hasta la intersección con el eje de la Calle 94; continua por el eje de esta vía en dirección sureste hasta la intersección con la Avenida Alberto Lleras Camargo (Avenida Carrera 7); continua por el eje de esta vía hasta la Calle 103A, por la que continua hacia el sureste hasta encontrar la vía extrema oriental de la Escuela de Caballería, por la que continúa hasta encontrar el Canal de los Molinos; por este aguas abajo hacia el occidente hasta encontrar nuevamente el eje de la Avenida Alberto Lleras Camargo (Carrera 7); continua por el eje de esta vía en dirección noreste hasta la intersección con el eje de la Avenida Pepe Sierra (Calle 116); continua por el eje de esta vía en dirección noroeste hasta la intersección con el eje de la Avenida Laureano Gómez (Avenida Carrera 9), por el que sigue hacia el norte hasta la intersección con el eje de la Avenida Calle 134; por éste hacia el noroeste hasta el eje de la Carrera 19; por éste hasta el eje de la Calle 140; por éste hacia el sureste hasta la Avenida Laureano Gómez (Avenida Carrera 9); por ésta hacia el norte hasta la Calle 142; por el eje de ésta hasta el eje de la Carrera 22; por éste hasta la Avenida de los Cedritos (Avenida 147), y por el eje de esta hacia el sureste hasta la Avenida Laureano Gómez (Avenida Carrera 9); y de este punto por el eje de ésta y en la misma dirección de la línea férrea hasta la intersección de ésta con la línea con coordenada 125,000N; el límite norte es la línea recta que une el último punto del límite occidental con el punto inicial del límite oriental.

4. Zona 2B. Piedemonte del sur. Inicia en la intersección entre la curva de nivel 2600 m y el eje de la calle 36 sur en el punto de coordenadas 97641,163N, 95567,038E; continúa por la curva de nivel 2600 m en dirección sur hasta el punto de coordenadas 92347,826N, 95291,455E, punto de intersección entre la curva de nivel 2600 m y el eje de la Avenida Caracas; continua por el eje de la Avenida Caracas en dirección norte hasta la intersección con el eje de la calle 36 sur; continua por el eje de esta vía hasta su intersección con la curva 2600 m en el punto de coordenadas 97641,163N, 95567,038E, punto de inicio.

5. Zona 2C. Piedemonte de Cerros de Suba. Esta zona está conformada por el área que se encuentra dentro del siguiente polígono y cuya cota es menor que 2600 m.

NORTE

ESTE

OBSERVACIONES

121000,938

101998,781

Punto de inicio

120000,961

101998,906

 

113000,750

99999,563

 

111787,750

99999,680

Punto de intersección con el Canal Córdoba

111944,495

99568,554

Canal Córdoba

112040,950

99191,861

Canal Córdoba

112009,667

98854,271

Intersección Canal Córdoba con el río Juan Amarillo

112130,825

98856,845

Río Juan Amarillo

112246,023

98724,193

Río Juan Amarillo

112425,730

98570,747

Río Juan Amarillo

118000,680

99498,828

 

121000,938

101498,586

 

121000,938

101998,781

Punto de inicio

Adicionalmente, esta zona está limitada interiormente por la Zona 1B (Curva de nivel 2600 m.).

