RÉGIMEN LEGAL DE BOGOTÁ D.C.

© Propiedad de la Secretaría Jurídica Distrital de la Alcaldía Mayor de Bogotá D.C.

Secretaría
Jurídica Distrital

Cargando el Contenido del Documento
Por favor espere...

Resolución 735 de 2015 Comisión de Regulación de Agua Potable y Saneamiento Básico

Fecha de Expedición:
09/12/2015
Fecha de Entrada en Vigencia:
09/12/2015
Medio de Publicación:
Diario Oficial No. 49730 del 9 de diciembre de 2015.
La Secretaría Jurídica Distrital aclara que la información aquí contenida tiene exclusivamente carácter informativo, su vigencia está sujeta al análisis y competencias que determine la Ley o los reglamentos. Los contenidos están en permanente actualización.


 
 

RESOLUCIÓN CRA 735 DE 2015

 

(Diciembre 09)

 

Por la cual se modifica, adiciona y aclara la Resolución CRA 688 de 2014

 

LA COMISIÓN DE REGULACIÓN DE AGUA POTABLE Y SANEAMIENTO BÁSICO (CRA)

 

En ejercicio de sus facultades legales, en especial de las conferidas por la Ley 142 de 1994, los decretos 1524 de 1994, 2882 y 2883 de 2007, 1077 de 2015, y

 

CONSIDERANDO:

 

Que el artículo 334 de la Constitución Política de Colombia consagra que la dirección general de la economía estará a cargo del Estado, el cual intervendrá por mandato de la ley, entre otras actividades, en los servicios públicos y privados, para racionalizar la economía con el fin de conseguir el mejoramiento de la calidad de vida de los habitantes, la distribución equitativa de las oportunidades y los beneficios del desarrollo y la preservación de un ambiente sano;

 

Que el artículo 365 ibídem dispone que los servicios públicos son inherentes a la finalidad social del Estado y que es deber de este asegurar su prestación eficiente a todos los habitantes del territorio nacional;

 

Que el artículo 367 ídem determina que la ley fijará las competencias relativas a la prestación de los servicios públicos domiciliarios, su cobertura, calidad y financiación, el régimen tarifario y las entidades competentes para fijar las tarifas;

 

Que el artículo 370 de la Constitución Política de 1991 prevé que corresponde al Presidente de la República señalar, con sujeción a la ley, las políticas generales de administración y control de eficiencia de los servicios públicos domiciliarios, y ejercer por medio de la Superintendencia de Servicios Públicos Domiciliarios, el control, la inspección y vigilancia de las entidades que los presten;

 

Que el artículo 68 de la Ley 142 de 1994 establece que el señalamiento de las políticas a que hace referencia el artículo 370 de la Carta Política, se podrá delegar en las comisiones de regulación;

 

Que en virtud de lo anterior, el Presidente de la República, mediante Decreto 1524 de 1994, delegó las funciones presidenciales de señalar políticas generales de administración y control de eficiencia en los servicios públicos domiciliarios en las comisiones de regulación;

 

Que el artículo 73 de la Ley 142 de 1994 establece las funciones y facultades generales de las comisiones de regulación, y la misma norma dispone que estas unidades administrativas especiales: “(...) tienen la función de regular los monopolios en la prestación de los servicios públicos, cuando la competencia no sea, de hecho, posible; y, en los demás casos, la de promover la competencia entre quienes presten servicios públicos, para que las operaciones de los monopolistas o de los competidores sean económicamente eficientes, no impliquen abuso de la posición dominante, y produzcan servicios de calidad (...)”;

 

Que el régimen tarifario aplicable a los servicios públicos domiciliarios, de conformidad con el numeral 86.4 del artículo 86 ibídem, está compuesto por reglas relativas a procedimientos, metodologías, fórmulas, estructuras, estratos, facturación, opciones, valores y, en general, todos los aspectos que determinan el cobro de las tarifas;

