RÉGIMEN LEGAL DE BOGOTÁ D.C.

© Propiedad de la Secretaría Jurídica Distrital de la Alcaldía Mayor de Bogotá D.C.

Secretaría
Jurídica Distrital

Cargando el Contenido del Documento
Por favor espere...

Concepto 22 de 2010 Secretaría General Alcaldía Mayor de Bogotá, D.C.

Fecha de Expedición:
21/04/2010
Fecha de Entrada en Vigencia:
Medio de Publicación:
N.P.
La Secretaría Jurídica Distrital aclara que la información aquí contenida tiene exclusivamente carácter informativo, su vigencia está sujeta al análisis y competencias que determine la Ley o los reglamentos. Los contenidos están en permanente actualización.


 
 

2214200

2214200

Bogotá, D.C.,

Concepto 22 de 2010

Abril 21 de 2010

Doctora

MARTHA LUCÍA VÉLEZ VALLEJO

Jefe oficina de Nóminas

Secretaría de Educación Distrital.

Avenida El Dorado No. 66-63

Ciudad

Radicación 2-2010-15238

Asunto: Su oficio S-044180 de fecha 23 de marzo de 2010. Concepto Liquidación Sentencias. Radicado No. 1-2010-11201.

Respetada doctora Vélez:

Hemos recibido el oficio del asunto, mediante el cual solicita emitir pronunciamiento sobre el procedimiento que se debe seguir para dar cumplimiento a las sentencias condenatorias en donde se ordena por parte de los Despachos Administrativos el reconocimiento y pago de sumas de dinero las cuales deben ser actualizadas de conformidad con lo previsto en el artículo 178 de Código Contencioso Administrativo.

Específicamente efectúa los siguientes cuestionamientos:

"1. Al momento de proceder a liquidar una sentencia condenatoria ¿Qué IPC se debe tener en cuenta:

a). ¿El del momento de la ejecutoria de la sentencia?

b). ¿El del momento en que se va efectuar el respectivo pago?

c). ¿En cualquiera de los eventos anteriores se debe reconocer también intereses moratorios?

2. ¿El pago de los intereses moratorios se causan efectivamente desde la ejecutoria de la sentencia?"

Para absolver la consulta, se tendrán en cuenta la figura jurídica de la indexación en materia de condenas laborales así como pago de intereses moratorios, conforme a las siguientes:

CONSIDERACIONES

I. LA INDEXACIÓN

La indexación ha sido definida por la doctrina como un sistema que consiste en la adecuación automática de las magnitudes monetarias a las variaciones del nivel de precios, con el fin de mantener constante, el valor real de éstos, para lo cual se utilizan diversos parámetros que solos o combinados entre si, suelen ser: el aumento del costo de la vida, el nivel de aumento de precios mayoristas, los salarios de los trabajadores, los precios de productos alimenticios de primera necesidad, etc.

El Consejo de Estado1, define la indexación de las obligaciones como una figura que nace como una respuesta a un fenómeno económico derivado del proceso de depreciación de la moneda cuya finalidad última es conservar en el tiempo su poder adquisitivo, de tal manera que, en aplicación de principios, tales como, el de equidad y de justicia, de reciprocidad contractual, el de integridad del pago y el de reparación integral del daño, el acreedor de cualquier obligación de ejecución diferida en el tiempo esté protegido contra sus efectos nocivos.

Ahora bien, en materia laboral el Consejo de Estado, Sala Plena, Sentencia S-638 del 28 de julio de 1996, respecto a la Indexación señaló:

"Como ya lo ha señalado en repetidas oportunidades la Corporación, las sumas que se ordenará pagarle a la actora en este evento deberán ser actualizadas mediante la aplicación de los ajustes de valor contemplados en el artículo 178 del C.C.A., para lo cual deberá aplicarse la fórmula que ha estructurado la Sección Tercera, y que ha acogido y utilizado en otros casos la Sección Segunda. En efecto, es incuestionable que la inflación que viene padeciendo nuestra economía, reflejo de un fenómeno que es mundial, produce una pérdida notoria de la capacidad adquisitiva de la moneda, por manera que ordenar hoy el pago de esas cantidades por su valor nominal implicaría un enriquecimiento sin justa causa para el Estado y un empobrecimiento correlativo para la actora. Por consiguiente, en aras de la aplicación del principio de equidad contemplado en el artículo 230 de la Carta Fundamental y de las disposiciones legales que se relacionan con este tema, es indispensable que se ordene la "indexación" de esos valores, para que el restablecimiento del derecho sea completo. De suyo, normas como el artículo 1626 del Código Civil según el cual "el pago efectivo es la prestación de lo que se debe" y el propio artículo 178 del C.C.A., llevan implícita la condición de que el resarcimiento sea total e íntegro; y es elemental que el deterioro de la moneda debe ser absorbido por el obligado a satisfacer dicha prestación."