6. Zona 3A. Lacustre A (Oriental). Iniciando en la intersección del eje de la Avenida Laureano Gómez (Avenida 9) con la línea con coordenada 125,000N. en dirección sur siguiendo el lindero oeste de la zona 2A, hasta el punto de coordenadas 101983,313N, 98413,875E, intersección del eje de la Avenida Jiménez de Quesada con el eje de la Avenida Ciudad de Quito; continua por el eje de esta vía en dirección suroeste hasta la intersección con el eje de la Avenida de los Comuneros; continua por el eje de esta vía en dirección noroeste hasta el punto donde el Caño de Los Comuneros se desvía de la avenida del mismo nombre, de este punto continúa en dirección suroeste por el eje del Caño de Los Comuneros aguas abajo hasta encontrar el eje del Canal San Cristóbal, de este punto prosigue aguas abajo en dirección noroeste hasta la intersección con la Avenida Montes, continua por el eje de esta vía, hasta la intersección con el eje del denominado Río Fucha, por el cual continua aguas abajo hasta encontrar la Avenida Ciudad de Cali (Carrera 95), en el punto de coordenadas 106832,923N 93388,877E; continua en dirección noreste por el eje de la Avenida Ciudad de Cali hasta encontrar el eje de la Avenida Centenario, por el cual sigue con dirección noroeste hasta encontrar el eje de la calle 17 por el cual sigue hasta encontrar el eje de la carrera 96A, continua por el eje de esta vía en dirección noreste hasta encontrar el eje de la Avenida Ferrocarril de Occidente (Avenida Calle 22), por cuyo eje sigue en la misma dirección hasta encontrar el eje de la Carrera 100, por el que continúa con dirección noreste hasta el eje de la Autopista El Dorado (Avenida Calle 26), por el que continúa con dirección sureste hasta encontrar el eje de la carrera 82; continua por este eje en dirección noreste hasta encontrar el eje de la transversal 85, por el que sigue en dirección noreste hasta encontrar el eje de la Avenida Calle 63; continúa por el eje de esta vía en dirección sureste hasta encontrar el eje de la Avenida Carrera 72 por el que continua en dirección noreste hasta encontrar el eje de la calle 63A, por el que continua en dirección sureste hasta encontrar el eje de la Avenida de la Constitución (Avenida Carrera 70), continua por el eje de esta Avenida y siguiendo hacia el noreste hasta la intersección con la Avenida Calle 72, continua por el eje de esta vía en dirección sureste hasta el eje de la Avenida del Congreso Eucarístico (Avenida Carrera 68), por el cual continúa en dirección noreste hasta encontrar el eje de la Avenida España en el punto de intersección con el eje de la Avenida Medellín; continúa por el eje de la Avenida España hasta la intersección con el eje del Caño Río Negro, por el cual sigue aguas arriba con dirección sureste hasta encontrar el eje de la Avenida Ciudad de Quito (Avenida Carrera 30), por el cual sigue en dirección noreste hasta encontrarse con el eje de la Avenida Laureano Gómez (diagonal 92), por cuyo eje continúa hasta encontrar el eje de la Avenida Santa Bárbara (Avenida Carrera 19); por el eje de esta Avenida sigue en dirección noreste hasta el eje de la Avenida Callejas (diagonal 127 A), continua por el eje de esta vía en dirección noroeste hasta encontrar el eje de la Avenida Rodrigo Lara Bonilla (Avenida Calle 125 A); continua por el eje de esta vía con dirección noroeste hasta encontrar el Caño Córdoba; por éste aguas abajo hasta encontrar el punto de coordenadas 111787,750N, 99999,680E, que hace parte del límite oriental de la zona 2C. Piedemonte de Suba, por el que sigue en dirección noreste hasta el punto inicial del límite oriental de la zona 2C en el punto de coordenadas 121000,938N 101998,781E; desde este punto con dirección este hasta el punto con coordenadas 121000,938N, 101498,586E; continua en dirección sureste por el límite oeste de la zona 2C, Piedemonte de Suba hasta el punto con coordenadas 112425,73N, 98570,747E, punto de intersección con el eje del Río Juan Amarillo y siguiendo aguas abajo hasta el punto de coordenadas 113210,555N, 98041,641E, desde este punto continua hacia el noreste en línea recta hasta el punto con coordenadas 118000,633N, 98999,438E, continua en línea recta en dirección noreste hasta el punto de coordenadas 121000,867N, 100999,195E, el cual sigue en línea recta hacia el norte hasta el punto con coordenadas 123009,000N, 100999,200E, continua en dirección oeste hasta la intersección con el perímetro del Distrito en el punto de coordenadas 123005,440N, 98970,960E; continua por el perímetro del Distrito en dirección norte hasta la intersección con la línea de coordenada 125,000N, en el punto de coordenadas 125000,000N, 99817,624E, continuando por esta línea con coordenada 125000N, en dirección este hasta la intersección con el eje de la Avenida Laureano Gómez (Avenida 9) con la línea de coordenada 125000N, punto de inicio de esta descripción.

