RÉGIMEN LEGAL DE BOGOTÁ D.C.

© Propiedad de la Secretaría Jurídica Distrital de la Alcaldía Mayor de Bogotá D.C.

Secretaría
Jurídica Distrital

Cargando el Contenido del Documento
Por favor espere...

Resolución 844 de 2014 Secretaría Distrital del Hábitat

Fecha de Expedición:
09/10/2014
Fecha de Entrada en Vigencia:
20/10/2014
Medio de Publicación:
Registro Distrital No. 5454 del 20 de octubre de 2014.
La Secretaría Jurídica Distrital aclara que la información aquí contenida tiene exclusivamente carácter informativo, su vigencia está sujeta al análisis y competencias que determine la Ley o los reglamentos. Los contenidos están en permanente actualización.


 
 

RESOLUCIÓN 844 DE 2014

(Octubre 09)

Por medio de la cual se adopta el reglamento operativo para el otorgamiento del Subsidio Distrital de Vivienda en Especie para Vivienda de Interés Prioritario en el Distrito Capital, en el marco del Decreto Distrital 539 de 2012

LA SECRETARIA DISTRITAL DEL HÁBITAT

De conformidad con lo establecido en el Acuerdo No. 257 de 2006 y en ejercicio de las atribuciones conferidas en los Decretos Distritales Nos. 121 de 2008, 539 de 2012 y 117 de 2014, y demás normas concordantes, y

CONSIDERANDO:

Que el artículo 51 de la Constitución Política establece que todos los colombianos tienen derecho a una vivienda digna y corresponde al Estado fijar las condiciones necesarias para hacer efectivo este derecho, promover planes de vivienda de interés social y sistemas adecuados de financiación a largo plazo y formas asociativas de ejecución de estos programas de vivienda.

Que la ley 3ª de 1991 en su artículo modificado por el artículo de la Ley 1432 de 2011 y el artículo 28 de la Ley 1469 de 2011, establece el Subsidio Familiar de Vivienda como un aporte estatal en dinero o en especie que podría aplicarse en lotes con servicios para programas de desarrollo de autoconstrucción, entre otros, otorgado por una sola vez al beneficiario con el objeto de facilitarle una solución de vivienda de interés social, sin cargo de restitución siempre que el beneficiario cumpla con las condiciones que establece esta Ley.

Que el Decreto Nacional 1168 de 1996 estableció, en su artículo 1°, que los subsidios para vivienda de interés social que los municipios decidan otorgar son complementarios al subsidio nacional de vivienda y podrán ser entregados en dinero o en especie, según lo determinen las autoridades municipales competentes, y en su artículo 5º, que la cuantía del subsidio será definida por las autoridades municipales competentes de acuerdo con los recursos disponibles, las condiciones socioeconómicas de los hogares y el tipo y valor de la solución de vivienda

Que el artículo 96 de la Ley 388 de 1997 estableció como otorgantes del subsidio de vivienda entre otros, a las entidades territoriales y sus institutos descentralizados, cuyo objetivo sea el apoyo a la vivienda de interés social en todas sus formas.

Que la Ley 1537 de 2012 estableció en su artículo 12º el subsidio en especie para familias de menores recursos, disponiendo que las viviendas resultantes de los proyectos que se financien con los recursos destinados a otorgar subsidios familiares de vivienda por parte del Gobierno Nacional, así como los predios destinados y/o aportados a este fin por las entidades territoriales incluyendo sus bancos de suelo o inmobiliarios, se podrán asignar a título de subsidio en especie a los beneficiarios.

Que la sentencia T-025 de 2004 y los autos de seguimiento en materia de vivienda, en especial el 383 de 2010, el 008 de 2009 y el 116-A de mayo de 2012, establecen condiciones para propiciar los proyectos de vivienda urbana y rural para víctimas, así como para los procesos de retorno y reubicación de la población en situación de desplazamiento forzado por el conflicto interno.

Que mediante el artículo 112 del Acuerdo Distrital 257 del 30 de noviembre de 2006 "Por el cual se dictan normas básicas sobre la estructura, organización y funcionamiento de los organismos y de las entidades de Bogotá, Distrito Capital, y se expiden otras disposiciones", se creó la Secretaría Distrital del Hábitat como una entidad del sector central provista de autonomía administrativa y financiera, cuyo objeto es la formulación de las políticas de gestión del territorio urbano y rural facilitando el acceso de la población a una vivienda digna.

Que el Decreto Distrital 121 de 2008 definió la estructura organizacional de la Secretaría Distrital del Hábitat y, dentro de ella estableció que esta entidad tiene, entre otras funciones, formular la política y diseñar los instrumentos para la financiación del Hábitat, así como coordinar las intervenciones de las entidades adscritas y vinculadas en los planes de producción de vivienda de interés social y de renovación urbana entre otras.

Que a través del Acuerdo 489 del 12 de junio de 2012, el Concejo de Bogotá, adoptó el Plan de Desarrollo Económico, Social, Ambiental y de Obras Públicas para Bogotá Distrito Capital 2012-2016, "Bogotá Humana", el cual busca garantizar el goce efectivo del derecho a la vivienda incrementando la oferta de vivienda asequible y accesible con hábitat de calidad para los hogares de menores ingresos y en particular a los hogares víctimas del conflicto interno armado.

Que el Alcalde Mayor de Bogotá, D.C., expidió el Decreto 539 de 2012 "Por el cual se reglamenta el Subsidio Distrital de Vivienda en Especie en el marco del Plan de Desarrollo Económico, Social, Ambiental y de Obras Públicas Para Bogotá D.C. 2012 - 2016 - Bogotá Humana", modificado por el Dereto166 de 2014 "Por medio del cual se modifica el Decreto 539 de 2012 y se adoptan medidas para incorporar el enfoque diferencial en la política de vivienda distrital en relación con comunidades indígenas víctimas del conflicto armado" en los que se le asignó a la Secretaría Distrital del Hábitat, las funciones de administrar y otorgar los recursos destinados para tal fin y fijar la política aplicable.

Que de acuerdo con las facultades definidas en el artículo 8º del Decreto Distrital No. 539 de 2012, la Secretaría Distrital del Hábitat, coordinará la asignación de los aportes a proyectos de iniciativa pública o público-privada que se convertirán en subsidios en especie para los hogares, hará seguimiento a los proyectos y participará en las juntas o consejos directivos de los fideicomisos que se conformen.

Que adicionalmente el mencionado Decreto determinó en su artículo 11 que "La Secretaría Distrital del Hábitat expedirá el Reglamento Operativo para el otorgamiento y ejecución de los subsidios en especie a los hogares beneficiarios estableciendo, como mínimo, los criterios generales para el acceso, las causales de pérdida y sus consecuencias."

Que en virtud de lo dispuesto previamente, esta entidad expidió la Resolución 176 del 2 de abril de 2013, "Por medio de la cual se adopta el reglamento operativo para el otorgamiento del Subsidio Distrital de Vivienda en Especie para Vivienda de Interés Prioritario en el Distrito Capital, en el marco del Decreto Distrital 539 de 2012".

Que mediante Resolución No. 1168 de 2013 se modificó la Resolución 176 de 2013 "Por medio de la cual se adopta el reglamento operativo para el otorgamiento del Subsidio Distrital de Vivienda en Especie para Vivienda de Interés Prioritario en el Distrito Capital, en el marco del Decreto Distrital 539 de 2012"

Que mediante la Resolución 328 del 28 de mayo de 2014, la Secretaría Distrital del Hábitat eliminó la restricción prevista en el numeral 4 del artículo 16 de la Resolución 1168 del 05 de diciembre de 2013, que modificó el artículo 39 de la Resolución 176 del 02 de abril de 2013, en el sentido de que los hogares que se encuentren afiliados a una caja de compensación familiar puedan adelantar el trámite correspondiente para la asignación del Subsidio Distrital de Vivienda en Especie.

Que con el propósito de facilitar el acceso al Subsidio Distrital de Vivienda en Especie a la población de menores ingresos del Distrito Capital, se hace necesario racionalizar los requisitos y procedimientos establecidos en las Resoluciones 176 de 2013, 1168 de 2013 y 328 de 2014 emitidas por la Secretaría Distrital del Hábitat, adoptando un nuevo reglamento operativo a fin de materializar el derecho a la vivienda digna conforme al artículo 51 de la Constitución Política.

Que en virtud de lo anterior este Despacho,

RESUELVE:

TITULO I

GENERALIDADES- MODALIDADES Y ESQUEMAS DEL SUBSIDIO DISTRITAL DE VIVIENDA EN ESPECIE

ARTÍCULO 1. Objeto. La presente resolución adopta el reglamento operativo para el otorgamiento de los subsidios de vivienda en especie en el Distrito Capital, en desarrollo del Decreto 539 de 2012 y en el marco del Plan de Desarrollo Económico, Social, Ambiental y de Obras Públicas para Bogotá D.C. 2012-2016, Bogotá-Humana.

ARTÍCULO 2. Definición- SDVE. Se entiende por Subsidio Distrital de Vivienda en Especie el porcentaje del costo de la vivienda de interés prioritario de hasta 70 salarios mínimos legales mensuales vigentes, que haya sido financiado con aportes distritales, representados de acuerdo con la incidencia en el valor de la vivienda en suelo, inversiones en obras de urbanismo, diseños, estudios técnicos y en la construcción de las viviendas.

ARTÍCULO 3. Cobertura territorial. El SDVE podrá ser aplicado en áreas urbanas y rurales del Distrito Capital, sin perjuicio de lo dispuesto en el Acuerdo Distrital No. 468 de 2011, que permite su aplicación para retorno o reubicación en cualquier parte del territorio nacional, a los hogares en situación de desplazamiento forzado con ocasión del conflicto armado interno.

ARTÍCULO 4. Fuentes de recursos. El SDVE se financiará con: (i). Recursos del presupuesto distrital, (ii). Otros aportes de entidades distritales en obras o en dinero, destinados a proyectos de vivienda de interés prioritario, (iii). Los pagos o aportes provenientes de las compensaciones de la obligación de destinar un porcentaje de suelo a vivienda de interés prioritario, cuando el propietario opte voluntariamente por esta alternativa, de los que trata el artículo 5º del Decreto 539 de 2012, de conformidad con la reglamentación del artículo 66 del Acuerdo No.489 de 2012.

ARTÍCULO 5. Hogares que podrán acceder al Subsidio Distrital de Vivienda en Especie. Podrán acceder al SDVE los hogares víctimas del conflicto armado interno y los hogares en condición de vulnerabilidad, con ingresos totales mensuales no superiores a cuatro (4) SMLMV, salvo que se requiera un total de ingresos mensuales inferiores en el marco de un programa de vivienda específico y que cumplan con los requisitos establecidos en el presente reglamento operativo.

ARTÍCULO 6. Distribución de los recursos. La Secretaría Distrital del Hábitat tendrá en cuenta los porcentajes de distribución de los recursos del SDVE, establecidos en el artículo 7 del Decreto 539 de 2012: (i) 57% para población víctima del conflicto armado interno, y (ii) 43% para población en otras condiciones de vulnerabilidad.

PARÁGRAFO 1. La aplicación de los porcentajes señalados en el presente artículo dependerá de la asignación del Subsidio Familiar de Vivienda por parte del Gobierno Nacional, salvo que los hogares aporten recursos propios para alcanzar el cierre financiero.

ARTÍCULO 7. Esquemas para el acceso de los hogares al SDVE. Los hogares que deseen acceder al SDVE deberán cumplir con los requisitos del presente Reglamento Operativo y surtir el procedimiento de acuerdo con el esquema de postulación que elijan:

1. Esquema de postulación individual. El hogar es potencialmente beneficiario de manera general del subsidio y será convocado a postularse en la medida que se genere oferta de viviendas de interés prioritario a través de proyectos. El hogar deberá estar inscrito en el Sistema de Información para la Financiación de Soluciones de Vivienda –SIFSV de la Secretaría Distrital del Hábitat.

2. Esquema de postulación colectiva. El hogar hace parte de una Organización Popular de Vivienda (OPV) con una iniciativa de autogestión de un proyecto de vivienda.

3. Esquema de postulación territorial dirigida. El hogar es ocupante de un inmueble fiscal, poseedor o uno de los integrantes es propietario de una vivienda VIP o VIS de acuerdo con las definiciones de las normas que desarrollan el artículo 91 de la Ley 388 de 1997, susceptibles de mejoramiento; o de un predio para construcción de vivienda en sitio propio en un área de atención prioritaria (API) definida por la Secretaría Distrital del Hábitat. Se desarrolla a través de una entidad del Sector Hábitat o entidades privadas en asocio o alianza con ellas.

Los hogares víctimas del conflicto se podrán postular en la modalidad de sitio propio y las diferentes modalidades de mejoramiento, aún sin encontrarse ubicadas sus viviendas dentro de los polígonos de los proyectos presentados en el esquema territorial dirigido que hayan sido establecidos por el oferente y/o entidad operadora. Lo anterior solo aplica para predios ubicados en el Distrito Capital.

Esquema de postulación casa en mano. Modificado por el art. 1, Resolución Sec. Hábitat 1169 de 2015. El hogar presenta una alternativa de vivienda nueva o usada en suelo urbano o rural. Aplica para los hogares incluidos dentro del programa de reasentamiento de zonas de alto riesgo no mitigable o víctimas del conflicto interno armado; estas últimas podrán utilizar el subsidio en cualquier parte del territorio nacional. Este esquema aplica prioritariamente para la presentación de vivienda usada.

Cuando el hogar elija este esquema de postulación y la oferta sea vivienda nueva, el vendedor y/o constructor deberá certificar que la escrituración y entrega de la vivienda se realizaran dentro de la vigencia fiscal de la asignación del subsidio, en caso contrario no será viable asignar el Subsidio Distrital de Vivienda en Especie.

ARTÍCULO 8. Tipos de proyectos a los que pueden acceder los hogares. Son los siguientes:

1. Proyectos de vivienda nueva con sistema de postulación individual gestionados por la Secretaría Distrital del Hábitaty/o por las empresas o establecimientos públicos del sector Hábitat, directamente o de manera conjunta con el gobierno nacional.

2. Proyectos de vivienda nueva con sistema de postulación colectiva, auto gestionados por Organizaciones Populares de Vivienda (OPV).

3. Proyectos de mejoramiento y/o construcción en sitio propio y/o construcción de vivienda nueva en densificación, con sistema de postulación territorial dirigida, en un área pre-delimitada por la Secretaría Distrital del Hábitat y bajo la coordinación de una entidad operadora.

ARTÍCULO 9. Modalidades del subsidio distrital de vivienda en especie. El Subsidio Distrital de Vivienda en Especie se aplicará en las siguientes modalidades:

1. Adquisición de vivienda nueva: Consiste en la adquisición de una vivienda nueva de interés prioritario de hasta 70 salarios mínimos legales mensuales vigentes.

2. Construcción en sitio propio. Consiste en la construcción de una vivienda nueva de hasta 70 salarios mínimos legales mensuales vigentes en un lote, de propiedad o de posesión de uno de los integrantes del hogar, o en una terraza en la que se pueda aplicar un subsidio para adquisición de vivienda nueva.

3. Mejoramiento de Vivienda. Contempla tres alternativas:

a. Mejoramiento estructural de vivienda. Consiste en la solución a falencias constructivas y de diseño, que permita mejorar las condiciones de sismo-resistencia de una vivienda, de propiedad o de posesión del hogar.

b. Mejoramiento Habitacional de Vivienda. Consiste en las obras tendientes a mejorar las condiciones de habitabilidad y salubridad de una vivienda, de propiedad o de posesión del hogar, tales como: iluminación, ventilación, protección contra la intemperie y saneamiento básico, y en general de aquellas cuya deficiencia podría afectar la salud física y sicológica de sus habitantes. Los hogares con integrante en condición de discapacidad motriz podrán solicitar la inclusión de una rampa para acceder a su vivienda.

c. Redensificación. Consiste en la construcción de una losa para uno o varios pisos adicionales (terrazas) o la realización de una subdivisión, que permita la generación de una o varias soluciones habitacionales en el mismo predio, a favor de un hogar diferente.

Para este caso, el valor de la vivienda en la que se aplicará este subsidio podrá supera el valor de la Vivienda de Interés Social Prioritario determinado por el avaluó catastral, siempre y cuando producto de la aplicación del SDVE se genere al menos una Vivienda de Interés Prioritario de 70 Smlmv.

4. Adquisición de Vivienda Usada. Consiste en la adquisición de una vivienda usada de interés prioritario de hasta 70 salarios mínimos legales mensuales vigentes. El valor de la venta de la vivienda no podrá ser inferior al avalúo catastral.