De otra parte, respecto a la fórmula para liquidar la indexación, la Alta Corporación Administrativa ha dispuesto:

"Ahora bien, para liquidar la indexación la entidad demandada deberá aplicar la fórmula que se señalará en la parte resolutiva de esta providencia de manera escalonada, es decir, que el mes más antiguo tendrá una actualización mayor a la de los subsiguientes, y el mes más reciente una menor, y como es lógico, realizando una operación aritmética similar en relación con cada aumento o reajuste salarial. O sea, que para ello deberá tomar en cuenta los aumentos o reajustes reconocidos o destacados periódicamente, para deducir la indexación que afecta las sumas causadas mes por mes."

Consejo de Estado. Sección Segunda. Sentencia del 28 de octubre de 1999, sobre aplicación de la fórmula señala:

"De conformidad con la tesis acogida por la Sala en cuanto a la aplicación de los ajustes de valor contemplados en el artículo 178 del C.C.A (Indexación), se decretará habida cuenta de que se trata de un factor de equidad, en virtud del cual se conserva la capacidad adquisitiva de estas sumas por manera que lo contrario implicaría un desmedro o empobrecimiento para el actor y consecuentemente un enriquecimiento sin causa para el organismo oficial.

"Ahora bien, para liquidar dicha indexación la entidad demandada deberá aplicar la fórmula que se señalará en la parte resolutiva de esta providencia de manera escalonada, es decir, que el mes más antiguo tendrá una actualización mayor a la de los subsiguientes, y el mes más reciente una menor, y como es lógico, realizando una operación aritmética similar en relación con cada aumento o reajuste salarial. O sea, que para ello deberá tomar en cuenta los aumentos o reajustes reconocidos o decretados periódicamente, para deducir la indexación que afecta las sumas causadas mes por mes.

"De igual modo, se ordene la actualización de las condenas en los términos del artículo 178 del C.C.A., dando aplicación a la siguiente fórmula:

"En la que el valor presente (R) se determina multiplicando el valor histórico (R.H.), que es lo dejado de percibir por el demandante por concepto desde la fecha en que fue desvinculado del servicio, por el guarismo que resulte de dividir el índice final de precios al consumidor certificado por el DANE, vigente en la fecha de ejecutoria de esta providencia, por el índice inicial vigente para la fecha de la desvinculación.

"Es claro que por tratarse de pagos de tracto sucesivo, la fórmula se aplicará separadamente mes por mes, para cada pago mensual y para los demás emolumentos, teniendo en cuenta que el índice inicial es el vigente al momento del causación de cada uno de ellos."

II. PAGO DE INTERESES MORATORIOS.2

En relación con los intereses moratorios, el artículo 177 del Código Contencioso Administrativo en uno de sus apartes señala:

"ARTICULO 177. Efectividad de condenas contra entidades públicas.

(…)

Será causal de mala conducta de los funcionarios encargados de ejecutar los presupuestos públicos, pagar las apropiaciones para el cumplimiento de condenas más lentamente que el resto. Tales condenas, además, serán ejecutables ante la justicia ordinaria dieciocho (18) meses después de su ejecutoria.

Las cantidades líquidas reconocidas en tales sentencias devengarán intereses comerciales durante los seis (6) meses siguientes a su ejecutoria y moratorios después de este término." (resaltado y subrayado fuera del texto original).

