RÉGIMEN LEGAL DE BOGOTÁ D.C.

© Propiedad de la Secretaría Jurídica Distrital de la Alcaldía Mayor de Bogotá D.C.

Secretaría
Jurídica Distrital

Cargando el Contenido del Documento
Por favor espere...

Decreto 1269 de 2009 Nivel Nacional

Fecha de Expedición:
15/04/2009
Fecha de Entrada en Vigencia:
16/04/2009
Medio de Publicación:
Diario Oficial 47322 de abril 16 de 2009
La Secretaría Jurídica Distrital aclara que la información aquí contenida tiene exclusivamente carácter informativo, su vigencia está sujeta al análisis y competencias que determine la Ley o los reglamentos. Los contenidos están en permanente actualización.


 
 

DECRETO 1269 DE 2009

(Abril 15)

Por el cual se reglamenta parcialmente el artículo de la Ley 860 de 2003.

EL MINISTRO DEL INTERIOR Y DE JUSTICIA DE LA REPÚBLICA DE COLOMBIA,

delegatario de las funciones presidenciales mediante Decreto 1225 del 13 de abril de 2009, en uso de sus facultades constitucionales y legales y, en especial, de las que le confieren el ordinal 11 del artículo 189 de la Constitución Política y el artículo 3° de la Ley 860 de 2003,

DECRETA:

Artículo 1°. Elaboración de cálculos actuariales. Las empresas del sector privado mencionadas en el artículo 3° de la Ley 860 de 2003 deberán elaborar un cálculo actuarial de las obligaciones pensionales a favor de los aviadores y demás personas de que trata el Decreto-ley 1283 de 1994, de conformidad con lo previsto en el Decreto 2783 de 2001 o las normas que lo modifiquen o adicionen, con la información básica suministrada por parte de la entidad administradora del Régimen Solidario de Prima Media con Prestación Definida (CAXDAC).

Para efectos de la amortización contable las empresas no podrán disminuir los valores amortizados de sus cálculos actuariales a 31 de diciembre de 2003. Tampoco podrán disminuir los valores de sus cálculos actuariales incorporados contablemente al año inmediatamente anterior, mientras no se haya integrado la totalidad del cálculo actuarial, salvo que la disminución corresponda a una reducción efectiva del valor del cálculo actuarial.

Los aviadores que por edad o por tiempo de servicio no alcancen a cumplir los requisitos para tener derecho a una pensión del régimen de transición o una pensión especial transitoria deberán incorporarse al cálculo actuarial con derecho a la indemnización sustitutiva del Régimen de Prima Media con Prestación Definida o con derecho a un bono o título pensional, en el evento en que se trasladen al Régimen General de Pensiones.

Teniendo en cuenta que la transferencia a la entidad administradora del Régimen Solidario de Prima Media con Prestación Definida tiene por objetivo final liberar a la empresa de forma definitiva de sus obligaciones pensionales, la tasa de interés técnico prevista en el numeral 2 del artículo 1° del Decreto 2783 de 2001 se reducirá anualmente en 0.08%, a partir del cálculo actuarial del año 2009, hasta llegar a la tasa de interés técnico del 4%. Esta disposición no será aplicable a las obligaciones por bonos pensionales de que trata el presente artículo, las cuales se calcularán de acuerdo con las normas aplicables sobre la materia.

Parágrafo. Para el cálculo actuarial del personal en receso se debe tener en cuenta la indexación para el cálculo del ingreso base de liquidación desde la fecha de retiro. Para estos efectos se entiende por personal en receso el que no tiene la calidad de piloto a la fecha y no se encuentra afiliado a ninguna otra administradora.