 

Que el 24 de junio de 2014, fue expedida por la Comisión de Regulación de Agua Potable y Saneamiento Básico (CRA), la Resolución CRA 688 de 2014, la cual estableció la metodología tarifaria para las personas prestadoras de los servicios públicos domiciliarios de acueducto y alcantarillado con más de 5.000 suscriptores en el área urbana;

 

Que el acto administrativo en mención fue publicado el 31 de julio de 2014 en el Diario Oficial 49.229;

 

Que como consecuencia del proceso de socialización y capacitación efectuado por la Comisión de Regulación de Agua Potable y Saneamiento Básico respecto del nuevo marco tarifario contenido en la resolución referida, se recibieron observaciones y solicitudes de aclaración que fueron objeto de análisis por parte de esta comisión, encontrando que se hacía necesario modificar, adicionar y aclarar algunos aspectos de la Resolución CRA 688 de 2014;

 

Que adicionalmente, en la redacción del texto de la Resolución CRA 688 de 2014, se incurrió en errores de digitación que se hace necesario corregir;

 

Que en consideración a que es necesario modificar, adicionar y aclarar la Resolución CRA 688 de 2014 y que se sometió a participación ciudadana el acto administrativo correspondiente, con el propósito de redefinir algunos aspectos tales como el año base de aplicación de la resolución y el año previo a la aplicación, redefinir los plazos para presentar la auto-declaración de inversiones a cargo de los prestadores y re-expresar a pesos de diciembre de 2014 los cálculos de los costos administrativos eficientes estándar y los costos operativos comparables eficientes estándar por suscriptor. Así mismo, es necesario modificar la fecha desde la cual inicia la aplicación de las tarifas y la vigencia de la fórmula tarifaria, contenidas en la Resolución CRA 688 de 2014;

 

Que dentro de los aspectos que fueron objeto de observación por los usuarios, las entidades del sector y los prestadores de servicios públicos domiciliarios, se encuentra el alcance del ámbito de aplicación de la resolución, particularmente en aspectos relacionados con los sistemas de interconexión, los mercados regionales, las condiciones para la expedición de la certificación de viabilidad y disponibilidad del servicio previstas en el artículo 2.2.1.1. del Decreto 1077 de 2015, en el área de prestación del servicio; el cálculo del DEA para áreas de prestación del servicio con un mismo sistema interconectado, la aplicación de los criterios de segmentación, los plazos y los criterios para calcular los costos administrativos;

 

Que en reuniones sostenidas con la Superintendencia de Servicios Públicos Domiciliarios-(SSPD), se evidenció la necesidad de aclarar la obligación de los prestadores de presentar la auto-declaración de inversiones, particularmente para facilitar el ejercicio de las funciones de inspección, vigilancia y control propias de dicha entidad;

 

Que adicionalmente se recibieron observaciones relacionadas con el alcance de la actividad del auditor externo de gestión y resultados, así como sobre la competencia de los jefes de control interno de las ESP públicas respecto de la evaluación de gestión de los prestadores de servicios públicos domiciliarios, aspectos que son necesarios modificar;

 

Que el 16 de marzo de 2015 en sesión de comisión extraordinaria 2, la Comisión de Regulación expidió la Resolución CRA 712, “por la cual se hace público el proyecto de resolución “por la cual se modifica, adiciona y aclara la Resolución CRA 688 de 2014”, se da cumplimiento a lo previsto por el numeral 11.4 del artículo 11 del Decreto 2696 de 2004, y se inicia el proceso de discusión directa con los usuarios y agentes del sector”;

 

Que el Gobierno Nacional expidió el Decreto 1077 de 2015, “por medio del cual se expide el Decreto Único Reglamentario del sector Vivienda, Ciudad y Territorio.”, el cual compiló, entre otros, el Decreto 2696 de 2004, que define las reglas mínimas para garantizar la divulgación y participación en las actuaciones de las comisiones de regulación;