ARTÍCULO 10. Valor del SDVE según modalidad. El valor del SDVE será el equivalente en salarios mínimos legales mensuales vigentes –SMLMV– en el año del otorgamiento, de acuerdo con la siguiente tabla:

Modalidad del SDVE

Valor del subsidio

Adquisición de vivienda nueva

Hasta 26

Construcción en sitio propio

Hasta 26

Mejoramiento estructural

Hasta 18

Mejoramiento habitacional

Hasta 18

Redensificación

Hasta 26

Adquisición de vivienda usada

Hasta 26

PARÁGRAFO. El valor del SDVE en cualquiera de las modalidades, aplicado fuera del Distrito Capital, se regirá por lo establecido en el Decreto 539 de 2012 o la norma que lo modifique, adicione o sustituya.

ARTÍCULO 11. Complementariedad entre subsidios y otro tipo de aportes. Se aplicarán las siguientes reglas para complementar distintos tipos de subsidios:

1. Complementariedad entre modalidades del SDVE. El SDVE podrá ser complementario entre sus modalidades, por una sola vez, siempre y cuando se aplique en la misma solución de vivienda y de acuerdo con lo que se establece en el siguiente cuadro:

Modalidad de SDVE otorgado por la SDHT

Modalidad de SDVE solicitado

Condiciones

Adquisición de Vivienda

Mejoramiento Estructural y/­­o Mejoramiento Habitacional

Cuando se requiera realizar adecuaciones estructurales y/o habitacionales, siempre y cuando, i) Hubieran transcurrido 5 años después de asignado el Subsidio Distrital en la modalidad de adquisición de vivienda, ii) Se demuestren circunstancias de fuerza mayor o caso fortuito que requieran de intervención.

Redensificación

Mejoramiento Estructural y/­­o

Mejoramiento de condiciones de habitabilidad

Siempre y cuando la suma de los subsidios asignados no supere los 26 Smlmv y se apliquen de forma simultánea.

2. Entre el Subsidio Familiar de Vivienda (SFV) Nacional otorgado por FONVIVIENDA y el SDVE. Modificado por el art. 1, Resolución Sec. Hábitat 575 de 2015. El SDVE será complementario con el SFV otorgado por FONVIVIENDA, por una sola vez, siempre y cuando se aplique en la misma solución de vivienda y de acuerdo con lo que se establece en el siguiente cuadro:

Subsidio Familiar de Vivienda – otorgado por FONVIVIENDA

SDVE

Condiciones

Adquisición de vivienda nueva o usada

Adquisición de vivienda nueva o usada

Siempre y cuando el SFV nacional esté vigente

Adquisición (lote con servicios)

Construcción en sitio propio

Ninguna

Mejoramiento de condiciones de habitabilidad

Solo para vivienda usada y transcurridos 5 años contados a partir de la adquisición del predio

Mejoramiento estructural

Solo para vivienda usada y transcurridos 5 años contados a partir de la adquisición del predio.

Construcción en Sitio Propio

Construcción en sitio propio

Siempre y cuando el SFV esté vigente y la suma de los subsidios asignados no supere los 26 Smlmv.

Mejoramiento para Vivienda saludable

Mejoramiento estructural

Ninguna

3. Entre el Subsidio Familiar de Vivienda -SFV- Nacional otorgado por el Banco Agrario de Colombia o la entidad que haga sus veces en suelo rural y el SDVE. El SDVE podrá ser complementado con el SFV otorgado por el Banco Agrario de Colombia en suelo rural en cualquiera de sus modalidades y tipos de proyectos.

4. Entre el Subsidio Familiar de Vivienda -SFV- otorgado por las Cajas de Compensación y el SDVE. Para los hogares en condiciones de vulnerabilidad y hogares víctimas del conflicto armado interno cuyos ingresos no superen los dos (2) salarios mínimos legales mensuales vigentes, el SDVE podrá ser complementado por el otorgado en las Cajas de Compensación, siempre y cuando este último se encuentre vigente y no hubiere sido aplicado.

5. Entre el SDVE y otros aportes. El SDVE podrá ser complementario de cualquier reconocimiento económico que se haga a los hogares, por efecto de programas de reasentamiento, por ejecución de obras públicas, por recuperación de zonas de protección ambiental, o cualquier otro programa adelantado por entidades públicas del orden nacional o distrital, que incluya el acceso a la vivienda y la realización previa de obras de urbanismo, casos en los cuales se priorizará el otorgamiento del SDVE, incluyendo todas sus etapas, a las familias vinculadas a estos programas, previo cumplimiento de los requisitos establecidos en el presente reglamento.

Así mismo, podrá ser complementario de aportes de cooperación internacional y donaciones de entidades privadas y públicas, en dinero o en especie. Adicionalmente, la Secretaría Distrital del Hábitat podrá suscribir convenios para dirigir el otorgamiento de Subsidios Distritales de Vivienda en Especie a políticas públicas de enfoque diferencial.

PARÁGRAFO 1.  Modificado por el art. 1, Resolución Sec. Hábitat 575 de 2015. Para la complementariedad derivada del artículo 12º de la Ley 1537 de 2012, los hogares beneficiarios de las viviendas resultantes de los proyectos que se financien con los recursos del gobierno nacional destinados a otorgar subsidios familiares de vivienda, serán priorizados en el otorgamiento del SDVE.

PARÁGRAFO 2. Modificado por el art. 1, Resolución Sec. Hábitat 575 de 2015. El monto de los subsidios de mejoramiento estructural y de habitabilidad que fueron asignados con anterioridad a la expedición de esta resolución y que no hayan sido aplicados, podrá ser ajustado a 18 SMLMV, previa solicitud por escrito por parte del hogar y carta de justificación de la entidad operadora avalando la procedencia.

ARTÍCULO 12. Cierre financiero. Para la postulación, el hogar deberá acreditar que cuenta con los recursos que sumados al Subsidio Distrital de Vivienda en Especie le permita la adquisición y/o construcción de una vivienda de interés prioritario. El cierre financiero se deberá acreditar presentando, entre otros, los siguientes documentos:

1. Fotocopia de la carta de asignación del SFV por parte de la entidad competente del gobierno nacional en el caso de hogares víctimas del conflicto interno armado.

2. Certificación expedida por la entidad financiera donde conste el monto de la cuenta de ahorro programado del hogar.

3. Fotocopia de la carta de aprobación del crédito hipotecario o leasing habitacional, indicando el monto y la vigencia.

4. Carta de pre-aprobación del crédito hipotecario, indicando el monto y la vigencia.

5. Aportes obtenidos por donación proveniente de personas jurídicas debidamente certificadas

6. Documento de separación en el que conste la forma de pago del inmueble a adquirir y su posterior inclusión de la promesa de compraventa.

7. Certificado de cesantías donde conste el monto de las mismas.

8. Certificación del aporte en materiales o de mano de obra expedida por la entidad que designe la SDHT.

9. Certificación expedida por la entidad distrital o nacional, donde conste los recursos reconocidos por reasentamiento o cualquier otro aporte que permita al hogar completar el porcentaje de la vivienda no cubierto por el SDVE.

PARÁGRAFO 1.En los esquemas de postulación Casa en mano, territorial dirigida y colectiva, dicho cierre se exigirá al momento de la inscripción.

PARÁGRAFO 2.En caso que el hogar no cuente con cierre financiero la Secretaría del Hábitat ofrecerá acompañamiento y orientación para la consecución de los recursos complementarios en el marco del programa de Educación Financiera.

PARÁGRAFO 3. En el caso de hogares víctimas del desplazamiento forzado con ocasión del conflicto interno armado, éstos podrán acreditar que cuentan con el subsidio asignado por Fonvivienda, por el Banco Agrario de Colombia o las entidades que hagan sus veces o por una Caja de Compensación Familiar, o que les ha sido asignado el Valor Único de Reconocimiento (VUR) por parte de la Caja de la Vivienda Popular, u otra fuente de recursos.

ARTÍCULO 13. Cierre financiero con leasing habitacional. En los casos que los hogares beneficiarios acrediten el cierre financiero a través del Leasing Habitacional, se transferirá la propiedad del inmueble a nombre de la entidad financiera, deduciendo del costo total del inmueble, el valor del SDVE asignado al hogar beneficiario, con el fin de reducir el precio del canon mensual.

ARTÍCULO 14. Renuncia al SDVE. El hogar beneficiario podrá renunciar voluntariamente al SDVE en sus distintas modalidades, mediante comunicación suscrita por todas las personas mayores de edad integrantes del hogar en el momento de la postulación, renuncia que será aceptada mediante comunicación que para el efecto expida la Secretaría Distrital del Hábitat.

La renuncia al subsidio dará lugar a la inhabilidad para ingresar nuevamente al programa de SDVE por el término de un (1) año, contados a partir de la fecha de comunicación del hogar.

PARÁGRAFO 1.La Secretaría Distrital del Hábitat registrará la sanción a los integrantes del núcleo familiar en el Sistema de Información para la Financiación de Soluciones de Vivienda – SIFSV-, ordenará la liberación de los recursos del subsidio asignado o reemplazará el cupo en el proyecto cuando este aplique, y comunicará al hogar sobre las sanciones e implicaciones de su renuncia.

PARÁGRAFO 2. Si cumplido el término de inhabilidad, el hogar decide ingresar nuevamente al proceso, deberá hacer la solicitud por escrito y la Secretaría Distrital del Hábitat lo registrará como una nueva inscripción.

PARÁGRAFO 3. Cuando los hogares presenten solicitud de movilización de los recursos complementarios del subsidio para un fin diferente a la adquisición, construcción o mejoramiento de la vivienda, la Secretaría Distrital del Hábitat autorizará dicha movilización, siempre y cuando el hogar renuncie al SDVE en los términos y consecuencias del presente artículo.

PARÁGRAFO 4. Cuando la renuncia al Subsidio Distrital de Vivienda en Especie se ocasiona por la demora en la ejecución de un proyecto cuyo cierre financiero este dado con recursos complementarios del Gobierno Nacional, la Secretaría Distrital del Hábitat podrá, previa aceptación del hogar, vincularlo en un proyecto gestionado por la entidad con disponibilidad de oferta. En ese caso, los recursos del subsidio asignado serán trasladados a la nueva solución de vivienda.

TÍTULO II

ACCESO A SOLUCIONES DE VIVIENDA CON RECURSOS DEL SUBSIDIO DISTRITAL DE VIVIENDA EN ESPECIE

CAPITULO I

ASPECTOS GENERALES Y DEFINICIÓN DE ETAPAS

ARTÍCULO 15. Requisitos básicos para tener derecho al SDVE. Modificado por el art. 2, Resolución Sec. Hábitat 575 de 2015. El hogar debe cumplir con los siguientes requisitos para acceder al SDVE en cualquiera de los cuatro esquemas establecidos:

1. Que el hogar se encuentre inscrito en el Sistema de Información para la Financiación de Soluciones de Vivienda – SIFSV- de la Secretaría Distrital del Hábitat-.

2. Que al menos una de las personas que integran el hogar tenga ciudadanía colombiana y se encuentre en capacidad de obligarse por sí misma.

3. Que los integrantes del núcleo familiar residan en Bogotá. Lo anterior no aplica para los hogares a los que se les haya otorgado el Valor Único de Reconocimiento y se encuentren viviendo transitoriamente en otro municipio, a la espera de una solución habitacional dentro del programa de reasentamiento de la Caja de Vivienda Popular.

4. Que los ingresos totales mensuales del hogar no sean superiores al equivalente a cuatro (4) salarios mínimos legales mensuales vigentes – SMLMV, salvo que se requiera un total de ingresos mensuales inferiores en el marco de un programa de vivienda específico, sin perjuicio de la aplicación de criterios de priorización.

5. Que ninguna persona integrante del hogar tenga acceso a un subsidio familiar de vivienda otorgado con recursos de una caja de compensación familiar. Este requisito no aplica para los hogares victimas del desplazamiento por el conflicto armado interno, para los hogares que se encuentren en el programa de reasentamiento de la Caja de Vivienda Popular, hogares que se presenten en el esquema de postulación territorial dirigido y colectivo ni para los hogares de que trata la complementariedad del numeral 4° del artículo 11.

6. Que ninguno de los integrantes del hogar haya aplicado y/o ejecutado recursos procedentes del subsidio nacional de vivienda, del subsidio distrital de vivienda o de los subsidios otorgados por las cajas de compensación familiar que le hubieren permitido adquirir o mejorar una vivienda. Lo anterior, no aplica para los subsidios otorgados por el Fondo Nacional de Vivienda por Ahorro Voluntario Contractual, siempre y cuando el mismo haga parte del cierre financiero para la compra del inmueble con el SDVE; aquellos en los que se haya restituido efectivamente el subsidio otorgado y aquellos de que trata la complementariedad del artículo 11 del presente reglamento.

7. Que durante los últimos tres (3) años ninguna de las personas que integran el hogar sea o hubiese sido propietaria o poseedora de inmueble en el territorio nacional, salvo las siguientes excepciones:

a) Que sea propietario de porcentajes de inmuebles adquiridos en un proceso de sucesión, por un valor catastral igual o inferior al equivalente a 26 SMLMV.

b) Que sea propietario o poseedor de terrenos ubicados en zonas de alto riesgo no mitigable o que correspondan a ronda hidráulica o zona de manejo y protección ambiental – ZMPA, o de terrenos donde sea imposible la conexión a servicios públicos domiciliarios de acueducto y alcantarillado.

c) Que sea propietario o poseedor de inmueble en el lugar de desplazamiento, para el caso de hogares víctimas del conflicto armado interno.

PARÁGRAFO 1. Para acceder al SDVE para Mejoramiento en Vivienda Rural el hogar debe demostrar ser propietario o poseedor máximo de dos predios, siempre y cuando uno de estos cuente con la unidad habitacional en la cual se aplicará el subsidio de mejoramiento y el otro tenga uso diferente al residencial.

PARÁGRAFO 2. Los usuarios de créditos hipotecarios para la adquisición de vivienda de interés prioritario, que sean cabeza de hogar, que hayan perdido su vivienda de habitación como consecuencia del incumplimiento en las obligaciones del respectivo crédito, bien sea mediante dación en pago o remate judicial, podrán postularse por una sola vez para la obtención de un nuevo subsidio distrital de vivienda.

PARÁGRAFO 3. Para acceder al SDVE en las modalidades de mejoramiento, el hogar solo podrá tener la propiedad o posesión del predio que se pretende mejorar. Para construcción en sitio propio, el hogar podrá aparecer como propietario del lote sobre el que se pretende construir la vivienda.

ARTÍCULO 16. Etapas generales para acceder al SDVE. Para ser beneficiario de un Subsidio Distrital de Vivienda en Especie, el hogar deberá surtir las siguientes etapas:

1. Etapa de inscripción. Se entiende por inscripción el registro en el sistema de información para la financiación de soluciones de vivienda - SIFSV, por parte de los interesados en acceder al programa del Subsidio Distrital de Vivienda en Especie, de acuerdo con el esquema de postulación elegido.

2. Etapa de calificación de condiciones de vulnerabilidad. Se entiende por calificación el puntaje asignado a los hogares inscritos en el SIFSV, de acuerdo con los criterios establecidos por la Secretaría Distrital del Hábitat en el presente Reglamento Operativo.

La calificación no aplica a los hogares que se postulen a través de los esquemas Colectivo, Territorial Dirigido o Casa en mano, por ser ellos mismos los que proponen la solución de vivienda en la que se aplicará el SDVE.

Esta etapa solo aplica para hogares que se presenten a través del esquema de postulación individual, sin perjuicio de la verificación de los requisitos generales establecidos en este Reglamento Operativo y que la calificación se realice a todos los hogares inscritos en el SIFSV.

3. Etapa de postulación. Se entiende por postulación la vinculación de hogares que se encuentran calificados y que no hayan sido inhabilitados a un cupo o una solución de vivienda en un proyecto de postulación individual, colectiva o territorial dirigida, adelantado o promovido por el gobierno distrital o en convenio con el gobierno nacional, en suelo urbano o rural.

Para el esquema casa en mano, la postulación se realizará cuando la oferta de vivienda presentada por el hogar haya sido viabilizada técnica y jurídicamente.

4. Etapa de Verificación. Se entiende por verificación el trámite mediante el cual se comprueba el cumplimiento de los requisitos generales y se establece entre los hogares, cuáles son los habilitados para continuar con el proceso de asignación del SDVE.

5. Etapa de asignación o vinculación. Se entiende por asignación la determinación de los hogares que surtieron las etapas anteriores para acceder al SDVE. Culmina con el acto administrativo en el cual se especificará el nombre del beneficiario, el documento de identidad y la identificación de la solución de vivienda en el cual se aplicará el SDVE.