Artículo 2°. Cálculo de bonos y títulos pensionales. Para el cálculo de los bonos y títulos pensionales se tendrán en cuenta las siguientes reglas:

a). Las obligaciones por bonos de que trata el inciso 3° del artículo 6° del Decreto 1282 de 1994 se incluirán en el respectivo estudio actuarial y las mismas estarán a cargo de las empresas del sector privado mencionadas en el artículo 3° de la Ley 860 de 2003, y se calcularán teniendo en cuenta la edad señalada en el mismo artículo, con la fórmula establecida en el Decreto 1887 de 1994 o normas que la modifiquen. Lo anterior teniendo en cuenta en todo caso lo establecido en el Acto Legislativo 01 del año 2005.

b). Las obligaciones por bonos correspondientes a personas que se hayan trasladado al Régimen de Ahorro Individual, se calcularán de acuerdo con las normas generales sobre la materia, y

c). Las obligaciones por títulos pensionales correspondientes a personas que se hayan trasladado al Régimen de Prima Media con Prestación Definida administrado por el ISS se calcularán de acuerdo con el Decreto 1887 de 1994 hasta la entrada en vigencia del sistema, a partir de dicha fecha se calculará como un bono A1 a cargo de CAXDAC.

Artículo 3°. Emisión y pago de bonos y títulos pensionales. Los bonos de que trata el literal a) del artículo anterior deberán ser emitidos y pagados por las empresas de aviación a favor de CAXDAC, mientras los aviadores no se hayan trasladado a otra administradora del Régimen General de Pensiones. En caso de que se haya producido el traslado, las empresas deberán concurrir en la cuota parte del bono o título. En la misma forma se procederá en el caso de los aviadores que, encontrándose en el régimen de transición, se trasladen a otra administradora del Régimen General de Pensiones siempre y cuando respecto de los cuales las empresas no hayan efectuado la integración total del cálculo actuarial.

Los bonos y títulos pensionales de que tratan los literales b) y c) del artículo anterior, serán emitidos en todos los casos por CAXDAC, quien tendrá las facultades y obligaciones que de acuerdo con las disposiciones vigentes corresponden a los emisores de bonos pensionales.

El procedimiento de emisión y pago de los bonos de que trata el inciso anterior será el previsto en el artículo 65 del Decreto 1748 de 1995, modificado por el Decreto 1513 de 1998.

Los bonos y títulos pensionales de que tratan los literales b) y c) del artículo anterior serán pagados por las empresas y por CAXDAC, según corresponda, directamente a las administradoras de pensiones en la fecha de redención normal o anticipada.

Artículo 4°. Pago del cálculo actuarial. Las empresas de que trata el presente decreto deberán transferir a la entidad administradora del Régimen Solidario de Prima Media con Prestación Definida, el valor del cálculo actuarial no pagado a la fecha, en un plazo que no excederá el año 2023. Los pagos se realizarán anualmente en doce (12) cuotas mensuales mes vencido, dentro de los primeros diez (10) días del mes siguiente. De no pagarse la cuota mensual en el plazo previsto, la empresa pagará el interés de que trata el inciso 1° del artículo 23 de la Ley 100 de 1993. Los recursos recaudados por concepto de interés moratorio ingresarán al Fondo Común administrado por CAXDAC y se destinarán al pago de pensiones a cargo de CAXDAC.

El valor de la transferencia no incluirá el monto correspondiente a los bonos y títulos pensionales de que tratan los literales b) y c) del artículo 2°, los cuales se pagarán por las empresas del sector privado mencionadas en el artículo 3° de la Ley 860 de 2003 a las entidades administradoras respectivas en la fecha prevista para su redención normal o anticipada.

Con el fin de que los pagos anuales permitan atender las mesadas pensionales corrientes para cada vigencia fiscal, para la estimación lineal de la transferencia de que trata el artículo 3° de la Ley 860 de 2003, las empresas deberán transferir a la entidad administradora un monto no inferior al valor que resulte de aplicar el procedimiento contenido en los literales a) y b) siguientes:

a). Transferencias de recursos correspondientes a reservas de pensionados y beneficiarios del régimen de transición afiliados a CAXDAC. Mensualmente, a más tardar dentro de los primeros 10 días hábiles de cada mes, la empresa pagará el monto resultante de sumar la transferencia mínima y la transferencia adicional derivadas de aplicar el procedimiento descrito a continuación:

Donde:

: Año en que se efectuarán las transferencias; n = 2009..., 2023

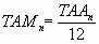
: Transferencia total mensual correspondiente al año n.