 

Que de conformidad con lo dispuesto en el artículo 2.3.6.3.3.11 del Decreto 1077 de 2015, para la expedición de una metodología de carácter general y tarifario, la CRA debe dar estricto cumplimiento al proceso de participación ciudadana, para lo cual debe realizar la publicación del respectivo proyecto regulatorio, por el término de tres (3) meses antes de la fecha prevista para la vigencia de las fórmulas tarifarias, con el fin de que el proyecto sea discutido, analizado y socializado por todos los interesados y que así puedan presentar observaciones o propuestas sobre su contenido;

 

Que en lo que respecta a la Resolución CRA 712 de 2015, la participación ciudadana inició en la fecha de publicación de dicho acto administrativo en el Diario Oficial 49.466 de 27 de marzo de 2015, es decir que dicho proceso comprendió el período del 27 de marzo de 2015 al 30 de junio de 2015, teniendo en cuenta que el 27 de junio fue día no hábil;

 

Que así mismo, en complemento al proceso de participación ciudadana, esta Unidad Administrativa Especial realizó 3 jornadas de discusión directa en las ciudades de Barranquilla, Cali y Neiva con el fin de discutir de manera presencial la propuesta regulatoria y recoger las observaciones presentadas por la ciudadanía y agentes del sector;

 

Que vencido el período de participación ciudadana el 30 de junio de 2015, esta comisión de regulación recibió 186 observaciones y sugerencias las cuales fueron analizadas individualmente de manera previa a la expedición del presente acto administrativo y, posteriormente respondidas en los términos establecidos para el efecto;

 

Que el total de observaciones escritas y presenciales recibidas y clasificadas en ejes temáticos, se consideraron, se analizaron y la comisión determinó su procedencia en la presente resolución;

 

Que como consecuencia del proceso de análisis de las observaciones recibidas dentro del proceso de participación ciudadana otorgado al proyecto de resolución por el cual se modifica, aclara y adiciona la Resolución CRA 688 de 2014, la Comisión de Regulación de Agua Potable y Saneamiento Básico aprobó, en sesión extraordinaria de comisión 10 del 6 de noviembre de 2015, la Resolución CRA 728 de 2015, la cual aún no ha sido publicada y, en consecuencia, no se encuentra vigente;

 

Que en consideración a que el proceso referido en el considerando anterior culminó muy cerca de la nueva fecha propuesta para la aplicación de las tarifas, por lo que el tiempo con el que cuentan las personas prestadoras de los servicios públicos domiciliarios de acueducto y alcantarillado para realizar el estudio de costos y adoptar los trámites necesarios para aplicar dicha metodología se vio reducido considerablemente, la Comisión de Regulación considera oportuno aplazar la fecha de aplicación de las tarifas para el segundo semestre del año 2016;

 

Que como consecuencia de lo anterior, igualmente es necesario modificar las fechas de aplicación del régimen de calidad y descuentos, ya que los cortes para hacer los cálculos de los descuentos se ven afectados con la modificación de la fecha de inicio de aplicación de las tarifas previstas en la Resolución CRA 688 de 2014;

 

Que teniendo en cuenta lo dispuesto en el artículo del Decreto 2897 de 2010, por el cual se reglamenta el artículo de la Ley 1340 de 2009 y habiendo diligenciado el cuestionario que para el efecto adoptó la Superintendencia de Industria y Comercio mediante Resolución 44649 del 25 de agosto de 2010, se determinó que el contenido del presente acto administrativo no tiene incidencia sobre la libre competencia en los mercados. Sin embargo, el presente acto administrativo fue remitido a la Superintendencia de Industria y Comercio para su información, mediante radicado CRA 20152110047091 del 23 de octubre de 2015;

 

Que en mérito de lo expuesto, la Comisión de Regulación de Agua Potable y Saneamiento Básico,

 

RESUELVE:

 