En los esquemas de postulación individual, colectiva y territorial dirigida cuyos proyectos han sido aprobados en Comité de Elegibilidad, el SDVE se aplicará vinculando a los hogares a dichos proyectos.

CAPITULO II

ETAPA DE INSCRIPCIÓN

ARTÍCULO 17. Inscripción. Para adelantar el procedimiento de inscripción, los hogares deberán presentar los documentos de identificación de todos los integrantes que lo conforman y suministrar bajo la gravedad de juramento la información que sea requerida en el formulario que para el efecto adopte la Secretaría Distrital del Hábitat, así como los documentos que acrediten que uno o más integrantes del hogar presentan condiciones especiales, que permitan la aplicación de criterios de priorización.

En el esquema de postulación colectiva, la Secretaría Distrital del Hábitat procederá a inscribir a los afiliados de las OPV que hagan parte de los proyectos presentados a la convocatoria.

En el esquema de postulación territorial dirigida, la entidad operadora que designe la Secretaría Distrital del Hábitat, procederá a inscribir en el Sistema de Información para la Financiación de Soluciones de Vivienda – SIFSV- a los potenciales beneficiarios que sean propietarios, poseedores u ocupantes de una vivienda susceptible a mejorar o de un lote para construir una vivienda, en el área delimitada para el proyecto.

Para el esquema casa en mano, los hogares deberán presentar para su viabilización la oferta de vivienda nueva o usada, junto con la acreditación del cierre financiero y los demás documentos señalados en el presente Reglamento Operativo.

Para el esquema de postulación individual, la Secretaría Distrital del Hábitat podrá convocar a nuevas inscripciones, a partir de cada nueva vigencia.

PARÁGRAFO 1. Para proceder a la inscripción de los menores de edad de un hogar que desea acceder al Subsidio Distrital de Vivienda en Especie, se deberá presentar el registro civil de nacimiento y la tarjeta de identidad en el caso de mayores de 7 años.

PARÁGRAFO 2.Los hogares víctimas del desplazamiento con ocasión del conflicto armado interno deberán presentar la certificación de inscripción en el Registro Único de Víctimas en la que se identifique la conformación de su núcleo familiar.

PARÁGRAFO 3.En los casos de que los menores inscritos cumplan la mayoría de edad, deberán actualizar los datos a la Secretaría Distrital del Hábitat mediante comunicación escrita en un término no superior a 30 días calendario contados a partir de la fecha de adquisición de la mayoría de edad.

ARTÍCULO 18. Documentos adicionales requeridos para la inscripción en el Esquema de Postulación Casa en Mano. El hogar interesado en acceder a un Subsidio Distrital de Vivienda en Especie mediante el esquema casa en mano deberán presentar los siguientes documentos:

1. Cédula de ciudadanía de todos los mayores de edad que conformen el hogar

2. Fotocopia del registro civil de nacimiento de todas las personas menores de edad del hogar y tarjeta de identidad en el caso de mayores de 7 años.

3. Documentos que acrediten el estado civil de los miembros del núcleo familiar. Para esto, el hogar deberá aportar, entre otros, los siguientes documentos con fecha de expedición no superior a un (1) mes: Registro civil de matrimonio, registro civil de Nacimiento con notas al margen, partido de bautismo, declaración de unión marital de hecho o declaración juramentada en el caso de personas solteras.

4. Documentos que acrediten el cierre financiero conforme el artículo 12 del presente Reglamento Operativo

5. Los documentos que acrediten que uno o más integrantes del hogar poseen condiciones especiales, que permitan la aplicación de los criterios de priorización.

6. Documento de Contrato de vinculación u Opción de compra suscrita por quien solicita el SDVE, en caso de vivienda nueva, la cual deberá señalar la identificación del inmueble.

7. Ultimo recibos de pago de servicios públicos domiciliarios de acueducto y alcantarillado, luz y gas, si de este último la conexión existe.

8. Copia de la escritura pública de compraventa antecedente del inmueble, según conste en el certificado de tradición y libertad.

9. Certificado de tradición y libertad, con vigencia no mayor a treinta (30) días calendario, salvo que la Secretaría Distrital del Hábitat pueda acceder directamente a este documento.

10. Fotocopia de la cédula de ciudadanía del vendedor(es).

11. Certificado Catastral, y los demás que se consideren necesarios para el estudio de viabilidad de la vivienda ofertada.

ARTÍCULO 19. Actualización del SIFSV. La Secretaría Distrital del Hábitat actualizará el Sistema de información para la financiación de soluciones de vivienda, a través de procesos de verificación de información y de confrontación con bases de datos de entidades públicas y/o privadas que puedan certificar situaciones particulares de los hogares.

ARTÍCULO 20. Desistimiento de la inscripción.  Modificado por el art. 3, Resolución Sec. Hábitat 575 de 2015. El hogar inscrito podrá desistir de su inscripción y registro, mediante comunicación escrita presentada ante laSecretaría Distrital del Hábitat.

El hogar que desista de la inscripción no podrá volver a realizar trámites para acceder al SDVE, dentro de (1) año siguiente al desistimiento, para lo cual, la Secretaría Distrital del Hábitat realizará la respectiva anotación en el Sistema de información para la financiación de soluciones de vivienda – SIFSV.

ARTÍCULO 21. Modificación del Núcleo Familiar. El hogar inscrito no podrá modificar la conformación de su núcleo familiar, salvo que después de realizada la inscripción al sistema de información para la financiación de soluciones de vivienda - SIFSV ocurrieren circunstancias de hecho y/o derecho que impliquen su modificación, caso en el cual, el hogar deberá aportar las pruebas que permitan a la Secretaría Distrital del Hábitat efectuar la modificación.

No obstante, si se cambia los datos que son base de la calificación de vulnerabilidad por la nueva conformación, el hogar regresará a un estado de Inscripción sin calificación.

Las personas que formen o formaron parte de un hogar beneficiario del subsidio podrán inscribirse nuevamente a éste, siempre y cuando demuestren haber conformado un nuevo hogar, con el cumplimiento de las condiciones exigidas para ello.

CAPITULO III

ETAPA DE CALIFICACIÓN

ARTÍCULO 22. Aplicación de la Fórmula de Calificación. Para los proyectos de postulación individual y una vez surtida la etapa de inscripción de que trata el presente reglamento, la Secretaría Distrital del Hábitat seleccionará los hogares potencialmente beneficiarios del SDVE con base en las siguientes dimensiones e indicadores:

Dimensiones, indicadores, expresión y pesos para el índice

 

Dimensión

Indicador

Expresión

Peso de la variable estandarizada

Socioeconómica

(40.5%)

Ingresos del hogar

IH: SMMLV/Ingresos del hogar

9,9%

Tasa de dependencia económica

TDE - Tasa de dependencia económica:

(Personas menores de 15 años + Personas mayores de 60 años) / (Personas entre 15 y 60 años)

21,3%

Analfabetismo/Bajo nivel educativo

ANALF - Analfabetismo/Bajo nivel educativo:

(Personas mayores de 14 años con máximo nivel de primaria) / Personas mayores de 14 años – CEPAL

9,3%

Demográfica

(34.9%)

Tamaño del hogar

TamHog: Tamaño del hogar

2,8%

Jefatura femenina

HogMonop: Jefatura femenina o masculina:

Hogar conformado por un progenitor (madre o padre) y uno o varios hijos.

8,3%

Jefatura masculina

Niñez

PropM14: Porcentaje de niños menores de 14 años en el hogar:

Número de niños menores de 14 años / Total de personas en el hogar

13,6%

Adultez

PropMy60: Porcentaje de adultos mayores de 60 años en el hogar:

Número de personas mayores de 60 años / Total de personas en el hogar

10,2%

Enfoque poblacional diferencial

(24.6%)

Discapacidad

PropDisc: Proporción de personas con alguna Discapacidad:

Número de personas con alguna discapacidad / Total personas

13.8%

Minoría étnica

ME: Minoría étnica:

Pertenece a alguna minoría étnica

10,8%

A cada hogar se le asignará puntaje de acuerdo con la siguiente fórmula de calificación:

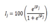
Donde f es la valoración individual para el hogar j

Para que el índice tenga la propiedad de ser un número entre 0 y 100 se realiza la transformación estadística mediante la siguiente función de riesgo:

Donde I_j es el índice integrado para el hogar j.

El índice tiene la propiedad de ser un número entre 0 y 100, donde los hogares con puntajes más altos (tendientes a 100) serán identificados en orden de prioridad como los potenciales beneficiarios del programa de SDVE. Lo anterior siempre y cuando cumplan con los requisitos establecidos en el presente reglamento.

PARÁGRAFO 1. En todo caso el mayor aporte al indicador de hogar monoparental será la jefatura femenina del hogar.

PARÁGRAFO 2. La fórmula establecida en el presente artículo no aplica a los hogares que se postulen a través de los esquemas Colectivo, Territorial Dirigido o Casa en mano, por ser ellos mismos los que proponen la solución de vivienda en la que se aplicará el SDVE.

PARÁGRAFO 3. Si el hogar modifica la información de la composición de su núcleo familiar después de calificado, automáticamente quedara en la etapa de inscripción y deberá ser nuevamente calificado.

ARTÍCULO 23. Conformación del listado de hogares calificados. Con la aplicación de la fórmula a la lista de hogares inscritos, se conformará el listado de hogares calificados el cual se organizará desde el hogar con mayores condiciones de vulnerabilidad de forma descendente hasta completar el número de soluciones de vivienda del proyecto, sin perjuicio de lo establecido en el artículo 7 del Decreto Distrital 539 de 2012.

El puntaje asignado a un hogar podrá variar en cualquier momento del proceso, si se verifica que una información aportada que tenga incidencia en el mismo, puede variar la calificación.

ARTÍCULO 24. Desempate de hogares calificados. En el caso de presentarse empate entre los hogares, la Secretaría Distrital del Hábitat los convocará a postulación, de acuerdo con la fecha de inscripción, partiendo del más antiguo al más reciente.

CAPITULO IV

ETAPA DE POSTULACIÓN

ARTÍCULO 25. Aspectos generales a considerar para la composición de los proyectos por grupos poblacionales: A través del Comité de Elegibilidad y de acuerdo con las características propias de cada proyecto se establecerá la composición poblacional que tendrá cada proyecto, sin perjuicio de lo establecido en el presente reglamento operativo:

a. El porcentaje de los cupos de VIP de los proyectos declarados elegibles que se destinará a hogares víctimas del conflicto interno y el porcentaje que se destinará a hogares en otras condiciones de vulnerabilidad.

b. El porcentaje de los cupos de VIP en los proyectos declarados elegibles que se destinará a hogares residentes en la zona.

c. El porcentaje los cupos de VIP en los proyectos declarados elegibles que se destinará a los hogares en programas de reasentamiento.

ARTÍCULO 26. Documentos generales requeridos para la postulación. Modificado por el art. 4, Resolución Sec. Hábitat 575 de 2015.

1. Cédula de ciudadanía de todos los mayores de edad que conformen el hogar.

2. Fotocopia del registro civil de nacimiento de todas las personas menores de edad del hogar y tarjeta de identidad en el caso de mayores de 7 años.

3. Documentos que acrediten el cierre financiero conforme el artículo 12 del presente Reglamento Operativo

4. Los documentos que acrediten que uno o más integrantes del hogar poseen condiciones especiales, que permitan la aplicación de los criterios de priorización.

5. Documentos que acrediten el estado civil de los miembros del núcleo familiar. Para esto, el hogar deberá aportar, entre otros, los siguientes documentos con fecha de expedición no superior a un (1) mes: Registro civil de matrimonio, registro civil de Nacimiento con notas al margen, partido de bautismo, declaración de unión marital de hecho o declaración juramentada en el caso de personas solteras.

6. Formato de separación, términos y condiciones de los proyectos en el esquema de postulación individual.

7. Para el caso de hogares poseedores regulares, en proyectos de postulación territorial dirigida se deberán presentar los siguientes documentos:

a. Escrito mediante el cual el hogar poseedor asegura, bajo la gravedad del juramento, que ejerce la posesión regular del bien inmueble de manera quieta, pública, pacífica e ininterrumpida en los términos de los artículos 762 y 764 del Código Civil por un término no inferior a tres (3) años y que sobre el bien inmueble no está en curso proceso reivindicatorio, ni proceso alguno que controvierta la posesión.

b. Declaración del presidente de la Junta de Acción Comunal o de dos (2) testigos en la que quede de manifiesto que el hogar poseedor ejerce la posesión regular del inmueble, en los términos de los artículos 762 y 764 del Código Civil.

8. En el caso de hogares ocupantes de bienes fiscales, los oferentes deberán presentar los siguientes documentos:

a. Certificación expedida por la entidad territorial en la que conste que el predio objeto de construcción en sitio propio o la vivienda objeto de mejoramiento se localiza en un bien inmueble fiscal con vocación para vivienda de interés social, en los términos establecidos en el artículo 1º del Decreto 3111 de 2004 o la norma que lo modifique, adicione o sustituya, y que el mismo no se encuentra en alguna de las circunstancias establecidas en el inciso 3 del artículo 2º de la ley 1001 de 2005.

b. Certificación expedida por la entidad territorial en la que conste que la ocupación ha ocurrido con anterioridad al 30 de noviembre de 2001, de conformidad con lo establecido en el artículo 2º de la Ley 1001 de 2005.

c. Certificado de tradición y libertad del inmueble donde conste la titularidad de la propiedad de la entidad pública respectiva, expedido con una anterioridad no mayor de 30 días.

PARÁGRAFO 1. En proyectos de postulación territorial dirigida se dará tratamiento de poseedores regulares a quienes aporten a su nombre el título de propiedad del inmueble (escritura, acto administrativo de cesión a título gratuito) sin inscripción en la Oficina de Registro de Instrumentos Públicos y Privados.

En los casos de sucesiones ilíquidas, en proyectos de postulación territorial dirigida tendrán de igual manera, tratamiento de poseedores regulares, los herederos de causante propietario que residan en el inmueble, aunque no hayan iniciado y/o terminado el correspondiente trámite de la sucesión.

En los anteriores casos, los interesados deberán aportar la documentación señalada en los literales a) y b) del numeral 7 del presente artículo, adjuntando además constancias de pago de impuesto predial y pago de servicios públicos domiciliarios con el fin de acreditar que ejerce sobre el inmueble actos de señor y dueño.

Para los casos en que el propietario del inmueble haya pagado obligación hipotecaria constituida a favor de entidad bancaria o financiera que a la fecha de la postulación se halle liquidada o desaparecida, sin que las partes hayan realizado el correspondiente levantamiento de la hipoteca, o sin que el interesado la haya inscrito en el registro, deberá aportar manifestación escrita bajo juramento de que se encuentra a paz y salvo por concepto de la hipoteca con la entidad desaparecida o liquidada.

PARÁGRAFO 2. Para todos los casos, se deberá presentar certificación expedida por la entidad competente en la que conste que el inmueble no se encuentra ubicado en zonas de alto riesgo no mitigable, de acuerdo con la identificación que realice el IDIGER o la entidad que haga sus veces, de conformidad con lo previsto en el Plan de Ordenamiento Territorial.

PARÁGRAFO 3. En el evento que ocurra el fallecimiento de uno de los integrantes del hogar y quede con solo un (1) integrante mayor de edad, éste podrá continuar con el proceso para el otorgamiento del SDVE, siempre y cuando la postulación se encuentre cerrada.

ARTÍCULO 27. Documentos adicionales requeridos para la postulación en el esquema de casa en mano. El hogar interesado en acceder a un Subsidio Distrital de Vivienda en Especie deberá aportar los siguientes documentos:

a. Estudio de títulos de la vivienda expedido por la Secretaría Distrital del Hábitat o la entidad que ésta designe o avale, en donde conste que el predio se encuentra libre de condiciones resolutorias, embargos, gravámenes y limitaciones al dominio; excepto por las hipotecas constituidas a favor de la entidad que financió su adquisición o construcción, la hipoteca constituida para garantizar otras obligaciones, el patrimonio de familia y la afectación da vivienda familiar , siempre y cuando se cancelen antes de las firma de la escritura pública.

b. Certificado de viabilidad técnica de la vivienda expedido por la Secretaría Distrital del Hábitat o quien ésta designe o avale, en donde conste, que examinada la vivienda, aquélla cumple con las condiciones espaciales, físicas, estructurales y de saneamiento básico mínimas para garantizar el derecho a una vivienda digna a los beneficiarios del SDVE.

c. Promesa de compraventa suscrita por quien solicita el SDVE, esto para el caso de vivienda usada.

d. Certificado de Riesgo expedido por la Secretaría Distrital Planeación.

e. Copia de la consulta al Sistema de Información para la Gestión de Riesgos y atención de emergencias de Bogotá SIRE, generada por el Instituto Distrital de Gestión de Riesgos y Cambio Climático – IDIGER, en la cual se verificará las condiciones de riesgo del terreno.