7. Zona 4. Lacustre B. Inicia en el lindero occidental de la Zona 3A, desde el punto de intersección del perímetro del Distrito en el punto con coordenadas 123005,440N, 98970,960E hasta el punto de coordenadas 112425,730N, 98570,747E; continua en dirección sureste por el lindero sur de la zona 2C hasta el punto de coordenadas 111787,750N, 99999,680E; de este punto continua nuevamente por el lindero occidental de la Zona 3A hacia el sur hasta el punto de coordenadas 106832,923N, 93388,877E, punto de intersección de la Avenida Ciudad de Cali con el río Fucha, siguiendo aguas abajo con dirección oeste por el río Fucha hasta el punto de bifurcación donde se intercepta con el perímetro del Distrito en el punto de coordenadas 107357,454N, 91005,450E, y continua por el perímetro del Distrito en dirección norte hasta el punto con coordenadas 123005,440N, 98970,960E, punto de inicio de la descripción.

8. Zona 5A. Terrazas y conos orientales. Inicia en el punto de intersección del río Fucha con el eje de la Avenida Montes, continua en dirección sureste por el lindero de la zona 3A hasta el punto de intersección de la Avenida Ciudad de Quito con la Avenida Jiménez de Quesada y continua por el lindero sur de la zona 2A en dirección sureste hasta el punto de intersección de la calle 10 con la Avenida de los Cerros; continua en dirección sur por el lindero oeste de la zona 1A hasta la intersección de la calle 36 sur con la curva de nivel 2600 m en el punto de coordenadas 97641,163N, 95567,038E; de este punto continua por el lindero norte de la zona 2B en dirección oeste hasta la intersección con el eje de la Avenida Caracas con el eje de la Avenida Santa Lucía (AC 44 sur); sigue por el eje de esta vía hasta la intersección con el eje de la transversal 23 y continua por el eje de esta vía en dirección noreste hasta su intersección con el eje del Canal Río Seco, sigue por el cauce de dicho canal aguas abajo hasta encontrar el eje del Río Fucha, por el que continúa aguas abajo hasta interceptar el eje de la Avenida Montes con el río Fucha, punto inicial de la descripción.

9. Zona 5B. Terrazas y conos occidentales. Inicia en la intersección del Río Fucha con el perímetro del Distrito en el punto de coordenadas 107357,454N, 91005,450E en el lindero sur de la zona 4; continua por este lindero en dirección este hasta el lindero oeste de la zona 3A en el punto de coordenadas 106832,923N, 93388,877E; continua por este lindero en dirección sureste hasta encontrar el lindero oeste de la zona 5A en el punto de coordenadas 103146,392N, 94561,048E; continua en dirección sur por este lindero hasta encontrar el lindero oeste de la zona 2B en el punto de coordenadas 97605,102N, 94907,289E; continua por este lindero hasta el punto de coordenadas 92347,826N, 95291,455E, punto de intersección entre la curva de nivel 2600 m y el eje de la Avenida Caracas; continua por el lindero norte de la zona 1A en dirección noroeste desde el punto de coordenadas anterior hasta el punto de coordenadas 102367,260N, 85000,000E, intersección del Río Tunjuelito con la línea de coordenada 85000E; continua por esta línea recta en dirección norte hasta su intersección con la línea del perímetro de Distrito en el punto de coordenadas 104892,875N, 85000,000E; continua por el perímetro del Distrito en dirección noreste hasta la intersección con el punto de coordenadas 107357,454N, 91005,450E en el lindero sur de la zona 4, punto inicial de la descripción.

Parágrafo: Cuando motivado por la exploración geotécnica de campo y el conocimiento específico del terreno, el encargado del estudio geotécnico considere que las zonas aquí expuestas presentan algún tipo de variación, se puede hacer uso de la opción establecida en el artículo 4, parágrafo único, numeral 10 del presente Decreto.