: Transferencia Mínima Mensual correspondiente al año n; se refiere al valor de la nómina de pensionados a cargo de la empresa del mes anterior al mes en que se debe efectuar el pago.

: Transferencia Adicional Mensual correspondiente al año n; se refiere al monto que deberá transferir la empresa mensualmente adicional al valor de la nómina, para cubrir el 100% del pasivo pensional en el 2023. Para el efecto la transferencia adicional anual que se define a continuación se dividirá por 12 así:

El valor de la Transferencia Adicional Anual será calculado anualmente a partir de las proyecciones de cálculo actuarial y la reserva en cuenta de la empresa en CAXDAC, estimadas con base en la información del año inmediatamente anterior al año en que se efectuarán las transferencias, mediante la siguiente fórmula:

Siendo:

I: incremento salarial del artículo 1° del Decreto 2783/2001

i: tasa de interés técnico vigente en el año respectivo

: Reserva en cuenta de la empresa en el año anterior al año en que se efectuarán las transferencias n - 1.

: Valor del cálculo actuarial que debería estar amortizado en el año n en que se efectuarán las transferencias; cuantificado con la siguiente fórmula:

Con:

: Porcentaje amortizado del cálculo actuarial proyectado al 31 de diciembre del año n, asumiendo que sólo se paga la transferencia mínima anual proyectada.

: Porcentaje proyectado del cálculo actuarial amortizado al 31 de diciembre del año 2023, asumiendo que cada año entre el año n y el 2023 sólo se paga la transferencia mínima anual proyectada. Este porcentaje es resultado de dividir la proyección de cuentas de la empresa en CAXDAC para el año n por la proyección del cálculo actuarial para el año n.

: Valor del cálculo actuarial del régimen de transición proyectado con corte a 31 de diciembre del año n.

Las proyecciones deberán realizarse cada año para efecto de calcular la transferencia adicional mensual que deberá realizarse a partir de la información disponible del año inmediatamente anterior al año n en que se efectuarán las transferencias.

Para efectos de calcular el valor faltante proyectado asumiendo que las empresas deben pagar el valor de la nómina, se realizan a lo largo del plazo establecido por la ley, las proyecciones para lo cual se deberá seguir la metodología señalada a continuación:

i). VALOR ANUAL NOMINA DE PENSIONADOS Y PROYECCIONES PARA EL PAGO DEL AÑO n: El valor anual de la nómina de pensionados a cargo de la empresa incluye las mesadas corrientes, primas y aporte para salud, este último referente a beneficiarios del artículo 143 de la Ley 100/93. Estos valores se proyectan como un valor cierto, a partir del año n -1, con incremento anual igual a la inflación señalada en el artículo 1° del Decreto 2783 de 2001, correspondiente al año n.

ii). PROYECCION ANUAL DE CALCULOS ACTUARIALES PARA PAGO DEL AÑO n: los cálculos actuariales desde el año n hasta el año 2023, se proyectan actuarialmente a partir del cálculo actuarial de transición con corte al año n - 1, con incremento anual igual a la inflación señalada en el artículo 1° del Decreto 2783 de 2001, correspondiente al año n.

iii). PROYECCION ANUAL DE LA RESERVA EN CUENTA de la EMPRESA en CAXDAC PARA EL PAGO DEL AÑO n: Se proyecta desde el año n hasta el año 2023, a partir de la reserva en cuenta de la empresa a 31 de diciembre del año n - 1, con una rentabilidad de las reservas igual a la tasa compuesta de inflación señalada en el artículo 1° del Decreto 2783 de 2001, correspondiente al año n, y la tasa de interés real del 4%.