Las frases que aparecen subrayadas fueron declaradas inexequibles, mediante sentencia C-188 de 1993, por cuanto la Corte Constitucional consideró que los plazos establecidos en el artículo 177 violaban los principios de equidad e igualdad. Al efecto la sentencia señaló:

"Para la Corte es claro que el principio de igualdad y la equidad imponen que en estos casos las dos partes reciban igual trato, sin que se justifique en modo alguno que mientras el Estado cobra a los contribuyentes intereses moratorios cuando ellos no pagan a tiempo los impuestos, y ello a partir del primer día de retardo en el pago, las obligaciones en mora a cargo del Estado deban forzosamente permanecer libres de la obligación de cancelar dichos réditos durante seis meses, con notorio perjuicio para los particulares que han debido recibir oportunamente los recursos pactados. Durante ese tiempo, el dinero no recibido por el acreedor pierde poder adquisitivo y no existe razón válida para que esa pérdida la deba soportar el particular y no el Estado, que incumple.

Es evidente la vulneración del artículo 13 de la Constitución Política, toda vez que, con independencia de si el deudor es el gobernado o el ente oficial, el hecho es el mismo; la circunstancia es equivalente; el daño económico que sufre el acreedor por causa de la mora es idéntico; y las obligaciones asumidas por las entidades públicas no tienen alcance jurídico diverso de las que están a cargo de las personas privadas.

(...)

Es entendido que, en las dos normas sobre cuya constitucionalidad resuelve la Corte, el momento en el cual principia a aplicarse el interés de mora depende del plazo con que cuente la entidad pública obligada, para efectuar el pago. Así, en el caso de la conciliación, se pagarán intereses comerciales durante el término que en ella se haya pactado y, vencido éste, a partir del primer día de retardo, se pagarán intereses de mora. En cuanto al artículo 177 del Código Contencioso Administrativo, a menos que la sentencia que impone la condena señale un plazo para el pago -evento en el cual, dentro del mismo se pagarán intereses comerciales-, los intereses moratorios se causan a partir de la ejecutoria de la respectiva sentencia, sin perjuicio de la aplicación del término de dieciocho (18) meses que el precepto contempla para que la correspondiente condena sea ejecutable ante la justicia ordinaria."

El fallo antes citado orienta a la administración en el deber de actuar con celeridad para cumplir las condenas a la brevedad posible, toda vez, que determina un cambio sustancial del contenido de la norma demandada, al suprimir el plazo de seis meses con el que contaba la entidad pública condenada y sobre el cual se pagaban intereses comerciales, más no moratorios.

En concordancia con lo anterior, el artículo 60 de la Ley 446 de 1998, que modifica el artículo 177 del Código Contencioso Administrativo, prevé:

"ARTICULO 60, adiciona el artículo 177 del C.C.A. Pago de sentencias. Cumplidos seis meses desde la ejecutoria de la providencia que imponga o liquide una condena o de la que apruebe una conciliación, sin que los beneficiarios hayan acudido ante la entidad responsable para hacerla efectiva, acompañando la documentación exigida para el efecto, cesará la causación de intereses de todo tipo desde entonces hasta cuando se presentare la solicitud en legal forma.

En asuntos de carácter laboral, cuando se condene a un reintegro y dentro del término de seis meses siguientes a la ejecutoria de la providencia que así lo disponga, éste no pudiere llevarse a cabo por causas imputables al interesado, en adelante cesará la causación de emolumentos de todo tipo."

El inciso primero del artículo citado fue demandado en acción de constitucionalidad y declarado exequible mediante sentencia C-428 de 2002, al señalar:

"En torno al tema de la responsabilidad patrimonial del Estado, cabe precisar que los artículos 345 y 346 de la Constitución Política, relativos al presupuesto, consagran lo que la doctrina y la jurisprudencia han llamado el principio de legalidad del gasto público, en virtud del cual, el recaudo y aplicación de los dineros estatales deben manejarse de conformidad con reglas y procedimientos predeterminados y contables, de manera que, para que una erogación pueda ser efectivamente realizada, tiene que haber sido previamente decretada por Ley, ordenanza o acuerdo, e incluida dentro del respectivo presupuesto.

(...)

4.3.6. En punto a los incisos que fueron adicionados al artículo 177 del C.C.A. por parte del artículo 60 de la Ley 446 de 1998, se tiene que, por su intermedio, el legislador se ocupó de fijar un plazo para que el beneficiario de una condena, un acuerdo conciliatorio o un reintegro laboral, busque su pronta efectividad mediante el uso de los mecanismos legales antes descritos y establecidos para dicha finalidad, previendo a su vez una consecuencia jurídica imputable al ejercicio tardío del derecho a obtener el pago oportuno del crédito.