Artículo 4º. Las construcciones y edificaciones nuevas de cualquier índole que se levanten en Bogotá Distrito Capital, deberán diseñarse y construirse dependiendo de la zona en la cual se encuentren según la zonificación sísmica adoptada a través de los artículos anteriores, acogiendo al efecto el espectro de diseño y sus coeficientes espectrales relacionados en la Tabla 1, "Coeficientes Espectrales para Diseño", salvo las construcciones de que trata el Título E del Decreto Nacional 33 de 1998 y demás normas reglamentarias,

Parágrafo: Con el fin de dar aplicación al espectro de diseño y a los coeficientes espectrales de que trata el presente artículo, se hacen las siguientes aclaraciones y complementaciones:

1) Todos los espectros son elásticos, a nivel de la superficie del terreno y para el cinco por ciento (5%) de amortiguamiento respecto al crítico.

2) Cada una de las zonas en que se ha dividido Bogotá Distrito Capital involucra un valor característico de Aceleración Máxima Am, según se indica en la Tabla 1, el cual corresponde a la aceleración máxima esperada en la superficie del terreno para dicha zona.

3) En aquellos casos en que las normas de construcción sismorresistentes contenidas en la Ley 400 de 1997, en sus decretos reglamentarios y demás normas que las desarrollen o complementen, hagan referencia al valor de Aceleración Pico Efectiva Aa, con fines diferentes a la estimación de espectros de diseño, se tomará para Bogotá Distrito Capital, en su reemplazo, el valor Am prescrito en la Tabla 1, excepto en los casos en que dicho valor sea menor que el establecido para el Aa.

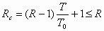
4) El coeficiente de disipación de energía Rc que se debe emplear con el espectro prescrito en la Tabla 1 tiene un valor variable en la zona de períodos cortos iniciando, para un periodo igual a To, en el valor R (R=ФaФpRo) prescrito en las normas de diseсo y construcciуn sismo resistentes contenidas en la Ley 400 de 1997, el Decreto Nacional 33 de 1998 y demбs normas que las desarrollen o complementen, y es igual a la unidad cuando el periodo T es cero como se muestra en la figura siguiente:

El valor de Rc está descrito por la ecuación:

 

Variación del coeficiente de disipación de energía R

5) En los limites de cada zona se establece una franja de transición de 250 metros a cada lado, excepto cuando el límite sea una corriente natural (Río Bogotá, Río Tunjuelo, Río San Cristóbal, Río Fucha, Río Juan Amarillo, entre otros) en cuyo caso la franja de transición será de 500 metros a cada lado del eje de la corriente. En esta franja de transición se debe tomar, dependiendo del período de vibración de la edificación y del estudio geotécnico respectivo, la aceleración de diseño promedio que resulte de la aplicación de los espectros de diseño de las zonas adyacentes, a menos que se demuestre algo diferente por medio de un estudio de respuesta de amplificación local como se prescribe en el artículo séptimo del presente Decreto.

6) En Terrenos con pendiente superior a 10 grados (17%), de la Zona 1, Cerros, y de la Zona 2, Piedemonte, deben realizarse estudios de estabilidad de taludes, geotécnicos y estudios adicionales de amenaza por fenómenos de remoción en masa que incluyan los efectos sísmicos. Para este efecto se deben aplicar tanto lo contenido en la sección A.2.4.1.6 y el Título H del Decreto Nacional 33 de 1998 y las resoluciones que para la materia expida la DPAE, así como el artículo 6° del presente Decreto.

7) En sectores de la Zona 2. Piedemonte, y de la zona 5, Terrazas y Conos, adyacentes a la zona 1, a criterio del responsable del estudio geotécnico, para profundidades hasta roca menores a 12 metros (entendiéndose la roca como un material con velocidad de cortante Vs igual o superior a 750 m/s, obtenida mediante ensayos geosísmicos de campo en perforaciones o superficiales), se establecerá si se pueden utilizar los espectros correspondientes a la Zona 1. Cerros, considerando el tipo de cimentación de la estructura, la estratigrafía local, las características mecánicas de los depósitos y los efectos topográficos, con base en estudios geotécnicos detallados según se estipula en el Título H del Decreto Nacional 33 de 1998 y en el artículo 6°.

8) En la Zona 5B. Terrazas y Conos potencialmente licuables debe evaluarse el potencial de licuación en los suelos susceptibles a licuarse y el diseño debe considerar el resultado de esta evaluación. Para el efecto puede utilizarse el procedimiento dado en el Titulo H del Decreto Nacional 33 de 1998, en los otros decretos reglamentarios de la Ley 400 de 1997 y demás normas que la desarrollen o complementen. Igual evaluación debe llevarse a cabo si en los perfiles del subsuelo se encuentran suelos susceptibles de licuación, a juicio del responsable del estudio geotécnico, independientemente de la zona donde se ubiquen.