ARTÍCULO 1. MODIFICAR y ADICIONAR un parágrafo al artículo 1º de la Resolución CRA 688 de 2014, el cual quedará así:

 

ARTÍCULO 1. Ámbito de Aplicación. Esta resolución aplica a todas las personas prestadoras de los servicios públicos domiciliarios de acueducto y alcantarillado que a 31 de diciembre de 2013 cumplan alguna de las siguientes condiciones en las Áreas de Prestación del Servicio (APS) que atienden: contar con más de 5.000 suscriptores en el área urbana de un municipio; con más de 5.000 suscriptores en el área urbana de más de un municipio mediante un mismo sistema interconectado; o con más de 5.000 suscriptores en el área urbana y rural de uno o más municipios mediante un mismo sistema interconectado, en los cuales más del 50% de sus suscriptores sean urbanos.

 

Lo anterior, salvo las excepciones contenidas en la ley, particularmente las señaladas en el parágrafo 1º del artículo 87 de la Ley 142 de 1994. En todo caso, cuando en los contratos suscritos por las personas prestadoras de los servicios públicos domiciliarios de acueducto y alcantarillado para la prestación de estos servicios, se pacte la sujeción del mismo a la metodología tarifaria que expida la Comisión de Regulación de Agua Potable y Saneamiento Básico (CRA), se aplicará la resolución vigente, siempre y cuando las partes del mismo sean prestadores que atiendan un número de suscriptores con las condiciones antes mencionadas.

 

En los casos que una persona prestadora provea ambos servicios, deberá tener en cuenta aquel en el que tiene un mayor número de suscriptores para definir si se encuentra dentro del ámbito de aplicación de la presente resolución.

 

PARÁGRAFO. Si una persona prestadora con APS sujetas a lo dispuesto en el presente artículo cuenta con otras APS que no hagan parte de este ámbito de aplicación, podrá aplicar en estas últimas la metodología establecida en la presente resolución teniendo en cuenta lo dispuesto en el parágrafo 3º del artículo 4º de la presente resolución”.

 

ARTÍCULO 2. ADICIONAR las siguientes definiciones al artículo 3º de la Resolución CRA 688 de 2014, el cual quedará así:

 

ARTÍCULO 3. Definiciones. Para la aplicación de la presente resolución se tendrán en cuenta las siguientes definiciones, además de las consignadas en la normativa vigente:

 

(…).

 

ac/al: expresión para determinar que la misma fórmula debe ser utilizada tanto para el servicio público domiciliario de acueducto (ac) como para el servicio público domiciliario de alcantarillado (al).

 

Año tarifario: para efectos de las proyecciones y de la aplicación de la metodología establecida en la presente resolución corresponde al periodo comprendido entre el primero (1º) de julio y el treinta (30) de junio del año siguiente.

 

Área rural: para efectos de la presente resolución corresponde al total del área municipal, exceptuando su cabecera.

 

Área urbana: para efectos de la presente resolución, corresponde a las cabeceras municipales.

 

(…).

 

Costos de prestación unificados: corresponden a los costos totales de prestación de varias APS atendidas por un mismo prestador mediante un sistema interconectado. Los costos de prestación unificados serán calculados para todos los componentes de la fórmula tarifaria, es decir, se deberá unificar los costos de administración, operación, inversión y de tasas ambientales del sistema interconectado.

 

(…).

 

Período de ejecución de inversiones de la Resolución CRA 287 de 2004: período comprendido entre el primer año fijado en el VPIRER de la a prestadora y el 30 de junio de 2016, para la ejecución del VPIRER.

 

(…).

 

Sistema interconectado: para efectos de la presente resolución, corresponde a la infraestructura de acueducto y/o alcantarillado, de un mismo prestador, que se encuentra físicamente conectada entre sí para la prestación de estos servicios en un conjunto de municipios, es decir, dos (2) o más municipios.

 

(…)”.