PARÁGRAFO 1. Para el caso de inmuebles ubicados en el Distrito Capital, la Secretaría Distrital del Hábitat verificará que el mismo se encuentre a paz y salvo por concepto de impuesto predial. Para el caso de inmuebles ubicados fuera de la ciudad de Bogotá, el paz y salvo del impuesto predial será expedido por la autoridad competente.

PARÁGRAFO 2. Con el fin de facilitar el acceso a una vivienda usada a los hogares que se encuentran en el programa de reasentamiento de la Caja de la Vivienda Popular que habitan en zona de alto riesgo no mitigable, se autoriza para que presenten una oferta de vivienda que no cuente con el reconocimiento de la construcción, para lo cual el acto administrativo que otorga el SDVE se condicionará a que el hogar beneficiario tramite el acto de reconocimiento ante la autoridad competente, dentro del término de dos (2) años siguientes a la asignación del subsidio y de ser necesario, realizará las adecuaciones de la edificación al cumplimiento de las normas urbanísticas y de sismo-resistencia establecidas para el reconocimiento de edificaciones.

En tales casos el hogar suscribirá al momento de la postulación un compromiso con la Secretaría Distrital de Hábitat, en virtud del cual en caso de no dar cumplimiento a la condición indicada, restituirá a la Secretaría Distrital del Hábitat el monto correspondiente al subsidio recibido con la correspondiente indexación de acuerdo al índice de precios al consumidor. Este compromiso será incluido en el texto de la escritura pública de compraventa y protocolizado en la misma.

ARTÍCULO 28. Formalización. La postulación quedará formalizada cuando al menos una de las personas mayores de edad del hogar, suscriba el formulario de postulación.

El hogar podrá modificar la información suministrada a la Secretaría Distrital del Hábitat, hasta antes de formalizada la postulación, siempre y cuando corresponda a situaciones de hecho y/o derecho ocurridas con posterioridad a la fecha de inscripción. Esta información deberá ser reportada y consignada en el SIFSV.

Para el caso de modificación de núcleo familiar se deberá dar aplicación al artículo 21 del presente reglamento operativo.

PARÁGRAFO 1. Si algún integrante del núcleo familiar llegaré a modificar su estado civil después de formalizada la postulación, deberá informar a la Secretaría Distrital del Hábitat mediante comunicación escrita en un término no superior a 30 días calendario, con sus respectivos soportes. Dicho cónyuge o compañero permanente no podrá ser incluido dentro de la escritura pública y ni dentro del grupo familiar que se encuentra inscrito inicialmente.

PARÁGRAFO 2. En todos los esquemas, la postulación se realizará de acuerdo con la disponibilidad presupuestal con que cuente la Secretaría Distrital del Hábitat o la oferta de vivienda disponible.

ARTÍCULO 29. Desistimiento de la postulación. Una vez formalizada la postulación, el hogar podrá desistir de ella hasta antes del inicio de la etapa de verificación.

PARÁGRAFO 1. El desistimiento dará lugar a sanción para inscribirse al programa del SDVE por el término de un (1) año, contado a partir de la fecha de aceptación del desistimiento mediante comunicación escrita de la Secretaría Distrital del Hábitat.

Si vencido el término anterior, el hogar decide vincularse nuevamente al programa de SDVE, deberá hacer la solicitud y la Secretaría Distrital del Hábitat la registrará en el sistema como una nueva inscripción.

PARÁGRAFO 2. Para las postulaciones en esquemas de postulación individual, colectiva o territorial dirigida cuando el hogar desista de la misma, se deberá remplazar el hogar previo cumplimiento de los requisitos establecidos en el presente reglamento operativo.

PARÁGRAFO 3. Cuando los hogares presenten solicitud de movilización de recursos con los que acreditaron su cierre financiero después de formalizada la postulación, la Secretaría Distrital del Hábitat entenderá esto como un desistimiento, procederá a autorizar la movilización y dará aplicación a las sanciones establecidas en el presente artículo.

CAPITULO V

ETAPA DE VERIFICACIÓN

ARTÍCULO 30. Verificación. Una vez tenga el listado de hogares postulados, la Secretaría Distrital del Hábitat procederá a realizar la verificación y confrontación de la información aportada por los hogares, con las bases de datos de Fonvivienda, Caja de la Vivienda Popular, Metrovivienda, Superintendencia de Notariado y Registro e Inurbe o cualquier otra fuente de información oficial que resulte confiable para estos efectos, de conformidad con los requisitos establecidos en el presente reglamento operativo.

Los hogares que una vez verificados no cumplan con los requisitos para acceder al Subsidio Distrital de Vivienda en Especie, serán inhabilitados por un término de dos (2) años contados a partir de la fecha en que quede en firme el acto administrativo que declare la respectiva inhabilidad.

Previo a la expedición del citado acto administrativo, la Secretaría Distrital del Hábitat podrá solicitar información adicional a los núcleos familiares sobre su presunta inhabilidad, quienes cuentan con un plazo de diez (10) días hábiles, a partir del recibo de la comunicación, para aportar la información correspondiente que permita desvirtuar los hechos que darían lugar a su inhabilidad.

Los hogares inhabilitados se podrán inscribir nuevamente al sistema de información para la financiación de soluciones de vivienda - SIFSV dos (2) años después contados a partir de la fecha en que quede en firme el acto administrativo que declare la inhabilidad.

El acto administrativo que declare una inhabilidad será susceptible de recurso de reposición de conformidad con lo establecido por el artículo 76 del Código de Procedimiento Administrativo y de lo Contencioso Administrativo, o la norma que haga sus veces.

PARÁGRAFO 1. Sin prejuicio de lo dispuesto en el presente artículo, la Secretaría Distrital del Hábitat podrá en cualquier momento verificar la información suministrada por los hogares inscritos en el SIFSV y proceder a inhabilitar a los que no cumplan con los requisitos establecidos para cada modalidad, mediante acto administrativo que será susceptible de recurso de reposición de conformidad con lo establecido por el artículo 76 del Código de Procedimiento Administrativo y de lo Contencioso Administrativo, o la norma que haga sus veces

CAPITULO VI

ETAPA DE ASIGNACIÓN O VINCULACIÓN

ARTÍCULO 31. Asignación o vinculación. Una vez verificada la información de los hogares postulados, la Secretaría Distrital del Hábitat procederá a expedir el acto administrativo en el cual se especificará el nombre del beneficiario, el documento de identidad y la identificación del inmueble o del proyecto en el cual será vinculado. En el esquema de postulación casa en mano, el SDVE será asignado al hogar para la adquisición de la vivienda ofertada.

PARÁGRAFO 1. Cuando surjan circunstancias que impidan a un hogar beneficiario acceder al cupo del proyecto previamente vinculado o se rehúse injustificadamente a suscribir la escritura pública de compraventa, la Secretaría Distrital del Hábitat, previa verificación, sustituirá el cupo con otro hogar que cumpla los requisitos establecidos en el presente reglamento operativo.

ARTÍCULO 32. En el caso de proyectos de revitalización en el centro ampliado gestionados por entidades del sector hábitat o en proyectos asociativos que incluyan la construcción de Vivienda de Interés Prioritario, la Secretaría Distrital del Hábitat priorizará el otorgamiento del Subsidio Distrital de Vivienda a hogares en condiciones de vulnerabilidad residentes en la zona que cumplan con los requisitos establecidos en el presente Reglamento Operativo.

Para tal efecto, el comité de elegibilidad determinará: i) Las condiciones y número de hogares residentes en la zona que puedan ser beneficiarios del subsidio distrital de vivienda y ii) La zona de influencia del proyecto de conformidad con la delimitación hecha por los Planes Parciales o cualquier otro acto administrativo que se expida.

TITULO III

PROYECTOS PARA GENERACIÓN DE OFERTA

CAPITULO I

ASPECTOS GENERALES

ARTÍCULO 33. Generación de oferta de vivienda. La Secretaría Distrital del Hábitat con los recursos disponibles para la asignación de Subsidios Distritales de Vivienda se encargará de promover la oferta de vivienda a través de las entidades ejecutoras de la política en el Sector Hábitat, de otras entidades públicas, de entidades privadas o a través de Alianzas y/o Asociaciones Público-Privadas.

ARTÍCULO 34. Proyectos en asocio con otras entidades territoriales y/o con entidades privadas. La Secretaría Distrital del Hábitat podrá adelantar proyectos y convenios con otras entidades del orden nacional y territorial, con entidades privadas, del sector solidario, Cajas de Compensación Familiar o de cooperación internacional, para hogares en condición de vulnerabilidad o desplazamiento forzado con ocasión del conflicto armado interno.

ARTÍCULO 35. Convocatoria a proyectos. Con la expedición del presente Reglamento Operativo continúa abierta la convocatoria a proyectos mientras se encuentre vigente el Plan de Desarrollo Económico, Social, Ambiental y de Obras Públicas para Bogotá D.C 2012-2016, Bogotá-Humana, en la cual podrá participar cualquier persona natural o jurídica de naturaleza pública o privada, sin perjuicio de convocatorias particulares que en cualquier momento decida abrir la Secretaría Distrital del Hábitat o de los procedimientos relacionados con Alianzas público-privadas.

En el caso en que los proyectos presentados al Comité de Elegibilidad, que reúnan requisitos para ser declarados elegibles, representen un número de viviendas que sobrepase los recursos presupuestales disponibles, los proyectos se priorizarán con base en los siguientes criterios:

1. Que se trate de proyectos asociativos desarrollados con base en los mecanismos previstos en el artículo 21º del Acuerdo 489 de 2012 y contemplados en el artículo 4º del Decreto distrital 539 de 2012 y que hayan sido formalizados mediante una carta de intención de desarrollo de proyectos de Vivienda de Interés Social Prioritario

2. El orden cronológico de suscripción de la carta de intención a la que hace referencia el anterior numeral

3. Las características urbanísticas de los proyectos en lo que tiene que ver con la localización, área de las viviendas y condiciones del urbanismo local o comunal.

4. Que se dé cumplimiento a lo previsto en el numeral 3 del artículo 72 del Acuerdo 489 de 2012, respecto a la diversificación de la escala de los proyectos y de los constructores y el apoyo a las medianas y pequeñas empresas.

ARTÍCULO 36. Etapas de los proyectos.  Modificado por el art. 5, Resolución Sec. Hábitat 575 de 2015. Para la financiación de proyectos con recursos del subsidio distrital de vivienda en especie se cumplirán las siguientes etapas:

1. Elegibilidad. Consiste en la presentación del proyecto al Comité de elegibilidad de la Secretaría Distrital del Hábitat, donde será considerada su evaluación y la posterior expedición de la resolución de elegibilidad del proyecto. En esta etapa también se define el cronograma de desembolsos del aporte distrital, de acuerdo con la identificación de los rubros que serán financiados y el cronograma de obra y, finalmente, las condiciones de formalización de los aportes o de participación de la administración distrital en el proyecto.

2. Desembolso de recursos. Consiste en los giros del aporte distrital, de acuerdo con los cronogramas de construcción establecidos y con los mecanismos previamente aprobados de formalización y constitución de garantías, establecidos en el presente reglamento Operativo.

3. Postulación de los hogares a los proyectos. Es la etapa en la que se define la vinculación de los hogares que serán beneficiarios de una solución de vivienda. En el caso de proyectos que incluyan las modalidades de mejoramiento y construcción en sitio propio los hogares estarán vinculados al proyecto desde su inicio, dada su condición de propietarios o poseedores del predio.

4. Legalización. Consiste en la verificación de que los recursos destinados para la generación de soluciones de vivienda a través del SDVE se hayan materializado en la construcción de las viviendas a los hogares beneficiarios, lo cual se cumplirá con el certificado de existencia y habitabilidad expedido por la Secretaría Distrital del Hábitat a través de la Subdirección de Recursos Públicos de la Subsecretaría de Gestión Financiera o a quien ésta designe.

Para el caso de los proyectos de mejoramiento, la entidad designada allegara el acta de entrega a satisfacción de la obra o el acta de entrega física de la obra, la cual deberá venir firmada por el interventor, el supervisor de la entidad designada, el hogar y el constructor.

PARÁGRAFO 1. El proceso de escrituración de las viviendas generadas con el Subsidio Distrital de Vivienda en Especie a través de los diferentes esquemas establecidos en el presente reglamento operativo será responsabilidad exclusiva del oferente. Para el esquema de casa en mano, será responsabilidad del hogar que oferta la vivienda.

PARÁGRAFO 2. La resolución de elegibilidad será adoptada por la Secretaría Distrital del Hábitat y deberá determinar como mínimo el número de cupos destinados a VIP y la estimación del valor del subsidio en especie de acuerdo con la estructura de costos del proyecto.

En dicha resolución se dispondrá que el desembolso y los compromisos adquiridos por parte de la Secretaría Distrital del Hábitat en el marco del proyecto, estén sometidos al cumplimiento de los requisitos establecidos en este reglamento y al cumplimiento de las obligaciones por parte del oferente del proyecto.

En ningún caso, la Secretaría asumirá obligaciones derivadas de la decisión de elegibilidad de un proyecto si se logra determinar que el oferente ha incumplido las obligaciones que surjan de lo aprobado en el comité y lo determinado en este reglamento operativo.

Una vez notificada la resolución de elegibilidad, el oferente y/o constructor deberá allegar, dentro de los tres meses siguientes, los documentos necesarios para el desembolso de los recursos aprobados por el Comité, y deberá dar inicio a la ejecución del proyecto, so pena de que la Secretaría revoque mediante acto administrativo la elegibilidad del mismo. Cuando se demuestre que el incumplimiento en el tiempo establecido para el inicio de la obra no obedece a causas imputables al oferente y/o constructor, el Comité decidirá el nuevo plazo que le será otorgado para tal fin.

PARÁGRAFO 3. Una vez se cuente con la resolución de elegibilidad del proyecto en el caso del esquema de postulación territorial dirigido, la Secretaría Distrital del Hábitat publicará por una vez en un diario de amplia circulación nacional un aviso dirigido al público en general, en el cual se informe que en la página WEB de la entidad se encuentra la siguiente información, referente a las postulaciones de poseedores regulares u ocupantes de inmuebles fiscales:

1. Nombre e identificación del postulante señalando expresamente su calidad de poseedor regular u ocupante.

2. Identificación del inmueble de acuerdo con el código catastral, o en su defecto, chip y cédula catastral.

3. La advertencia a quienes se crean con mejores derechos que el postulante, en el sentido de poder hacerse parte en la actuación en los términos del parágrafo 3 del presente artículo.

4. La advertencia de que el otorgamiento del SDVE de que trata la presente resolución solo tendrá efectos para los beneficios consagrados en la misma, sin que sea admisible como prueba de posesión para otras situaciones reguladas por la ley.

PARÁGRAFO 4. Si dentro de los 15 días siguientes a la publicación referida en el artículo anterior, se presenta escrito en donde se alegue mejor derecho que el del postulante ocupante o poseedor regular, se terminará la actuación ante la Secretaría para que sea la instancia judicial competente la que dirima la controversia.

PARÁGRAFO 5. La entrega de viviendas por parte de la constructora a los beneficiarios del SDVE, se realizará una vez la Secretaría Distrital del Hábitat o quien ésta delegue, verifique que el proyecto cuente con permiso de ocupación total o parcial expedido por la Alcaldía Local, haya realizado visita de verificación a la vivienda la cual debe estar completamente terminada, con los servicios públicos con los respectivos medidores instalados, o en su defecto, certificación de que se encuentra en trámite la instalación de medidores por parte de la empresa prestadora. Una vez se constaten las condiciones anteriormente expuestas, la SDHT expedirá el certificado de existencia y habitabilidad como requisito previo para la entrega de la vivienda.

ARTÍCULO 37. Acompañamiento a proyectos. La Secretaría Distrital del Hábitat se encargará de la coordinación interinstitucional dentro de la administración distrital para la gestión de los proyectos en los que se desarrolle Vivienda de Interés Social Prioritario y, de ser necesario, directamente o a través de terceros brindará acompañamiento técnico, social, financiero y jurídico en cada una de las etapas mencionadas en el artículo anterior.