9) En las zonas donde se identifiquen rellenos artificiales de cualquier índole con espesores superiores a tres (3) metros y en las cuales se decida dejar los rellenos como material de cimentación, debe usarse el espectro de diseño máximo establecido para la ciudad que corresponde al de Zona 2 si el periodo estructural es menor o igual de 1.5 segundos o el espectro de diseño de Zona 3 cuando se supere este periodo, a menos que se demuestre un espectro diferente con un estudio local, según lo establecido en los artículos 5° y 7° del presente Decreto.

10) Podrá reclasificarse el tipo de la zona en la cual se ubique una edificación realizando un estudio que incluya al menos:

a) Un estudio geotécnico detallado según se indica en el artículo 6° del presente Decreto, y

b) Un análisis que compruebe que el espectro de diseño elástico suavizado con el 5% de amortiguamiento obtenido en superficie corresponde con el de la zona que finalmente se determine. De no utilizarse el espectro de la Tabla 1 deberá realizarse un estudio de efectos locales.

Esta reclasificación debe ser sustentada y certificada por el responsable del estudio geotécnico.

11) Para períodos estructurales de vibración con base rígida mayores que 2.5 segundos deben realizarse estudios locales de respuesta para determinar la forma del espectro de diseño en ese intervalo de períodos, de acuerdo con los requisitos de las normas de construcción sismo resistente contenidas en la Ley 400 de 1997, sus decretos reglamentarios, demás normatividades que las desarrollen o complementen y lo contenido en el artículo 7º del presente Decreto. Por lo tanto, la ordenada espectral mínima será la mitad del valor de Am definido en el artículo 4º del presente Decreto y correspondiente a la zona en la cual se haya definido la localización de la estructura.

12) Para los efectos de las limitaciones de uso de los diferentes sistemas estructurales a los que hace referencia la Ley 400 de 1997 y sus decretos reglamentarios (Capítulo A-3 del Decreto Nacional 33 de 1998), Bogotá Distrito Capital se considera ubicada en zona de Amenaza Sísmica Intermedia aun cuando se presenten aceleraciones máximas del terreno superiores o iguales a 0.20 g.

13) Para efectos de los requisitos especiales que deben cumplir las estructuras en función del tipo de perfil de suelo en que estén ubicadas tal como lo define la Ley 400 de 1997 y sus decretos reglamentarios, cada edificación deberá asignarse al tipo de perfil de suelo prescrito en el Titulo A del Decreto Nacional 33 de 1998 que corresponda al sitio de la edificación según el estudio geotécnico detallado que se realice y no según el mapa de Microzonificación Sísmica.

14) Como un procedimiento adicional de evaluación de la respuesta sísmica de la estructura ante un evento sísmico se puede utilizar lo planteado en el Capítulo A-7 del Decreto Nacional 33 de 1998 correspondiente a Interacción Suelo-Estructura, salvo que el valor del cortante sísmico en la base no puede ser menor que el 80% del que se obtendría utilizando el método de la fuerza horizontal equivalente empleando un período de vibración igual a Ta, del capítulo A.4 del mismo Decreto Nacional 33 de 1998 y aplicando todos los demás requisitos de la Ley 400 de 1998, decretos reglamentarios vigentes y demás normatividad que las desarrollen o complementen.

Artículo  5º.  Adicionado por el Decreto Distrital 623 de 2006. Pueden utilizarse espectros sísmicos de diseño diferentes a los definidos en el artículo 4° de éste Decreto, si se demuestra que fueron obtenidos utilizando mejor información proveniente de estudios detallados de propagación de onda sísmica a través del subsuelo existente debajo del sitio o de la incidencia de la topografía del lugar, siempre y cuando el responsable del estudio geotécnico defina unos efectos locales particulares para el lugar donde se encuentra localizada la edificación, utilizando estudios de amplificación de las ondas sísmicas que se realicen de acuerdo con lo prescrito en los ordinales (e) a (i) de la sección A.2.9.3 del Decreto Nacional 33 de 1998, o estudios especiales referentes a efectos topográficos.