Cada año el valor proyectado de la reserva en la cuenta empresa en CAXDAC en el año 2003 se divide por el valor proyectado de cálculo actuarial a ese año, el cociente de estos valores es el porcentaje cubierto de pasivo pensional para (2023) que al restarlo del 100% arroja el faltante requerido para alcanzar la cobertura de pasivo total al año 2023 (i-pa 2023).

b). Pago bonos pensionales de los beneficiarios del régimen de Pensiones Especiales Transitorias afiliados a CAXDAC. El valor del pago por este concepto de las obligaciones por bonos de que trata el literal a) del artículo 2° de este decreto será la suma de un pago mínimo equivalente al valor de los bonos que se redimen en el año, más un valor adicional que amortice gradualmente los bonos que se redimen a partir del año 2024, de acuerdo a la siguiente formulación:

Donde:

: Año en que se va efectuar el pago, n = 2009, 2010,..., 2023.

: Valor total mensual a pagar en el año n.

: Pago mínimo mensual para el año n; corresponde a la doceava parte del valor de las redenciones causadas en el año n, de conformidad con el cálculo actuarial del año n - 1, de no existir este cálculo se utilizará el elaborado por CAXDAC, y la proyección de las redenciones según metodología señalada en los numerales i), ii) y iii) siguientes.

: Es el valor adicional mensual correspondiente al año n; se estima como:

El valor de la transferencia adicional , será calculado como:

Donde:

: Valor IPC Decreto 2783/2001, correspondiente al año n.

: Valor presente al 31 de diciembre de 2024, en pesos corrientes de 2024, de las redenciones posteriores al año 2023, según proyección resultante de la aplicación de lo señalado en los numerales i), ii) y iii) que se enuncian a continuación.

i). CALCULO ACTUARIAL BONOS PENSIONALES AVIADORES BENEFICIARIOS DEL REGIMEN DE PENSIONES ESPECIALES TRANSITORIAS AFILIADOS A CAXDAC

PARA EL PAGO EN EL AÑO n: Corresponde al valor del pasivo pensional actuarial a cargo de la empresa con corte a 31 de diciembre del año anterior, por concepto de los Bonos Pensionales por el tiempo laborado con anterioridad al 1° de abril de 1994, por parte de los aviadores civiles afiliados a CAXDAC beneficiarios del régimen de Pensiones Especiales Transitorias.

1. CLASIFICACION DEL PERSONAL

En el cálculo actuarial se incluyen aquellos aviadores civiles beneficiarios del régimen de Pensiones Especiales Transitorias afiliados a CAXDAC, que tienen algún tiempo laborado en la empresa con anterioridad al 1° de abril de 1994.

2. CRITERIOS TÉCNICOS

*El tiempo válido para bono es la totalidad del tiempo laborado en empresas con anterioridad al 1° de abril de 1994.

*Para efectos de determinar la edad de referencia se consideran los requisitos para pensión señalados en el artículo 6° del Decreto 1282 de 1994. En todo caso se tendrá en cuenta lo previsto en el Acto Legislativo 01 de 2005.

*El salario base corresponde al reportado por las empresas a CAXDAC el 31 de marzo de 1994, o en su defecto el reportado el 30 de junio de 1992, o en caso que estos no existan, el último conocido con anterioridad al 31 de marzo de 1994. En cualquier caso, el salario se indexará hasta el 31 de marzo de 1994.

*La cuota parte a cargo de la empresa corresponde a la proporción entre el tiempo válido para bono y el tiempo laborado en la empresa con anterioridad al 1° de abril de 1994.