En ese sentido, a través del inciso 6° acusado se le impone a los beneficiarios de las condenas judiciales o acuerdos conciliatorios, el deber de acudir ante la entidad estatal responsable dentro de los seis meses siguientes a la ejecutoria de la providencia, en procura de presentar la documentación y solicitar la efectividad de la condena, ordenando a su vez cesar la causación de todo tipo de intereses, cuando aquél no se acerque a efectuar la reclamación dentro del plazo señalado, y hasta cuando se presente la solicitud en legal forma.

Por su parte, en el inciso 7° se dispone cesar todos los emolumentos derivados de condenas a reintegros de carácter laboral, cuando éstos no se han llevado a cabo dentro de los seis meses siguientes a la ejecutoria de la providencia que lo disponga, por causas imputables al interesado.

(...)

Pues bien, una lectura cuidadosa de la regla materia del presente debate, interpretada en concordancia con el conjunto de previsiones normativas a las que se ha hecho referencia expresa en acápites anteriores, permite concluir que la razón de su incorporación en el texto normativo del artículo 177 del C.C.A., no es otra que la de propender por la defensa del patrimonio público y por la garantía del interés general, en cuanto busca que los beneficiarios de condenas contra entidades estatales actúen de buena fe y con diligencia frente a la reclamación que deben presentarles, procurando con ello que los funcionarios llamados a cumplir los fallos adopten en forma pronta y oportuna las medidas que sean necesarias para su ejecución y cumplimiento, e impidiendo que la Administración se vea abocada a reconocer y pagar una mayor cantidad de intereses moratorios; en este caso específico, derivados de la actitud negligente del acreedor."

El fallo de la Corte al declarar la exequibilidad del artículo 604 morigera el efecto del señalamiento jurisprudencial para que se reconozcan intereses a partir de la ejecutoria de la condena judicial e impide que el beneficiario de la condena judicial demore por tiempo indefinido su reclamación para hacerla efectiva, con el objeto de que se generen mayores intereses de mora.

Adicionalmente, la Corte en el mismo fallo resalta la aplicación del principio de legalidad del presupuesto cuando señala que los gastos en que incurre la administración pública por concepto de créditos judiciales deben estar previstos en el presupuesto y por tanto, cumplir el trámite legal correspondiente.

De otra parte, el artículo 179 del Código Contencioso Administrativo señala que: "Las condenas de otro orden, en favor o en contra de la administración, se regirán por los artículos 334 y 339 del Código de Procedimiento Civil". A continuación, se cita el artículo 334 del C.P.C.

"ARTICULO 334. Modificado. D.E. 2282/89, ARTICULO 1º, num. 156. Procedencia. Podrá exigirse la ejecución de las providencias una vez ejecutoriadas, o a partir del día siguiente al de la notificación del auto de obedecimiento a lo resuelto por el superior, según fuere el caso, y cuando contra ellas se haya concedido apelación en el efecto devolutivo.

Si en la providencia se fija un plazo para su cumplimiento o para hacer uso de una opción, éste sólo empezará a correr a partir de la ejecutoria de aquélla, o de la notificación del auto de obedecimiento a lo resuelto por el superior, según fuere el caso. La condena total o parcial que se haya subordinado a una condición, sólo podrá ejecutarse una vez demostrado el cumplimiento de ésta."

Lo antes transcrito muestra que las sentencias proferidas en otras jurisdicciones entran a regir al día siguiente de su ejecutoria a menos que exista un plazo específico fijado por el juez. Tal situación se equipara a lo que ocurre con la jurisdicción de lo Contencioso Administrativo a partir del pronunciamiento C-188 de 1999 de la Corte Constitucional.

CONCLUSIÓN

Con fundamento en lo anteriormente expuesto, se contesta:

1. Al momento de proceder a liquidar una sentencia condenatoria ¿Qué IPC se debe tener en cuenta:

a). ¿El del momento de la ejecutoria de la sentencia?

b). ¿El del momento en que se va efectuar el respectivo pago?

c). ¿En cualquiera de los eventos anteriores se debe reconocer también intereses moratorios?