  

  El espectro de diseño obtenido debe calcularse para un coeficiente de amortiguamiento igual a cinco por ciento (5%) del crítico y debe seguirse lo prescrito en el artículo 7° del presente Decreto. Los espectros superficiales obtenidos, diferentes a los definidos en el artículo Cuarto de éste Decreto deben cumplir con el siguiente requisito: Para períodos estructurales con base rígida menores de 2.5 segundos y para todas las zonas adoptadas en la Microzonificación sísmica de la ciudad de Bogotá, el espectro de diseño suavizado superficial adoptado dependiendo de la zona en que se encuentre, no puede en ningún caso ser menor que el espectro mínimo de diseño y sus coeficientes espectrales relacionados en Tabla 2. Coeficientes espectrales mínimos para diseño validos para T<2.5 segundos.

Artículo 6º. Para efecto de lo estipulado en los artículos 4° y 5° del presente Decreto, los estudios geotécnicos detallados, deben cumplir, además de lo prescrito en los numerales e) a h) de la Sección A.2.9.3, del Título H del Decreto Nacional 33 de 1998 y en el Acuerdo 20 de 1995, lo siguiente: todos los datos de campo deben provenir de mínimo una investigación física con muestreo y ensayos de campo y laboratorio hasta mínimo 50 metros de profundidad para zonas de suelos, o profundidades menores cuando se penetre al menos cinco (5) metros de estrato rocoso (tal como se lo define en el numeral 7 del artículo 4° de este mismo Decreto) y se verifique que no se trata de fragmentos de roca embebidos en suelo no competente. Adicionalmente se debe cumplir con la Resolución "Procedimientos para fijar el alcance y el valor mínimo de los servicios profesionales de ingeniería en la normativa sismo resistente colombiana", expedida por la Comisión Permanente Asesora de la NSR-98.

Artículo 7º. Cuando se requieran o se realicen estudios particulares de respuesta de amplificación local de ondas sísmicas a que se refiere el artículo 5° del presente Decreto, se debe seguir además de lo prescrito en los ordinales (i), (k) y (m) de la sección A.2.9.3 del Decreto Nacional 33 de 1998, lo siguiente:

Realizar los siguientes ensayos en número suficiente para caracterizar adecuadamente el perfil:

  • Ensayos de velocidad de onda de cortante "Vs" de los materiales del subsuelo por medio de un método directo de campo como "down-hole", cono sísmico, "cross-hole", o equivalentes.

  • Ensayos de laboratorio para determinar el comportamiento del módulo dinámico de cortante y la capacidad histerética de amortiguamiento de las muestras inalteradas representativas de todos los materiales del subsuelo, que cubran todo el intervalo de deformaciones dinámicas. Para este efecto se deben emplear técnicas que estén respaldadas por resultados apropiados tales como: columna resonante, torsión cíclica, triaxial cíclico, corte simple cíclico u otros adecuados. En materiales granulares o coluviales donde la recuperación de muestras inalteradas presente un alto grado de dificultad técnica, se deben utilizar curvas de variación en el módulo de cortante y de amortiguamiento con la deformación tomadas de bibliografía reconocida, y ajustadas a los resultados de velocidad de onda de corte y a los esfuerzos de confinamiento en el sitio.

2) En los procedimientos de análisis de respuesta dinámica, se deben utilizar como mínimo modelos unidimensionales de diseño, excepto cuando se ubique la edificación dentro de la Zona 1. Cerros y/o de la Zona 2. Piedemonte, para las cuales se deben utilizar modelos bidimensionales para zonas con pendientes superiores a 10 grados (17%).