3. FORMULACION

La formulación de los bonos pensionales a que se refiere el inciso 3° del artículo 6° del Decreto 1282 de 1994 y los parámetros técnicos corresponden a lo señalado en el Decreto 1887 de 1994, teniendo en cuenta los criterios técnicos anteriormente mencionados.

ii). PROYECCION DEL VALOR DE LAS REDENCIONES FUTURAS PARA EL PAGO EN EL AÑO n: Corresponde al valor consolidado en pesos corrientes de las redenciones individuales en cada año, desde el año 2009 hasta el año 2023, utilizando el factor diario de capitalización y actualización (1+factor)*(1+0.03)A(1/365) el cual se aplica individualmente desde la fecha de corte del cálculo actuarial hasta la fecha de redención; lo anterior, para todas las redenciones que ocurran en el año de referencia. El "factor" será el establecido en el numeral 1 del artículo 1° del Decreto 2783 de 2001.

iii). VALOR PRESENTE DE LAS PROYECCIONES DE REDENCIONES POSTERIORES AL AÑO 2023. Corresponde al valor consolidado en pesos corrientes de 2024 de todas las redenciones que se causen con posterioridad al 31 de diciembre de 2023. Para estos efectos se utiliza el factor anual de descuento 1/(1+factor). El "factor" será el establecido en el numeral 1 del artículo 1° del Decreto 2783 de 2001.

Parágrafo. Los anteriores pagos son el mínimo a que están obligadas las empresas. No obstante, las empresas podrán hacer aportes adicionales, sin que ello las exima de la obligación de realizar los aportes regulares que les corresponden de acuerdo con el presente decreto.

Artículo 5°. Aprobación de los cálculos actuariales y proyecciones. Las empresas del sector privado de que trata el artículo 3° de la Ley 860 de 2003, deberán someter a la aprobación de la Superintendencia de Puertos y Transporte a más tardar en el mes de febrero de cada año, el cálculo actuarial de que trata el artículo 1° del presente decreto, junto con las proyecciones de que tratan los literales a) y b) del artículo 4° de este decreto.

Mientras se emite la aprobación por parte de la Superintendencia de Puertos y Transporte o en el evento en que la empresa no presente el cálculo en el plazo previsto, para efectuar los pagos de las transferencias, CAXDAC utilizará, para realizar el cobro correspondiente, el cálculo actuarial y sus proyecciones, presentados por la respectiva empresa con corte a 31 de diciembre del año anterior o el último aprobado con los ajustes de que habla este artículo.

Si el cálculo finalmente aprobado es más alto que el valor cancelado, la empresa tendrá una semana para pagar la diferencia, a partir de la fecha en que se le informe, y de allí en adelante continuará pagando sobre dicho monto.

La Superintendecia de Puertos y Transporte deberá informar a la Superintendencia Financiera de Colombia, las empresas que han presentado cálculos actuariales para su aprobación y también deberá informar una vez realizada la aprobación de cada uno de los cálculos.

Una vez integrada la totalidad del cálculo actuarial en CAXDAC, según los parámetros de conmutación, CAXDAC deberá otorgar el paz y salvo correspondiente en relación con la reservas pagadas, sin perjuicio de que se expresen salvedades en relación con los bonos y títulos pensionales que no se hayan hecho exigibles a dicha fecha.

Artículo 6°. Título ejecutivo. Sin perjuicio de la obligación de las empresas de liquidar la transferencia y de realizar el pago en la oportunidad prevista, la facturación mensual de CAXDAC, ajustada a lo señalado en el presente Decreto, presta mérito ejecutivo de conformidad con el artículo 24 de la Ley 100 de 1993.

Artículo 7°. Vigencia y derogatorias. El presente decreto rige a partir de la fecha de su publicación y deroga las disposiciones que le sean contrarias. Las reglas del presente decreto se aplicarán al cálculo actuarial correspondiente a la vigencia 2008, que será soporte para la transferencia que deba realizarse en 2009.

Publíquese y cúmplase

Dado en Bogotá, D. C., a 15 de abril de 2009.

FABIO VALENCIA COSSIO

El Ministro de Hacienda y Crédito Público,

Oscar Iván Zuluaga.

El Ministro de Transporte,

Andrés Uriel Gallego Henao

NOTA: Publicado en el Diario Oficial 47.322 de abril 16 de 2009.