PARÁGRAFO 1. La Secretaría Distrital del Hábitat, coordinará la asignación de los aportes a proyectos de iniciativa pública, privada o público-privada, que se convertirán en subsidios en especie para los hogares. Igualmente, podrá participar en las juntas o consejos directivos de los fideicomisos que se conformen. Así mismo, coordinará las acciones necesarias para la articulación de los hogares beneficiarios en los proyectos de vivienda a los que hace referencia el presente reglamento.

CAPITULO II

ELEGIBILIDAD DE PROYECTOS

ARTÍCULO 38. Elegibilidad de los proyectos. La elegibilidad de los proyectos será otorgada por el Comité de Elegibilidad de la Secretaría Distrital del Hábitat, quien podrá invitar los asistentes que considere necesarios en el proceso de evaluación y sustentación de los mismos. Para tales efectos se tendrán en cuenta los requisitos generales que se indican, de acuerdo con las modalidades de proyectos establecidos en el presente reglamento operativo.

ARTÍCULO 39. Comité de elegibilidad. Se crea el Comité de Elegibilidad que será la instancia encargada de aprobar los proyectos que incluyan la construcción y/o mejoramiento de vivienda de interés prioritario que serán objeto de la aplicación del SDVE. Dichos proyectos podrán ser de iniciativa de las entidades distritales del sector hábitat con competencia en gestión de suelo y promoción y producción de vivienda de interés social y prioritario y/o de personas naturales o jurídicas de carácter privado.

El Comité de Elegibilidad de Proyectos de construcción y/o mejoramiento de vivienda de interés prioritario estará conformado por los siguientes funcionarios:

1. El/La Secretario(a) Distrital del Hábitat o su delegado (a).

2. El/La Subsecretario(a) de Coordinación Operativa o su delegado (a).

3. El/La Subsecretario(a) de Planeación y Política o su delegado (a).

4. El/La Director(a) de Gestión Corporativa y Control Interno Disciplinario o su delegado (a).

5. El/La Subsecretario (a) de Gestión Financiera o su delegado (a).

6. El/La Subsecretario (a) de Inspección, Vigilancia y Control de Vivienda o su delegado (a).

7. El/La Subsecretario (a) Jurídico (a) o su delegado (a).

Solo podrían ser delegados funcionarios del nivel directivo. Podrán asistir como invitados los funcionarios o personas que éstos consideren pertinente, para la discusión de los temas a tratar.

PARÁGRAFO 1. Cuando se presenten proyectos por parte de las entidades ejecutoras de la política del Sector Hábitat, es decir Empresa de Renovación Urbana, Metrovivienda y Caja de la Vivienda Popular, serán invitados los gerentes y/o directores de las tres entidades para la presentación y definición del respectivo proyecto.

ARTÍCULO 40. Funcionamiento: El funcionamiento del Comité se regirá por las siguientes reglas:

1. Presidirá el Comité, el/la Subsecretario (a) de Planeación y Política y actuará como Secretario técnico el/la Subsecretario (a) de Gestión Financiera.

2. Se reunirá las veces que convoque el Presidente por intermedio del Secretario Técnico, y de sus reuniones se dejará constancia en actas que firmarán todos los integrantes del Comité. Su elaboración y custodia será de responsabilidad del Secretario.

3. El Comité deliberará y tomará decisiones con la mayoría absoluta de los integrantes que lo conforman.

4. Deberán asistir a todas las sesiones el total de los integrantes del Comité, en caso de no poder asistir podrá enviar su delegado (a).

ARTÍCULO 41. Funciones del Comité: Serán funciones del Comité las siguientes:

1. Modificado por el art. 6, Resolución Sec. Hábitat 575 de 2015. Conocer la evaluación de las condiciones técnicas, jurídicas y financieras de los proyectos de vivienda y mejoramiento sometidos a su consideración realizadas por la Subdirección de Apoyo a la Construcción, la Subsecretaría Jurídica y la Subdirección de Recursos Públicos, respectivamente, con el fin de determinar si procede la aplicación del SDVE.

2. Aprobar los proyectos que contemplen la construcción y/o mejoramiento de vivienda de interés social prioritario que podrán ser objeto de aplicación del SDVE.

3. Definir el porcentaje de Subsidios Distritales de Vivienda en Especie destinados a población residente en el marco de los procesos de revitalización del centro ampliado.

4.  Modificado por el art. 6, Resolución Sec. Hábitat 575 de 2015. Hacer seguimiento a los proyectos, con base en los informes que reporte la Subsecretaría de Gestión Financiera.

ARTÍCULO 42. Del Presidente y del Secretario Técnico del Comité de elegibilidad de proyectos: Son funciones del Presidente y del Secretario Técnico del Comité de Elegibilidad, las siguientes:

1. Del Presidente:

a. Programar los proyectos que serán presentados a cada sesión del Comité de Elegibilidad, previa presentación de la carta de intención por parte del constructor u oferente y los documentos establecidos en el reglamento operativo.

b. Reportar al Comité de Elegibilidad el estado de los proyectos presentados en etapa de evaluación y de los declarados elegibles hasta que se realice el giro de recursos.

2. Del Secretario Técnico:

a. Recepcionar los documentos de los oferentes y/o constructores de vivienda de interés prioritario interesados en presentar los proyectos al Comité de Elegibilidad.

b. Solicitar la evaluación de las condiciones técnicas, jurídicas y financieras de los proyectos que serán presentados para elegibilidad, a las áreas definidas en el presente reglamento.

c. Elaborar el orden del día.

d. Citar a los integrantes del Comité mediante convocatoria que deberá contener el día, hora y lugar en el cual se llevará a cabo la sesión, así como el orden del día.

e. Elaborar la presentación para el Comité, con base en la evaluación completa de cada proyecto remitida por el Presidente.

f. Elaborar y custodiar las actas de las sesiones del Comité.

g. Proyectar el acto administrativo por medio del cual se aprueban los proyectos elegidos por el Comité.

ARTÍCULO 43. Documentos generales para presentar al comité de elegibilidad Proyectos de Vivienda Nueva de Postulación Individual por parte de personas o entidades privadas.  Modificado por el art. 7, Resolución Sec. Hábitat 575 de 2015. Los documentos que serán aportados son los siguientes:

1. En relación con el oferente y/o constructor del proyecto:

a. Fotocopia del certificado de existencia y representación legal.

b. Fotocopia de la cédula del representante legal.

c. Fotocopia del RUT.

d Fotocopia del RIT.

e. Registro de Enajenador expedido por la Subsecretaría de Inspección, Vigilancia y Control de Vivienda de la Secretaría Distrital del Hábitat o la autoridad que haga sus veces en el municipio donde se va a desarrollar el proyecto.

f. Permiso de captación de recursos expedido por la Subdirección de Prevención y Seguimiento de la Subsecretaría de Inspección Vigilancia y Control de Vivienda de la Secretaría Distrital del Hábitat

g. Portafolio de proyectos construidos y tecnologías constructivas utilizadas, si existieran proyectos previamente desarrollados.

h. Estados financieros comparativos de los últimos dos años gravables, con las notas que acompañan los estados financieros.

i. Declaración de renta de los últimos dos años gravables, si el oferente es declarante.

j. Fotocopia del Registro Único de Proponentes-RUP

2. En relación con el proyecto:

a. Licencia de urbanismo del proyecto aprobada y vigente, con los planos presentados para su expedición o Resolución de Legalización cuando esta aplique.

Si el proyecto es desarrollado fuera de Bogotá, se deberá anexar una certificación de la autoridad competente de que la licencia de urbanismo y/o construcción fue expedida por el respectivo municipio y su vigencia.

b. Certificado de tradición y libertad del predio de mayor extensión en el que se desarrollará el proyecto inmobiliario, en caso de que no se hayan segregado los folios correspondientes a las unidades habitacionales independientes, con fecha de expedición no mayor a treinta (30) días calendario, que certifique que la propiedad está libre de embargos e hipotecas, excepto la constituida a favor de la entidad que financia el proyecto.

c. Copia de la escritura pública del predio de mayor extensión en caso que no se hayan segregado los folios correspondientes a las unidades habitacionales independientes.

d. Paz y salvo por el pago de impuesto predial, de contribución de valorización y de cualquier otro tributo que grave la propiedad inmueble.

e. Ficha general del proyecto que incluya: (i) Memoria Descriptiva del proyecto, (ii) planos de localización, implantación urbana. (iii) cuadro de áreas y (iv) número aproximado de soluciones de vivienda ofrecidas por tipo de unidad.

f. Presupuesto y/o estudio de factibilidad del proyecto ajustado a las licencias.

g. Flujo de caja ajustado a las licencias.

h. Cronograma general del proyecto en el que se incluya además de los tiempos que se establecen para la ejecución de obras de urbanismo y construcción , los tiempos para la realización de estudios y asesorías requeridos para la obtención de licencias y permisos, así como la fecha de escrituración y entrega de los inmuebles.

i. Para los proyectos en ejecución la licencia de construcción vigente.

j. Plan de inversión del proyecto ajustado al cronograma presentado.

k. Presupuesto detallado para la construcción de una torre, una casa o un multifamiliar de acuerdo con el proyecto, prorrateando los costos de urbanismo, costos de terreno, estudios consultorías y licencias discriminados por urbanismo y construcción, así como los costos de promoción, ventas y demás costos indirectos que se deban tener en cuenta en el proceso constructivo.

PARÁGRAFO 1. En el caso de uniones temporales, consorcios u otras formas asociativas, cada persona natural o jurídica deberá aportar los documentos señalados en el numeral 1 del presente artículo.

PARÁGRAFO 2. La evaluación de las condiciones técnicas, jurídicas y financieras, realizada por la Subdirección de Apoyo a la Construcción, la Subsecretaría Jurídica y la Subdirección de Recursos Públicos de la Secretaría Distrital del Hábitat, respectivamente, será presentada a consideración del Comité de Elegibilidad.

La evaluación de las condiciones técnicas y financieras se hará con base en la documentación aportada por los oferentes según los requisitos establecidos en los artículos 43, 44, 45 y 46 del presente Reglamento Operativo, de acuerdo con las características de cada proyecto.

En la evaluación de las condiciones jurídicas se deberán verificar los siguientes aspectos: la ausencia de sanciones que inhabiliten al oferente y/o constructor y su representante legal en relación con el manejo de recursos públicos, la representación legal, la cuantía autorizada al representante legal para obligarse, y la propiedad del predio sobre el cual se va a desarrollar el proyecto.

PARÁGRAFO 3. La Secretaría Distrital del Hábitat a través de la Subdirección de Prevención y Seguimiento de la Subsecretaría de Inspección Vigilancia y Control de Vivienda verificará la ausencia de multas o sanciones impuestas a la persona natural o jurídica y su representante legal, en los últimos cinco (5) años, con ocasión de conductas calificadas como faltas gravísimas por incumplimientos relacionados con construcción de vivienda. Adicionalmente, verificara que no se encuentre en un polígono de monitoreo.

Cuando se trate de proyectos desarrollados fuera de Bogotá, la certificación la emitirá la autoridad que haga las veces de la Secretaría Distrital del Hábitat o la autoridad de Planeación del ente territorial encargada de vigilar las actividades de enajenación de vivienda.

PARÁGRAFO 4. En los casos en que el oferente delegue la construcción del proyecto a un constructor, éste deberá cumplir con la totalidad de requisitos establecidos en el presente artículo.

ARTICULO 44. Proyectos Asociativos en Planes Parciales Aprobados.  Modificado por el art. 8, Resolución Sec. Hábitat 575 de 2015. Podrán ser declarados elegibles los proyectos asociativos para los cuales se haya firmado la respectiva carta de intención por lo menos con seis meses de anticipación a la fecha del comité de elegibilidad, que correspondan aplanes parciales aprobados con el apoyo en la gestión por parte de la Secretaría y que se haya radicado la respectiva licencia de urbanismo.

Los documentos que serán aportados son los siguientes:

1. En relación con el oferente y/o constructor del plan parcial aprobado:

a. Fotocopia del certificado de existencia y representación legal.

b. Fotocopia de la cédula del representante legal.

c. Fotocopia del RUT.

d. Fotocopia del RIT.

e. Registro de Enajenador expedido por la Subsecretaría de Inspección, Vigilancia y Control de Vivienda de laSecretaría Distrital del Hábitat o la autoridad que haga sus veces en el municipio donde se va a desarrollar el proyecto.

f. Permiso de captación de recursos expedido por la Subdirección de Prevención y Seguimiento de la Subsecretaría de Inspección Vigilancia y Control de Vivienda de la Secretaría Distrital del Hábitat

g. Portafolio de proyectos construidos y tecnologías constructivas utilizadas, si existieran proyectos previamente desarrollados.

h. Estados financieros comparativos de los últimos dos años gravables, con las notas que acompañan los estados financieros.

i. Declaración de renta de los últimos dos años gravables, si el oferente es declarante.

j. Fotocopia del Registro Único de Proponentes-RUP

PARÁGRAFO 1. En el caso de uniones temporales, consorcios u otras formas asociativas, cada persona natural o jurídica deberá aportar los documentos previamente señalados.

2. En relación con el proyecto:

a. Copia del acto administrativo mediante el cual se determina la adopción del plan parcial al cual pertenece el proyecto

b. Radicado de la licencia de urbanismo del proyecto y sus planos.

c. Certificado de tradición y libertad del predio de mayor extensión en el que se desarrollará el proyecto inmobiliario, en caso de que no se hayan segregado los folios correspondientes a las unidades habitacionales independientes, con fecha de expedición no mayor a treinta (30) días calendario, que certifique que la propiedad está libre de embargos e hipotecas, excepto la constituida a favor de la entidad que financia el proyecto.

d. Copia de la escritura pública del predio de mayor extensión en caso que no se hayan segregado los folios correspondientes a las unidades habitacionales independientes.

e. Paz y salvo por el pago de impuesto predial, de contribución de valorización y de cualquier otro tributo que grave la propiedad inmueble.

f. Ficha general del proyecto que incluya: (i) Memoria Descriptiva del proyecto, (ii) planos de localización, implantación urbana. (iii) cuadro de áreas y (iv) número aproximado de soluciones de vivienda ofrecidas por tipo de unidad.

g. Presupuesto y/o estudio de factibilidad del proyecto ajustado a las licencias radicadas.

h. Flujo de caja ajustado a las licencias radicadas.

i. Cronograma general del proyecto en el que se incluya además de los tiempos que se establecen para la ejecución de obras de urbanismo y construcción , los tiempos para la realización de estudios y asesorías requeridos para la obtención de licencias y permisos, así como la fecha de escrituración y entrega de los inmuebles.

j Plan de inversión del proyecto ajustado al cronograma presentado.

k Presupuesto detallado para la construcción de una torre, una casa o un multifamiliar de acuerdo con el proyecto, prorrateando los costos de urbanismo, costos de terreno, estudios consultorías y licencias discriminados por urbanismo y construcción, así como los costos de promoción, ventas y demás costos indirectos que se deban tener en cuenta en el proceso constructivo.

ARTÍCULO 45. Documentos generales para presentar Proyectos de Postulación Colectiva al comité de elegibilidad.

1. En relación con la Organización Popular de Vivienda:

a. Fotocopia del certificado de existencia y representación legal.

b. Fotocopia de la cédula del representante legal.

c. Fotocopia del RUT.

d. Fotocopia del RIT.

e. Listado de hogares afiliados a la OPV a postularse al SDVE.

f. Estados financieros comparativos de los últimos dos años gravables, con las notas que acompañan los estados financieros.

g. Declaración de renta de los últimos dos años gravables, si la OPV es declarante.

h. Permiso de captación de recursos expedido por la Subdirección de Prevención y Seguimiento de la Subsecretaría de Inspección Vigilancia y Control de Vivienda de la Secretaría Distrital del Hábitat.

i. Fotocopia del Registro Único de Proponentes-RUP cuando este aplique.