3) Se debe obtener la respuesta de los suelos utilizando en el nivel de roca como mínimo todos y cada uno de los tres acelerogramas de diseño empleados en el Proyecto de Microzonificación Sísmica de Bogotá ubicados en el nivel de roca y que corresponden a las características de las tres fuentes sismogénicas: lejana (zona de subducción, Amax = 0.038g), regional (frontal de la cordillera oriental, Amax = 0.2g) y cercana o local (inmediaciones del área de la ciudad, Amax = 0.25g), cuya referencia se encuentra contenida en el volumen del Subproyecto 14 "Amenaza Sísmica Regional dentro de la Microzonificación Sísmica de Bogotá" del Proyecto de Microzonificación Sísmica de Bogotá. Alternativamente a lo anterior, podrán utilizarse para cada una de las tres (3) fuentes, los acelerogramas que establezca la Dirección de Prevención y Atención de Emergencias de la Secretaría de Gobierno, tomados de la base de datos nacional o mundial y que correspondan a sismos registrados en roca, de características de magnitud, contenido frecuencial, duración, distancia, mecanismo focal y profundidad que sean consistentes con las condiciones sismotéctonicas del Proyecto de Microzonificación Sísmica de Bogotá.

4) Con el fin de tener en cuenta la profundidad del nivel de roca o el espesor de los sedimentos en Bogotá, D.C., en los casos en que ésta o éstos superen los 50 metros, se puede consultar el Mapa de Espesor de Sedimentos, que pertenece al Volumen Subproyecto 7, "Estudios Geofísicos' del Proyecto de Microzonificación Sísmica de Bogotá.

5) Para espesores de sedimentos superiores a 50 metros, según la ubicación estimada de la profundidad de la roca con respecto a la edificación y de acuerdo al alcance de la exploración geotécnica realizada, puede ser necesario complementar la información para poder obtener un perfil de diseño óptimo. Cuando se requiera información adicional, se puede complementar con la contenida en los volúmenes del Subproyecto 8, Estudio Geotécnico y del Subproyecto 10 y 11, "Ensayos de Laboratorio y Campo" y "Zonificación Geotécnica", del Proyecto Microzonificación Sísmica de Bogotá. Adicionalmente, se podrá utilizar información adecuada avalada por el responsable del estudio.

Parágrafo: La Dirección de Prevención y Atención de Emergencias de la Secretaría de Gobierno, a través del Fondo de Prevención y Atención de Emergencias -FOPAE, realizará la revisión de los Estudios Particulares de Respuesta de amplificación local de ondas sísmicas y emitirá concepto sobre el cumplimiento de los requisitos para este tipo de estudio.

Artículo 8º. Las casas de uno y dos pisos se deberán diseñar y construir siguiendo las alternativas establecidas en el Decreto Nacional 33 de 1998, y demás normas que reglamenten, desarrollen o complementen la Ley 400 de 1997.

Artículo 9º. Los aspectos no contemplados en el presente Decreto se regirán por lo establecido en la Ley 400 de 1997, sus Decretos reglamentarios, y demás normas que la complementen.

Artículo 10º. La Dirección de Prevención y Atención de Emergencias de la Secretaría de Gobierno o quien haga sus veces, cuando fuere necesario, adelantará los estudios técnicos integrales previos a la modificación del presente decreto, que serán presentados a la Comisión Permanente del Código de la Construcción, para su aprobación.

Artículo 11º. La Dirección de Prevención y Atención de Emergencias, en concordancia con el subprograma de mejoramiento integral, analizará la posibilidad de desarrollar normas específicas para el reforzamiento de edificaciones existentes de uno y dos pisos de acuerdo a lo establecido en el Título E del Decreto Nacional 33 de 1998.

Artículo 12º. El Departamento Administrativo de Planeación Distrital, de conformidad con la facultad otorgada en el artículo 471 del Decreto 190 de 2004, actualizará el Plano No. 7 del citado Decreto, denominado "MICROZONIFICACIÓN SÍSMICA", para cuyo efecto se tendrán en cuenta las disposiciones contenidas en esta reglamentación, y en el estudio que le sirvió de fundamento.

Artículo  13. El presente Decreto rige a partir de su publicación en el Registro Distrital, y deroga todas las disposiciones que le sean contrarias, en especial el Decreto Distrital 074 de 2001.

Dado en Bogotá D. C., a los 08 días de junio de 2006

PUBLÍQUESE Y CÚMPLASE

LUIS EDUARDO GARZÓN

Alcalde Mayor de Bogotá D.C.

CATALINA VELASCO CAMPUZANO

Directora Departamento Administrativo de Planeación Distrital