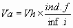
Para la actualización (indexación) de las sumas a reconocer y pagar conforme a lo previsto por el artículo 178 del Código Contencioso Administrativo, ordenada mediante sentencia condenatoria, deberá aplicarse la fórmula establecida en la misma, que al efecto dispone:

En donde el valor actualizado (Va) se determina multiplicando el valor histórico (Vh), que es lo dejado de percibir por el demandante por cada concepto, desde la fecha en que fue desvinculado del servicio, por el guarismo que resulte de dividir el índice final (ind.f) de precios al consumidor certificado por el DANE, vigente en la fecha de ejecutoria de la providencia, por el índice inicial (ind.i) vigente para la fecha de la desvinculación.

Finalmente, respecto al reconocimiento simultáneo de la indexación e intereses moratorios la Corte Constitucional5 los señala como incompatibles al considerar que:

"(…) De otro lado, también milita la circunstancia de que en relación con el pago simultáneo de intereses moratorios e indexación la jurisprudencia de esta Corporación haya señalado que el pago de intereses moratorios busca que el salario y las prestaciones sociales, conserven su valor real, por lo cual resulta incompatible el pago de esos dos conceptos al mismo tiempo pues ambos persiguen la idéntica finalidad que es compensar la pérdida del valor adquisitivo del dinero.(…)"

(Subrayado por fuera de texto)

2. ¿El pago de los intereses moratorios se causan efectivamente desde la ejecutoria de la sentencia?

Frente a las condenas judiciales desfavorables a la administración, siguiendo los postulados de la Corte Constitucional6, se tiene que a partir de la ejecutoria de la sentencia, darán lugar al reconocimiento de intereses de mora, a menos que la misma fije un plazo determinado para el pago de la condena; caso en el cual, aplicará lo expresado respecto a la conciliación, valga precisar, durante el plazo corren intereses comerciales y vencido éste intereses moratorios.

Ahora, el plazo de 18 meses previsto en el artículo 177 del Código Contencioso Administrativo cuenta como un requisito de procedibilidad para que el beneficiario de la condena judicial inicie contra la administración un proceso ejecutivo, pero no exime a la administración del pago de intereses, los cuales se causan como moratorios a partir de la ejecutoria de la sentencia, si en ésta no se ha concedido un plazo al efecto, como lo sería el dispuesto por el artículo 176 del Código Contencioso Administrativo.

No obstante lo anterior, esta Dirección advierte que frente a casos particulares y concretos es competencia de la Oficina Asesora Jurídica de la Secretaría de Educación del Distrito, al tenor de lo previsto en el literal b) del artículo 8° del Decreto Distrital 330 de 2008, dependencia que sólo requerirá el pronunciamiento de esta Dirección cuando se den los presupuestos contenidos en el artículo 6° del Decreto 581 de 2007, y con las formalidades allí previstas.

En los anteriores términos se absuelve la consulta formulada.

Cordialmente,

CAMILO JOSÉ ORREGO MORALES

AMPARO DEL PILAR LEÓN SALCEDO

Director Jurídico Distrital (E)

Subdirectora Distrital de Doctrina y Asuntos Normativos

c.c.

Doctor Carlos Manuel Campo Guerrero Jefe Oficina Asesora Jurídica – Secretaría de Educación Distrital.

NOTAS DE PIE DE PÁGINA

1 SALA DE CONSULTA Y SERVICIO CIVIL, Consejero Ponente: SUSANA MONTES DE ECHEVERRI

Radicación No. 1.564.

2 Estudio Cumplimiento y Pago de Sentencias - Situación en el Distrito Capital. Secretaría General - Dirección Jurídica Distrital - Subdirección de Estudios. Abogado investigador: Sandra Helena Mejía García. Bogotá D.C., Julio de 2006.

3 Además de demandar el artículo 177 del C.C.A., también se acusó el artículo 172 de la Ley 446 de 1998. Los demandantes argumentan que las normas demandadas incitan al incumplimiento de la obligación contraída por la entidad estatal y además, no establece una sanción para ello.

4 La Corte Constitucional, como quiera que el artículo 60 de la Ley 446 de 1998 (norma demandada) adiciona el artículo 177 del Código Contencioso Administrativo, a los incisos que se refiere la demanda los denomina sexto y séptimo del artículo 77.

5 Sentencias C-781 de 2003, C-231 de 2003 y T-531 de 1999 entre otras.

6 Sentencia C-188 de 1993

Proyectó: L. Enrique López Carrizosa.

Revisó: Amparo del Pilar León Salcedo.

Aprobó: Camilo José Orrego Morales.