2. En relación con el proyecto:

a. Licencia de urbanismo del proyecto aprobada y vigente, con los planos presentados para la expedición.

b. Certificado de tradición y libertad del predio de mayor extensión en el que se desarrollará el proyecto inmobiliario, en caso de que no se hayan segregado los folios correspondientes a las unidades habitacionales independientes, con fecha de expedición no mayor a treinta (30) días calendario, que certifique que la propiedad está libre de embargos e hipotecas, excepto la constituida a favor de la entidad que financia el proyecto.

c. Copia de la escritura pública del predio de mayor extensión en caso que no se hayan segregado los folios correspondientes a las unidades habitacionales independientes.

d. Paz y salvo por el pago de impuesto predial, de contribución de valorización y de cualquier otro tributo que grave la propiedad inmueble.

e. Ficha general del proyecto que incluya: (i) Memoria Descriptiva del proyecto, (ii) planos de localización, implantación urbana. (iii) cuadro de áreas y (iv) número aproximado de soluciones de vivienda ofrecidas por tipo de unidad.

f. Presupuesto y/o estudio de factibilidad del proyecto ajustado a las licencias.

g. Flujo de caja ajustado a las licencias.

h. Cronograma general del proyecto en el que se incluya además de los tiempos que se establecen para la ejecución de obras de urbanismo y construcción, los tiempos para la realización de estudios y asesorías requeridos para la obtención de licencias y permisos, así como la fecha de escrituración y entrega de los inmuebles.

i. Para los proyectos en ejecución la licencia de construcción vigente.

j. Plan de inversión del proyecto ajustado al cronograma presentado.

k. Presupuesto detallado para la construcción de una torre, una casa o un multifamiliar de acuerdo con el proyecto, prorrateando los costos de urbanismo, costos de terreno, estudios consultorías y licencias discriminados por urbanismo y construcción, así como los costos de promoción, ventas y demás costos indirectos que se deban tener en cuenta en el proceso constructivo.

PARÁGRAFO 1. En el caso de uniones temporales, consorcios u otras formas asociativas, cada persona natural o jurídica deberá aportar los documentos señalados en el numeral 1 del presente artículo.

PARÁGRAFO 2. En los casos en que la OPV encargue la construcción del proyecto a un constructor, éste deberá allegar los requisitos exigidos en el numeral 1 del artículo 43 de la presente resolución.

PARÁGRAFO 3. La Secretaría Distrital del Hábitat a través de la Subdirección de Prevención y Seguimiento de la Subsecretaría de Inspección Vigilancia y Control de Vivienda verificará la ausencia de multas o sanciones impuestas a la persona natural o jurídica y su representante legal, en los últimos cinco (5) años, con ocasión de conductas calificadas como faltas gravísimas por incumplimientos relacionados con construcción de vivienda. Adicionalmente, verificará que no se encuentre en un polígono de monitoreo.

Cuando se trate de proyectos desarrollados fuera de Bogotá, la certificación la emitirá la autoridad que haga las veces de la Secretaría Distrital del Hábitat o la autoridad de Planeación encargada de vigilar las actividades de enajenación de vivienda.

ARTÍCULO 46. Documentos generales para presentar Proyectos de Postulación Territorial Dirigida al comité de elegibilidad. Modificado por el art. 10, Resolución Sec. Hábitat 575 de 2015.

1. Delimitación del área del proyecto:

La Secretaría Distrital del Hábitat definirá la delimitación de los polígonos de actuación para cada proyecto, con base en las Áreas Prioritarias de Intervención o en cualquier otra zona propuesta por las demás entidades distritales y/u oferentes.

2. En relación con el oferente:

a. Fotocopia del certificado de existencia y representación legal.

b. Fotocopia de la cédula del representante legal del oferente.

c. Estados financieros comparativos de los últimos dos años gravables, con las notas que acompañan los estados financieros.

d. Declaración de renta de los últimos dos años gravables, si la entidad es declarante.

e. Fotocopia del RUT.

f. Fotocopia del RIT.

g. Fotocopia del Registro Único de Proponentes-RUP

3. En relación con el proyecto:

a. Certificado de tradición y libertad de los predios donde se desarrollarán las intervenciones con fecha de expedición no mayor a treinta (30) días calendario, que certifique que la propiedad está libre de embargos e hipotecas, salvo lo dispuesto en el inciso 4 del parágrafo 1 del artículo 26.

b. Demostrar ser propietario, poseedor regular u ocupante si habita un bien inmueble fiscal. Para el caso de los poseedores se deberá aportar documento en el cual se declare que se ha ejercido dicha calidad de acuerdo con lo establecido en los artículos 762 y 764 del Código Civil de manera quieta, pacifica e ininterrumpida por un término no inferior a tres (3) años. Tal declaración se entiende prestada bajo la gravedad del juramento y a ella deberá adjuntarse prueba siquiera sumaria de la posesión regular.

c. Para el caso de bienes fiscales ocupados, deberá establecerse que se trata de aquellos susceptibles de titulación, conforme a lo dispuesto en los artículos 2 de la Ley 1001 de 2005, 43 de la Ley 1537 de 2012 y 11 del Decreto 0872 de 2013.

d. Presentación del proyecto.

e. Detalle de los predios a intervenir y tipo de SDVE a aplicar en cada uno.

f. Relación de los avalúos catastrales en donde conste que los predios no superan los 135 salarios mínimos legales mensuales vigentes.

g. Cronograma general del proyecto en el que se incluya fecha estimada de escrituración en caso de requerirse y entrega.

h. Presupuesto y flujo de caja del proyecto ajustado al cronograma presentado.

i. Copia del certificado expedido por la entidad del Sector Hábitat que haya apoyado la formulación del proyecto, en el que conste la verificación técnica que permita evidenciar que el inmueble a intervenir no presenta afectaciones o condiciones de riesgo que impidan la aplicación del SDVE.

j. Para otras condiciones relacionadas con sucesiones ilíquidas, hipotecas u otras formas de posesión se deberá anexar la documentación que establece el presente reglamento operativo.

PARÁGRAFO 1. En el caso de uniones temporales, consorcios u otras formas asociativas, cada persona natural o jurídica deberá aportar los documentos señalados en el numeral 1 del presente artículo.

PARÁGRAFO 2. Restablecido por el art. 1, Resolución Sec. Hábitat 536 de 2016. En los inmuebles que se aplique SDVE en la modalidad de mejoramiento estructural y en la modalidad de Construcción en Sitio Propio se debe presentar la licencia de construcción vigente.

PARÁGRAFO 3. La Secretaría Distrital del Hábitat designa a la Caja de la Vivienda Popular para ejercer la supervisión técnico social de los contratos realizados, hacer control y seguimiento al cumplimiento de los cronogramas del proyecto, autorizar las suspensiones y/o prorrogas con las correspondientes justificaciones realizadas por parte del interventor, las cuales deberán ser informadas previamente a la SDHT para su validación, hacer efectivas las garantías constituidas a favor de la CVP y autorizar la cesión de contratos en el marco del desarrollo de los proyectos de mejoramiento de vivienda, éste último previa aprobación del Comité de elegibilidad la SDHT.

ARTÍCULO 47. Proyectos presentados por las entidades ejecutoras del Sector Hábitat. La distribución de los recursos entre las entidades ejecutoras que conforman el sector Hábitat, es decir, la Caja de Vivienda Popular, la Empresa de Renovación Urbana o Metrovivienda se realizará a partir de proyectos presentados por cada una de ellas, teniendo en cuenta las condiciones urbanísticas, financieras y de integración socio-espacial de los proyectos, la inclusión de hogares –de manera individual o colectiva- en condiciones de vulnerabilidad y el cumplimiento de las metas del Plan de Desarrollo Económico y Social Bogotá Humana.

Se priorizarán los proyectos presentados por estas entidades sobre los privados y se podrán asignar recursos vía convenio para la adquisición de suelo y/o desarrollo de proyectos en el marco de los diferentes instrumentos de gestión del orden nacional y/o distrital. Las entidades operadoras deberán cumplir con los requisitos establecidos en los artículos precedentes dependiendo el esquema de postulación.

CAPÍTULO III

DESEMBOLSO DE APORTES DISTRITALES

ARTÍCULO 48. Modalidades de desembolso de los aportes distritales a proyectos. El aporte se podrá realizar a los oferentes y/o constructores, a las OPV o a las entidades ejecutoras de la política que conforman el sector Hábitat, a través de alguna de las siguientes modalidades:

1. Encargo fiduciario o fiducia mercantil en cualquiera de sus modalidades.

2. Aval bancario.

3. Cuentas bancarias que vincule o contrate el Banco Agrario de Colombia o la entidad que haga sus veces, para proyectos con Subsidio Familiar de Vivienda Rural.

ARTÍCULO 49. Documentos que deben presentar para el desembolso con encargo fiduciario. Modificado por el art. 11, Resolución Sec. Hábitat 575 de 2015.  Una vez los proyectos cuenten con resolución de elegibilidad de la Secretaría Distrital del Hábitat, se deberán entregar los siguientes documentos:

1. Certificación de existencia y representación legal de la entidad financiera que constituye el encargo fiduciario expedido por la Superintendencia Financiera de Colombia, o la entidad que haga sus veces.

2. Copia del contrato de encargo fiduciario, el cual debe contener como mínimo las siguientes obligaciones:

a. Manifestación expresa de que el contrato es de administración exclusiva para el proyecto para el cual se solicita el desembolso de los subsidios.

b. La fiduciaria recibirá los recursos de la Secretaría Distrital del Hábitat, los incluirá en los estados contables del proyecto y los administrará velando siempre por la eficiente y transparente gestión y destino de los mismos, teniendo en cuenta que son recursos públicos.

c. Condiciones de giro y de transferencia de los recursos.

d. Cláusula que señale que todas las instrucciones de desembolso al oferente y/o constructor serán aprobadas previamente por la Secretaría Distrital del Hábitat.

e. Obligaciones de la fiduciaria y del fideicomitente.

f. Obligaciones del oferente y/o constructor de asumir los costos de administración del encargo.

g. Tiempo de ejecución del proyecto.

h. Cronograma del proyecto.

i. Cláusula que señale que si 90 días después de desembolsados los recursos al encargo fiduciario no se ha iniciado el proyecto, estos serán devueltos al Distrito por solicitud expresa de la Secretaría Distrital del Hábitat.

j. Obligación del fideicomitente y el fiduciario de someterse y cumplir con la normatividad que rige la materia del SDVE.

3. Copia del contrato de interventoría con una persona natural o jurídica de la lista de profesionales inscritos en el Consejo Profesional Nacional de Ingeniería y Arquitectura. Para estos efectos, el contrato de interventoría podrá ser el mismo de los desembolsos de recursos del crédito constructor o hipotecario siempre y cuando se garantice el cumplimiento de lo establecido en el Título I capitulo i.2 del Reglamento Colombiano de Construcción Sismo resistente NSR 10 o las normas que la modifiquen o sustituyan. El alcance de la interventoría será administrativo, técnico y financiero.

4. Copia del contrato de obra celebrado con el constructor para el desarrollo del proyecto, cuando el constructor sea diferente al oferente, salvo que en el encargo fiduciario se encuentren las obligaciones de cada una de las partes respecto de la construcción de las viviendas.

5. Documento de cláusula de indemnidad, donde conste que el oferente libera de responsabilidad a la Secretaría Distrital del Hábitat, frente a reclamaciones de tipo laboral o de responsabilidad civil extracontractual, por situaciones derivadas del incumplimiento de aquél con terceros, la que también debe incluirse en el contrato de obra, en caso de que el constructor sea distinto del oferente.

6. Acta de inicio del proyecto.

PARÁGRAFO 1. La autorización del giro de los recursos al encargo fiduciario del proyecto se hará hasta por un cien por ciento (100%) del valor total de los recursos, previa presentación a laSecretaría Distrital del Hábitatde la Póliza Única de Cumplimiento, que contenga como mínimo los siguientes amparos:

a. Buen manejo y correcta inversión del anticipo: Por el 100% del monto girado en calidad de anticipo al constructor u oferente, con una vigencia que comprende el plazo de ejecución del proyecto hasta su liquidación.

b. Cumplimiento:Por el 30% del valor de los recursos del SDVE girados por la Secretaría Distrital del Hábitata la Fiduciaria, con una vigencia que comprende el plazo de ejecución del proyecto, sus adiciones y prórrogas, y tres (03) meses más.

c. Estabilidad y Calidad de la obra: Por el 30% de los costos directos del proyecto, con una vigencia de tres (03) años contados a partir de la fecha de entrega final y recibo de la totalidad de la obra a satisfacción del interventor del proyecto y visto bueno de la Subsecretaría de Coordinación Operativa y de la Subsecretaría de Gestión Financiera de la Secretaría Distrital del Hábitat.

PARÁGRAFO 2. Se entenderá como plazo final de ejecución del proyecto, el momento en el que se expide el Certificado de existencia y habitabilidad de la vivienda emitido por la Secretaría Distrital del Hábitat o por la autoridad que haga sus veces.

PARÁGRAFO 3. Los gastos generados por la movilización de los remanentes y/o de los rendimientos de los recursos generados con ocasión a la administración del subsidio se harán con cargo al SDVE

PARÁGRAFO 4. Para los proyectos presentados en el esquema de postulación territorial dirigida, la Póliza Única de Cumplimiento deberá tener como mínimo los siguientes amparos:

a. Buen manejo y correcta inversión del anticipo: Por el 100% del monto girado en calidad de anticipo al constructor u oferente, con una vigencia que comprende el plazo de ejecución del proyecto hasta su liquidación.

b. Cumplimiento:Por el 20% del valor de los recursos del SDVE girados por la Secretaría Distrital del Hábitata la Fiduciaria, con una vigencia que comprende el plazo de ejecución del proyecto, sus adiciones y prórrogas, y tres (03) meses más.

c. Estabilidad y Calidad de la obra: Por el 20% de los costos directos del proyecto, con una vigencia de seis (06) meses contados a partir de la fecha de entrega final y recibo de la totalidad de la obra a satisfacción del interventor del proyecto y visto bueno de la Subsecretaría de Coordinación Operativa y de la Subsecretaría de Gestión Financiera de la Secretaría Distrital del Hábitat.

PARÁGRAFO 5. Modificado por el art. 1, Resolución 796 de 2017. Las constructoras deberán allegar copia de la póliza de Responsabilidad Civil Extracontractual a favor de terceros afectados, que respalda la obra.

PARÁGRAFO 6. Previo a la autorización del primer giro, la constructora u oferente deberá allegar el anexo modificatorio de las pólizas ajustadas en la vigencia de conformidad con el acta de inicio.

PARÁGRAFO 7. En todos los casos donde se otorgue la póliza única de cumplimiento, corresponde a la Dirección de Gestión Corporativa su admisión y/o aprobación. El deber de hacerla efectiva mediante acto administrativo que declare el siniestro, estará en cabeza de la Subsecretaría Jurídica, previo el adelantamiento del procedimiento administrativo señalado en la parte primera de la Ley 1437 de 2011, el cual prestará mérito ejecutivo conforme a lo dispuesto en el artículo 99 numeral 4 de la misma ley.

PARÁGRAFO 8. La interventoría, durante la ejecución del proyecto deberá presentar un informe mensual de acuerdo con lo establecido en el Capítulo I.2 literales I.2.2 y I.2.3 del Reglamento Colombiano de Construcción Sismo resistente NSR 10 o las normas que la modifiquen o sustituyan.

PARÁGRAFO 9. Para aquellos proyectos que a la fecha del desembolso de los recursos del subsidio no han iniciado la ejecución de sus obras, se tomará como inicio del proyecto, en lo relacionado con el Subsidio Distrital del Vivienda en Especie, la fecha de la suscripción del acta de inicio del contrato de interventoría.

De igual forma, para los proyectos que hayan iniciado la ejecución de sus obras en fecha anterior a la solicitud de desembolso de los recursos del subsidio por parte del oferente o incluso a la aprobación por parte del Comité de Elegibilidad, se tomará como fecha de inicio del proyecto, para efectos del inicio de la vigencia del amparo de la póliza de cumplimiento, la fecha de la suscripción del acta de inicio del contrato de interventoría o aquella en la que el interventor contratado por el oferente, en cumplimiento de lo establecido en el Reglamento Operativo, presente un informe en el que se identifique el estado del proyecto con la relación de las actividades ejecutadas a la fecha sin recursos del SDVE y el respectivo aval de las obras ejecutadas.

ARTÍCULO 50. Giro de los recursos del encargo fiduciario a los Constructores, las OPV o las Entidades Operadoras. Modificado por el art. 12, Resolución Sec. Hábitat 575 de 2015. Para el giro de los recursos del encargo fiduciario a la constructora, se requerirá solicitud escrita por parte de la constructora en la que se establezca el monto solicitado, nombre y número de cuenta a la que se desembolsarán los recursos, informando si corresponde a anticipo o número de acta, firmada por el representante legal, con aprobación del interventor y de la Secretaría Distrital del Hábitat.

La Fiduciaria podrá girar hasta el 50% de los recursos desembolsados por la Secretaría Distrital del Hábitat, una vez presentados los siguientes documentos:

a. Acta de inicio del proyecto, de acuerdo al cronograma de obra aprobado.

b. Acta de inicio de las labores de interventoría. Lo anterior, no aplica para los proyectos presentados en el esquema de postulación territorial dirigida.

c. Informe inicial del interventor del análisis detallado de la propuesta, estudios, diseños, especificaciones de obra, presupuesto, cronogramas, planos, cantidades de obra y demás documentos, especificando el resultado de la evaluación realizada.

La Fiduciaria podrá girar los recursos restantes desembolsados por la Secretaría Distrital del Hábitat, contra las certificaciones del interventor sobre el avance de la obra y hasta por los montos de inversión del SDVE, establecidos en el flujo de caja, cronograma y plan de inversión junto con la adecuada ejecución y amortización del anticipo, previa autorización de la entidad.

PARÁGRAFO 1. La interventoría, durante la ejecución del proyecto deberá presentar un informe mensual de acuerdo con lo establecido en el Capítulo I.2 literales I.2.2 y I.2.3 del Reglamento Colombiano de Construcción Sismo resistente NSR 10 o las normas que la modifiquen o sustituyan.

PARÁGRAFO 2. Los gastos generados por la movilización de los remanentes y/o de los rendimientos de los recursos generados con ocasión a la administración del subsidio se harán con cargo al SDVE.

ARTÍCULO 51. Desembolso con aval bancario. Una vez los proyectos cuenten con resolución de elegibilidad de laSecretaría Distrital del Hábitat, se deberán entregar los siguientes documentos:

1. Certificación de existencia y representación legal de la entidad que otorga el aval expedida por la Superintendencia Financiera de Colombia.

2. Copia del contrato del aval bancario, que señale:

a. Que el enajenador de vivienda se encuentra inscrito ante la Subsecretaría de Inspección, Vigilancia y Control de Vivienda de la Secretaría Distrital del Hábitat.

b. Que el aval se constituye una garantía a favor de la Secretaría Distrital del Hábitat irrevocable e intransferible.

c. Que el valor avalado cubre el cien por ciento (100%) de los recursos a desembolsar, incluida la corrección monetaria con base en la variación del Índice de Precios al Consumidor (IPC).

d. La vigencia del aval debe comprender el tiempo de ejecución del proyecto acorde con el cronograma de obra y la vigencia del SDVE.

e. Instrucciones para el giro y transferencia de los recursos.

f. Tiempo de ejecución del proyecto.

g. Que en caso de incumplimiento por parte del constructor, deberá restituir en el término de 10 días contados a partir de la fecha en que se produjo el incumplimiento, los recursos de subsidios desembolsados junto con los rendimientos financieros que se produzcan desde su depósito hasta la fecha de restitución a la Secretaría Distrital del Hábitat, a la cuenta que para tal efecto el Distrito determine.

h. Cláusula que señale que si 90 días después de desembolsados los recursos al fideicomiso no se ha iniciado el proyecto, estos serán devueltos al Distrito por solicitud expresa de la Secretaría Distrital del Hábitat con sus respectivos rendimientos financieros.

i. Que el constructor no podrá destinar los recursos del SDVE para cubrir pago de comisiones al avalista o costos diferentes a los asociados al proyecto.

3. Póliza que ampare la Estabilidad y Calidad de la obra: Por el 30% de los costos directos del proyecto, con una vigencia de tres (03) años contados a partir de la fecha de entrega final y recibo de la totalidad de la obra a satisfacción del interventor del proyecto y visto bueno de la Subsecretaría de Coordinación Operativa y de la Subsecretaría de Gestión Financiera de la Secretaría Distrital del Hábitat.

4. Copia del contrato de interventoría con una persona natural o jurídica de la lista de profesionales inscritos en el Consejo Profesional Nacional de Ingeniería y Arquitectura. Para estos efectos, el contrato de interventoría podrá ser el mismo de los desembolsos de recursos del crédito constructor o hipotecario siempre y cuando se garantice el cumplimiento de lo establecido en el Título I capitulo i.2 del Reglamento Colombiano de Construcción Sismo resistente NSR 10 o las normas que la modifiquen o sustituyan. El alcance de la interventoría será administrativa, técnica y financiera.

5.  Suprimido por el art. 13, Resolución Sec. Hábitat 575 de 2015. Copia de la póliza constituida por el interventor garantizando además del cumplimiento del contrato, la estabilidad y calidad de la obra con la misma vigencia de la del constructor.

6. Cronograma del proyecto.

7. Acta de inicio del proyecto.

PARÁGRAFO 1. La Secretaría Distrital del Hábitat podrá autorizar el giro del 100% de los recursos en esta modalidad previo cumplimiento de los requisitos establecidos.

ARTÍCULO 52. Desembolso con fideicomiso de administración inmobiliaria. Una vez los proyectos cuenten con resolución de elegibilidad de laSecretaría Distrital del Hábitat, los oferentes y/o constructores deberán entregar los siguientes documentos:

1. Certificación de existencia y representación legal de la entidad fiduciaria, expedido por la Superintendencia Financiera de Colombia, o la entidad que haga sus veces.

2. Copia del contrato de interventoría con una persona natural o jurídica de la lista de profesionales inscritos en el Consejo Profesional Nacional de Ingeniería y Arquitectura; para estos efectos, el contrato de interventoría podrá ser el mismo de los desembolsos de recursos del crédito constructor o hipotecario siempre y cuando garantice el cumplimiento de lo establecido en el Título I capitulo i.2 del Reglamento Colombiano de Construcción Sismo resistente NSR 10 o las normas que la modifiquen o sustituyan. El alcance de la interventoría será administrativa, técnica y financiera.

3. Suprimido por el art. 13, Resolución Sec. Hábitat 575 de 2015. Copia de la póliza constituida por el interventor garantizando además del cumplimiento del contrato, la estabilidad y calidad de la obra con la misma vigencia de la del constructor.

4. Certificado de Tradición y Libertad del terreno en el que se verifique la transferencia de la propiedad al patrimonio autónomo y que se encuentra libre de cualquier tipo de gravamen, excepto por la hipoteca a favor de la entidad que financia el proyecto, en caso tal que se cuente con crédito hipotecario constructor.

5. Copia del contrato de fideicomiso de administración inmobiliaria del proyecto, que señale:

a. Constitución de patrimonio autónomo

b. Condiciones de giro y de transferencia de los recursos.

c. Cláusula que señale que todas las instrucciones de desembolso al oferente y/o constructor serán aprobadas previamente por laSecretaría Distrital del Hábitat.

d. Ubicación, identificación, cabida, linderos y propiedad del lote.

e. Obligaciones de la fiduciaria y del fideicomitente.

f. Obligación del oferente y/o constructor de asumir los costos de administración del fideicomiso.

g. La transferencia real y material a la fiduciaria del inmueble como cuerpo cierto, incluyendo sus mejoras, anexidades, usos y costumbres o certificación de la entidad fiduciaria donde se informe que la transferencia está en trámite. Esta certificación aplica exclusivamente para el primer giro a la constructora u oferente.

h. Los bienes que ingresan al patrimonio autónomo incluyendo los recursos del SDVE de los futuros beneficiarios que harán parte del proyecto.

i. Tiempo de ejecución del proyecto

j. Cronograma del proyecto.

k. Cláusula que señale que si 90 días después de desembolsados los recursos al fideicomiso no se ha iniciado el proyecto, estos serán devueltos al Distrito por solicitud expresa de la Secretaría Distrital del Hábitat con sus respectivos rendimientos financieros.

l. Los recursos del SDVE ingresarán al patrimonio autónomo y la fiduciaria los incluirá en los estados contables del proyecto y los administrará de acuerdo con las reglas que rigen las fiducias.

m. En caso que el fideicomitente contravenga las obligaciones señaladas en el contrato de fiducia, la Secretaría Distrital del Hábitat comunicará a la fiduciaria para que restituya en el término de 10 días hábiles, los recursos del subsidio junto con los rendimientos financieros que se produzcan desde su depósito hasta la fecha de restitución a la entidad, a la cuenta que para tal efecto el Distrito determine.

n. Obligación del fideicomitente y el fiduciario de someterse y cumplir con la normatividad que rige la materia del SDVE.

6. Copia del contrato de obra celebrado con el constructor para el desarrollo del proyecto, salvo que en el contrato de fiducia se encuentren las obligaciones de cada una de las partes respecto de la construcción de las viviendas.

7. Documento de cláusula de indemnidad, donde conste que el oferente libera de responsabilidad a la Secretaría Distrital del Hábitat, frente a reclamaciones de tipo laboral o de responsabilidad civil extracontractual, por situaciones derivadas del incumplimiento de aquél con terceros, la que también debe incluirse en el contrato de obra, en caso de que el constructor sea distinto del oferente.

8. Certificación bancaria de la cuenta del constructor a la cual se efectuará el desembolso de los recursos del SDVE.

9. Acta de inicio del proyecto

PARÁGRAFO 1. La autorización del giro de los recursos al fideicomiso inmobiliario del proyecto constructivo se hará hasta por un cien por ciento (100%) del valor total de los recursos, previo al inicio de la obra y con la presentación de la Póliza Única de Cumplimiento, que contenga como mínimo los siguientes amparos:

a. Buen manejo y correcta inversión del anticipo: Por el 100% del monto girado en calidad de anticipo al constructor u oferente, con una vigencia que comprende el plazo de ejecución del proyecto hasta su liquidación.

b.Cumplimiento: Por el 30% del valor de los recursos del SDVE girados por la Secretaría Distrital del Hábitat a la Fiduciaria, con una vigencia que comprende el plazo de ejecución del proyecto, sus adiciones y prórrogas, y tres (03) meses más.

c. Estabilidad y Calidad de la obra: Por el 30% de los costos directos del proyecto, con una vigencia de tres (03) años contados a partir de la fecha de entrega final y recibo de la totalidad de la obra a satisfacción del interventor del proyecto y visto bueno de la Subsecretaría de Coordinación Operativa y de la Subsecretaría de Gestión Financiera de la Secretaría Distrital del Hábitat.

PARÁGRAFO 2. Se entenderá como plazo final de ejecución del proyecto, el momento en el que se expide el Certificado de existencia y habitabilidad emitido por la Secretaría Distrital del Hábitat o por la autoridad que haga sus veces.

La Fiduciaria podrá girar hasta el 50% de los recursos desembolsados por la Secretaría Distrital del Hábitat, una vez presentados los siguientes documentos:

a. Acta de inicio del proyecto, de acuerdo al cronograma de obra aprobado.

b. Acta de inicio de las labores de interventoría.

c. Informe inicial del interventor del análisis detallado de la propuesta, estudios, diseños, especificaciones de obra, presupuesto, cronogramas, planos, cantidades de obra y demás documentos, especificando el resultado de la evaluación realizada.

La Fiduciaria podrá girar los recursos restantes desembolsados por la Secretaría Distrital del Hábitat, contra las certificaciones del interventor sobre el avance de la obra y hasta por los montos de inversión del SDVE, establecidos en el flujo de caja, cronograma y plan de inversión junto con la adecuada ejecución y amortización del anticipo, previa autorización de la entidad.

PARÁGRAFO 3. La fiduciaria manejará los recursos desembolsados anticipadamente en una cuenta bancaria independiente que para el efecto deberá abrirse a nombre del proyecto.

PARÁGRAFO 4. Las constructoras deberán allegar copia de la póliza de Responsabilidad Civil de Responsabilidad Extracontractual a favor de terceros afectados, que respalda la obra.

PARÁGRAFO 5. Previo a la autorización del primer giro, la constructora u oferente deberá allegar el anexo modificatorio de las pólizas ajustadas en la vigencia de conformidad con el acta de inicio.

PARÁGRAFO 6. La interventoría, durante la ejecución del proyecto deberá presentar un informe mensual de acuerdo con lo establecido en el Capítulo I.2 literales I.2.2 y I.2.3 del Reglamento Colombiano de Construcción Sismo resistente NSR 10 o las normas que la modifiquen o sustituyan.

PARÁGRAFO 7. Para aquellos proyectos que a la fecha del desembolso de los recursos del subsidio no han iniciado la ejecución de sus obras, se tomará como inicio del proyecto, en lo relacionado con el Subsidio Distrital del Vivienda en Especie, la fecha de la suscripción del acta de inicio del contrato de interventoría.

De igual forma, para los proyectos que hayan iniciado la ejecución de sus obras en fecha anterior a la solicitud de desembolso de los recursos del subsidio por parte del oferente o incluso a la aprobación por parte del Comité de Elegibilidad, se tomará como fecha de inicio del proyecto, para efectos del inicio de la vigencia del amparo de la póliza de cumplimiento, la fecha de la suscripción del acta de inicio del contrato de interventoría o aquella en la que el interventor contratado por el oferente, en cumplimiento de lo establecido en el Reglamento Operativo, presente un informe en el que se identifique el estado del proyecto con la relación de las actividades ejecutadas a la fecha sin recursos del SDVE y el respectivo aval de las obras ejecutadas.

ARTÍCULO 53. Documentos requeridos para el desembolso del SDVE para el esquema casa en mano. Para el giro de los recursos del SDVE, se deberán presentar los siguientes documentos:

1. Autorización de desembolso al vendedor, suscrita por alguna persona mayor de edad del hogar beneficiario.

2. Copia de la escritura pública que permita verificar la adquisición de la vivienda exclusivamente por parte del hogar beneficiario del SDVE, suscrita por al menos uno de sus integrantes, donde conste: 1) que la vivienda se adquirió con recursos del SDVE, 2) que el precio de la compra corresponda al tipo de vivienda al cual se postuló o a un precio inferior, 3) que la vivienda no puede ser enajenada antes de trascurridos diez (10) años contados a partir de la transferencia del inmueble, 4) que la vivienda debe ser habitada por el hogar beneficiario durante el término de diez (10) años contados a partir de su transferencia, 5) que se constituyó patrimonio de familia inembargable, 6) que en caso de remate judicial dentro de los (5) años contados a partir de su adquisición, el titular registrado declara que accede a que el juzgado ordene restituir a la Secretaría Distrital del Hábitat el monto del subsidio otorgado debidamente indexado, y 7) derecho de preferencia de acuerdo a la Ley. La escritura pública debe encontrarse acompañada de los documentos que se protocolicen con la misma, entre los cuales deberá encontrarse la carta de asignación del SDVE, o en su defecto, copia de la resolución de asignación del subsidio.

3. Recibos de pago de los derechos notariales y de registro, cuando éstos se paguen con recursos del SDVE.

4. Certificado de tradición y libertad con fecha de expedición no mayor a treinta (30) días calendario, que evidencie el registro de la compraventa, restricciones y la constitución del patrimonio de familia.

5. Copia de la consulta del módulo de pagos de Fonvivienda donde conste el giro del SFV, en caso de ser beneficiario del SFV.

6. Acta de recibo a satisfacción del inmueble.

7. Certificado de existencia y habitabilidad emitido por la Secretaría Distrital del Hábitat o por quien ésta designe, para oferta de vivienda presentada en Bogotá. En los casos de vivienda fuera de la ciudad, deberá ser emitido por la autoridad competente.

8. Fotocopia de la cédula de ciudadanía del vendedor, si éste es una persona natural, y fotocopia del certificado de existencia y representación legal, RUT, RIT y de la cédula de ciudadanía del representante legal, si es una persona jurídica.

9. Certificación bancaria con fecha de expedición no superior a tres (3) meses, que contenga el tipo y número de cuenta, el nombre y número de identificación del titular a quien se efectuará el giro de los recursos y que la cuenta se encuentra activa.

10.  Modificado por el art. 14, Resolución Sec. Hábitat 575 de 2015. Copia del certificado de auditoría y existencia de la vivienda adquirida con el SFV suscrito por la Caja de Compensación Familiar o el operador autorizado, el cual será remitido por Fonvivienda en virtud de lo establecido en el Convenio Interadministrativo de Cooperación 005 de 2011 o el que lo modifique o adicione, en caso de ser beneficiario del SFV.

TÍTULO IV

AUTORIZACIÓN PARA ENAJENAR, PÉRDIDAS Y SANCIONES, RESTITUCIÓN Y DERECHO DE PREFERENCIA, VENCIMIENTO DE SUBSIDIOS

CAPÍTULO I

AUTORIZACIÓN PARA ENAJENAR

ARTÍCULO 54. Autorización para enajenar. Cuando se acrediten razones de fuerza mayor o caso fortuito, la Secretaría Distrital del Hábitat podrá autorizar la venta de una vivienda adquirida, construida o mejorada con el SDVE, siempre que el producto de esa enajenación se destine a la adquisición de una nueva VIP en Bogotá D.C., dentro de los tres (3) meses siguientes a la fecha del registro de la enajenación autorizada y se constituya patrimonio de familia inembargable sobre la nueva solución habitacional.

De no acreditar lo anterior en el término fijado, el hogar beneficiario deberá restituir el valor del subsidio, más la variación ocasionada sobre el valor de su asignación conforme al Índice de Precios al Consumidor (IPC). En todo caso, se deberá respetar el Derecho de Preferencia en cabeza de la Secretaría Distrital del Hábitat de conformidad con lo señalado en el presente reglamento operativo. Los hogares víctimas del conflicto interno armado podrán adquirir vivienda en cualquier parte del territorio nacional.

PARÁGRAFO 1. La Secretaría Distrital del Hábitat autorizará la enajenación en los términos descritos, siempre y cuando el hogar allegue la oferta de vivienda y documentos que demuestren que va a adquirirla.

ARTÍCULO 55. Causales de Pérdida del SDVE. Habrá lugar a la pérdida del SDVE en los siguientes casos:

1. Cuando se compruebe que el subsidio fue asignado sin el cumplimiento de los requisitos de que trata el presente reglamento operativo.

2. Cuando se compruebe que el hogar omitió información relevante para la asignación, o incurrió en comportamientos fraudulentos para obtener el SDVE.

3. Cuando se compruebe que el hogar presentó simultáneamente duplicidad de postulaciones para acceder al SDVE, de conformidad con el artículo 40 del Decreto 2190 de 2009.

4. Cuando se compruebe que el hogar beneficiario realizó transacciones no autorizadas o fraudulentas relacionadas con el SDVE.

5. Cuando se compruebe que el hogar beneficiario incumplió la obligación de habitar la vivienda o la enajenó o arrendó antes de diez (10) años, sin que haya mediado autorización de la Secretaría Distrital del Hábitat. Lo anterior solo aplica para el caso de adquisición y/o construcción de vivienda en sitio propio.

6. Cuando el hogar beneficiario obtenga el SDVE mediante engaño sobre las condiciones requeridas para su concesión o callando total o parcialmente la verdad, incurriendo en fraude por subvención consagrado en el artículo 26 de la Ley 1174 de 2011, la Secretaría Distrital del Hábitat informará a las autoridades judiciales para lo de su competencia.

7. Cuando los recursos del SDVE, luego de la enajenación previamente autorizada en los casos de razones de fuerza mayor o caso fortuito, no se destinen a la adquisición de una nueva VIP en Bogotá D.C., dentro de los tres (3) meses siguientes a la fecha del registro de la enajenación autorizada y/o no se constituya patrimonio de familia inembargable sobre la nueva solución habitacional.

8. Por comprobarse falsedad en los documentos presentados para la asignación del SDVE, de conformidad con lo dispuesto en los artículos 8 y 30 de la Ley 3ª de 1991, el primero modificado por el artículo 21 de la ley 1537 del 20 de junio de 2012.

9. Cuando el hogar beneficiario pierda el cierre financiero, en cuyo caso la Secretaría Distrital del Hábitat reemplazará dicho cupo con un nuevo hogar que cumpla con los requisitos.

10. Cuando el hogar escriture la vivienda adquirida con el Subsidio incluyendo información no suministrada en el Formulario de Postulación.

PARÁGRAFO 1. Si se detectan inconsistencias en la documentación o información presentada para acreditar los requisitos para ser beneficiario del SDVE, que afecten el cumplimiento de requisitos o tengan incidencia en la asignación del puntaje otorgado al hogar, se solicitará al beneficiario presentar las aclaraciones del caso, para lo cual se otorgará un término por parte de la entidad otorgante. Si dentro del plazo establecido no se aclaran las imprecisiones, habrá lugar a la restitución del SDVE otorgado, de acuerdo con lo establecido en el inciso segundo del artículo 7° de la Ley 3a de 1991 y modificado por el artículo 21 de la Ley 1537 de 2012.

Si se comprueba la falsedad, de acuerdo con lo establecido en el presente artículo, o la condena de los beneficiarios por delitos cometidos en contra de menores de edad, con posterioridad a la asignación del SDVE, pero previa transferencia de la vivienda respectiva, se revocará la asignación y no procederá la transferencia. En el caso en que la vivienda otorgada a título de SDVE ya haya sido transferida, se revocará la asignación del subsidio, y como consecuencia el hogar beneficiario deberá restituir la propiedad al patrimonio autónomo respectivo o a la Secretaría Distrital del Hábitat, de acuerdo con las instrucciones de esta última. En ningún caso, los hijos menores de edad perderán los beneficios del subsidio de vivienda y los conservarán a través de la persona que los represente.

En cualquiera de los casos señalados en este parágrafo, ninguno de los integrantes mayores de edad del hogar postulante podrá solicitar de nuevo un SDVE durante un término de diez (10) años, de conformidad con lo estipulado en el artículo 30 de la Ley 3a de 1991. Adicionalmente, cuando se presenten los eventos señalados en el parágrafo 2° del artículo 8° de la Ley 3a de 1991, modificado por el artículo 21 de la Ley 1537 de 2012, la entidad otorgante del SDVE deberá dar traslado de las actuaciones realizadas a la Fiscalía General de la Nación, para que se inicien las investigaciones a que haya lugar.

PARÁGRAFO 2. Los hogares a los que les sea declarada la perdida, sólo podrán postularse nuevamente transcurridos diez (10) años contados a partir de la fecha de expedición de la respectiva resolución que la declara, salvo el numeral 9 del presente artículo, al que se le aplicará la sanción establecida en el artículo 57 del reglamento operativo.

ARTÍCULO 56. Sanciones a los oferentes, constructores y enajenadores. Los oferentes, constructores y enajenadores que utilicen en forma inadecuada los recursos del SDVE o no cumplan con las especificaciones técnicas, jurídicas o contractuales señaladas en la documentación presentada, serán inhabilitados para participar como oferentes durante diez (10) años contados a partir de la fecha que certifique el incumplimiento. Así mismo, los enajenadores que incurran en tales conductas, serán sancionados como se establece en la Ley 66 de 1968, modificada por el Decreto Ley 2610 de 1979, o la norma que la modifique, sustituya o complemente.

PARÁGRAFO 1. Los constructores que incumplan con la entrega de los documentos requeridos para la legalización del SDVE, serán inhabilitados por un (1) año contado a partir de la fecha que certifique el incumplimiento.

ARTÍCULO 57. Sanciones a los beneficiarios del SDVE. Los hogares que renuncien o pierdan la participación en proyectos constructivos asignados, quedarán inhabilitados por un (1) año para acceder a un SDVE, contados a partir de la fecha de ejecutoria de la respectiva resolución que la declara o la acepta.

PARÁGRAFO 1. Si cumplido el tiempo de inhabilidad, el hogar decide ingresar nuevamente al proceso de asignación en un nuevo proyecto, deberá hacer la solicitud y la Secretaría Distrital del Hábitat lo registrará como una nueva inscripción.

CAPÍTULO II

RESTITUCIÓN DEL SDVE

ARTÍCULO 58. Causales de Restitución del Subsidio Distrital en Especie: El SDVE deberá ser restituido a la Secretaría Distrital del Hábitat en los siguientes casos:

1. Cuando una vez otorgado el subsidio se logre demostrar que se incurrió en alguna de las causales previstas en el artículo 55 de este reglamento salvo la prevista en el numeral 9.

2. Cuando el hogar no cumpla con lo establecido en parágrafo 2 del artículo 27 del presente reglamento

3. Cuando el hogar solicite autorización para enajenar con ocasión de la liquidación de la sociedad conyugal, sociedad patrimonial y procesos sucesorales.

En todo caso, deberá garantizarse el debido proceso y el derecho de defensa, conforme a lo establecido en la parte primera del Código de Procedimiento Administrativo y de lo Contencioso Administrativo.

CAPÍTULO III

DERECHO DE PREFERENCIA

ARTÍCULO 59. Procedimiento. Una vez vencido el plazo de las restricciones para la enajenación del inmueble adquirido con recursos de SDVE, la Secretaría Distrital del Hábitat tendrá derecho de preferencia para la compra de los inmuebles, en el evento en que el propietario decida vender su vivienda.

En consecuencia, los propietarios deberán ofrecerlos en primer término a la Secretaría Distrital del Hábitat, por una sola vez, cuyo representante dispondrá de un plazo de tres (3) meses desde la fecha de recepción de la oferta para manifestar si deciden hacer efectivo este derecho, y un plazo adicional de seis (6) meses para perfeccionar la transacción.

Las condiciones para la adquisición de la vivienda y la metodología para definir su valor de compra, serán definidas por la Secretaría Distrital del Hábitat.

PARÁGRAFO 1. Las viviendas adquiridas en ejercicio de este derecho, se ofrecerán a otros hogares que cumplan las condiciones para ser beneficiarios del SDVE.

PARÁGRAFO 2. El derecho de preferencia de que trata el presente artículo, se inscribirá en el folio de matrícula inmobiliaria correspondiente por parte de la Oficina de Registro de Instrumentos Públicos.

TÍTULO V

VIGENCIA

ARTÍCULO 60. Vigencia del Subsidio Distrital de Vivienda en Especie. La vigencia de los subsidios distritales, en los casos de vivienda nueva que trata esta resolución, estarán sujetos al cronograma de obra y ejecución del proyecto certificado por el constructor y podrán ser prorrogados mediante acto administrativo, expedido para tal efecto, salvo para el esquema de postulación casa en mano, la cual tendrá una vigencia máxima de seis meses.

Para el esquema de postulación territorial dirigida, la entidad operadora u oferente podrá solitar a la Secretaría del Hábitat oportunamente la prórroga de los subsidios con la correspondiente justificación.

PARÁGRAFO 1. Los subsidios asignados en el esquema casa en mano, cuyo vendedor desista de la negociación, podrán ser vencidos anticipadamente mediante acto administrativo que se expida para el efecto.

PARÁGRAFO 2. La Secretaría Distrital del Hábitat se guarda la facultada de fenecer los subsidios asignados con anterioridad a la expedición del presente reglamento operativo, para lo cual adaptará el procedimiento establecido en el artículo 65 del presente reglamento operativo.

TÍTULO VI

DISPOSICIONES ADICIONALES

ARTÍCULO 61. Acompañamiento. La Secretaría Distrital del Hábitat acompañará, asistirá y asesorará a los hogares durante todo el proceso de otorgamiento del Subsidio Distrital de Vivienda en Especie. También realizará acompañamiento a los hogares beneficiarios del SDVE, para lograr una adaptación a la vida en copropiedad.

La Subsecretaría de Gestión Financiera, a través de la Subdirección de Recursos Privados, realizará acompañamiento mediante la asesoría a los hogares inscritos en el SIFSV para alcanzar el cierre financiero.

ARTÍCULO 62. Acompañamiento para los proyectos de postulación colectiva. La Secretaría Distrital del Hábitat, realizará acompañamiento técnico, jurídico y financiero a los hogares integrantes de proyectos asociativos.

ARTÍCULO 63. Uso de la información. La información contenida en el SIFSV solo podrá ser utilizada para la definición, revisión y ajuste de la política de vivienda del Distrito Capital, y para efectos de la asignación de los SDVE. Lo anterior atendiendo el derecho a la intimidad y el buen nombre de los integrantes del hogar.

ARTÍCULO 64. Remisión a otras disposiciones. Todo aquello que no se encuentre contemplado en el presente Reglamento Operativo, o que genere vacíos de interpretación, se regirá por las normas sustanciales y de procedimiento vigentes, siendo en todo caso el intérprete natural de las mismas, la Secretaría Distrital del Hábitat.

ARTÍCULO 65. Vencimiento de Subsidios Distritales de Vivienda en Especie. En cumplimiento de lo establecido en el parágrafo 1º del artículo 8 de la Ley 1537 de 2012, la Secretaría Distrital del Hábitat podrá no prorrogar los subsidios distritales de vivienda asignados cuando estos no fueran desembolsado en la vigencia en la cual fueron otorgados o cuando estos no hayan sido girados en forma anticipada, previo cumplimiento de los siguientes requisitos:

1. Elaborase una lista con los nombres, cédulas de los beneficiarios de subsidios distritales de vivienda y número de resolución de asignación que no vayan a ser prorrogados.

2. La relación de estos hogares se publicará en la página web oficial de la Secretaría Distrital del Hábitat, con una antelación no inferior a 30 días calendario a la fecha de vencimiento de los subsidios y permanecerá publicada por el término de diez (10) días hábiles.

3. Durante este período los beneficiarios podrán solicitar a la SDHT la prórroga del subsidio acreditando la documentación que respalde su petición.

4. Una vez vencido el plazo de los diez (10) días hábiles, se entenderá notificada la decisión de no prorrogar la vigencia de los subsidios distritales de vivienda, salvo los hogares que por demostrar el otorgamiento de la escritura pública de compraventa, sean incluidos en la resolución de prórroga.

5. Los subsidios distritales de vivienda que no se incluyan en el acto administrativo de prórroga, una vez vencido el plazo de su vigencia, perderán fuerza ejecutoria de conformidad con lo establecido en el artículo 91 del Código de Procedimiento Administrativo y de lo Contencioso Administrativo.

TITULO VII

RÉGIMEN DE TRANSICIÓN

ARTÍCULO 66. Régimen de transición.  Modificado por el art. 15, Resolución Sec. Hábitat 575 de 2015. Los hogares beneficiarios de los subsidios otorgados por la Secretaría Distrital del Hábitat, antes de la entrada en vigencia de la presente resolución, podrán autorizar mediante comunicación por escrito, su desembolso a cualquier patrimonio autónomo que se constituya por parte de la entidad , la Empresa de Renovación Urbana, Metrovivienda y la Caja de Vivienda Popular, o las entidades que hagan sus veces o aquellos constituidos en virtud de proyectos aprobados por el comité de elegibilidad, con el fin de promover y/o desarrollar proyectos que tengan como fin la generación de vivienda de interés prioritario, de los cuales serán beneficiarios, sin que tal situación les otorgue la calidad de fideicomitentes. En todo caso, para el desembolso el beneficiario deberá contar con autorización previa de la entidad otorgante.

PARÁGRAFO 1. Los hogares que se encuentran en proceso de desembolso adelantado con la Resolución 922 del 27 de julio de 2011,176 de 2 de abril de 2013 y 1168 de 5 de diciembre de 2013, terminarán el trámite de conformidad con esta resolución.

PARÁGRAFO 2. Los desembolsos de los Subsidios Distritales de Vivienda de los proyectos constructivos aprobados por el Comité de Verificación de proyectos de vivienda nueva VIS y VIP, en el marco de la Resolución 1153 de 2011, se regirán por lo establecido en las Resoluciones 922 y 1283 de 2011.

PARÁGRAFO 3. Los hogares que a la fecha se encuentren en estado inscrito se regirán por lo establecido en el presente reglamento operativo y seguirán en estado inactivo hasta tanto actualicen sus datos en el SIFSV conforme a los requisitos para acceder a las modalidades de subsidio, tipo de subsidio y esquemas de postulación.

PARÁGRAFO 4. Los hogares vulnerables y en situación de desplazamiento por el conflicto armado interno con Subsidio Distrital de Vivienda asignado, que a la fecha de entrada en vigencia la presente resolución no han iniciado el proceso de escrituración, serán vinculados a los diferentes esquemas establecidos en el reglamento operativo.

Los subsidios a los que se refiere el presente parágrafo perderán su vigencia; sin embargo, los respectivos hogares mantendrán el derecho al mismo. En consecuencia, una vez el hogar se vincule en alguno de los esquemas establecidos en esta resolución, será cobijado por los montos del SDVE con base en los valores establecidos por el presente reglamento operativo.

La vinculación de los hogares mencionados en el presente parágrafo al nuevo esquema, respetará las condiciones establecidas en los distintos actos administrativos que asignaron los Subsidios Distritales de Vivienda, por lo que no será necesaria una verificación adicional del cumplimiento de requisitos por parte de los beneficiarios para acceder al Subsidio Distrital de Vivienda en Especie, salvo el cierre financiero que deberá acreditar el hogar y la conformación del núcleo familiar.

ARTÍCULO 67. Vigencias y derogatorias. El presente acto administrativo rige a partir de la fecha de su publicación, y deroga todas las normas que le sean contrarias, en particular la Resolución No. 176 de 2013 y sus resoluciones modificatorias y la resolución 1153 de 2011, "Por medio de la cual se fijan los criterios que deben cumplir los proyectos de vivienda nueva VIS y VIP para optar al desembolso anticipado de los Subsidios Distritales de Vivienda y se dictan otras disposiciones".

PUBLÍQUESE Y CÚMPLASE.

Dado en Bogotá D.C., a los 09 días del mes de octubre del año 2014.

MARÍA MERCEDES MALDONADO COPELLO

Secretaria Distrital del Hábitat