 

ARTÍCULO 3. MODIFICAR y ADICIONAR los parágrafos y al artículo 4º de la Resolución CRA 688 de 2014, el cual quedará así:

 

ARTÍCULO 4. Segmentación: para efectos de la aplicación de lo establecido en la presente resolución, la persona prestadora deberá identificar a que segmento pertenece cada una de las APS que atiende, teniendo en cuenta lo siguiente:

 

Primer segmento. Se aplicará la metodología establecida para el primer segmento en:

 

• Las APS con más de 100.000 suscriptores en el área urbana.

 

• Las APS atendidas mediante un mismo sistema interconectado y que en conjunto sumen más de 100.000 suscriptores.

 

• Las APS que atiendan más del 10% de los suscriptores del área urbana de las siguientes ciudades capitales: Armenia, Manizales, Montería, Neiva, Pasto, Popayán, Santa Marta, Sincelejo, Tunja, Valledupar y Villavicencio. Si alguna persona prestadora atiende estas APS y adicionalmente atiende otras APS con el mismo sistema interconectado, estas últimas también pertenecerán al primer segmento.

 

Segundo segmento. Se aplicará la metodología establecida para el segundo segmento en las siguientes APS, con excepción de las ya incluidas en el primer segmento:

 

• Las APS que tengan entre 5.001 y 100.000 suscriptores en el área urbana.

 

• Las APS que tengan entre 5.001 y 100.000 suscriptores en el área urbana y rural, en las cuales más del 50% de sus suscriptores pertenecen al área urbana.

 

• Las APS atendidas mediante un mismo sistema interconectado y que en conjunto sumen entre 5.001 y 100.000 suscriptores en el área urbana.

 

• Las APS atendidas mediante un mismo sistema interconectado y que en conjunto sumen entre 5.001 y 100.000 suscriptores en el área urbana y rural, en las cuales más del 50% de sus suscriptores sean urbanos.

 

Parágrafo 1. Las personas prestadoras con APS del segundo segmento podrán aplicar en estas la metodología correspondiente al primer segmento, para ello deberán tener en cuenta lo establecido en el parágrafo 3º del artículo 104 de la presente resolución. Una vez la persona prestadora informe que elige esta opción no podrá, en ningún caso, aplicar la metodología para el segundo segmento.

 

Parágrafo 2. En aquellos casos en que con un mismo sistema la persona prestadora atienda suscriptores del área urbana y del área rural, deberá agregarlos para determinar el segmento que le corresponde.

 

Parágrafo 3. Las personas prestadoras que opten por lo establecido en el parágrafo del ARTÍCULO 1 de la presente resolución, deberán hacerlo utilizando en las APS que no hagan parte de este ámbito de aplicación, la metodología de cualquiera de los dos segmentos, teniendo en cuenta lo establecido en el parágrafo 4 del ARTÍCULO 104 de la presente resolución. Una vez la persona prestadora informe que elige esta opción no podrá, en ningún caso, aplicar la metodología que le correspondía inicialmente”.

 

ARTÍCULO 4. MODIFICAR el artículo 5º de la Resolución CRA 688 de 2014, y sus parágrafos , y , el cual quedará así:

 

ARTÍCULO 5. Año base. Para efectos de la presente resolución, se considerará como año base el 2014. Las personas prestadoras deberán expresar los costos de referencia en pesos de diciembre de dicho año.

 

(…).

 

Parágrafo 2. En aquellos casos en que por la entrada en operación de un prestador, no existiera información para el año base, este deberá aplicar de forma integral la metodología establecida en la presente resolución, teniendo en cuenta que el año base se entenderá como el año anterior de aplicación de la metodología tarifaria a partir del cual inicia la proyección de sus costos. En todo caso, deberá expresar los costos de referencia en pesos de diciembre de 2014.

 

(…).

 

Parágrafo 4. Para expresar los costos administrativos y operativos del año 2013 en pesos de diciembre 2014, se tomarán los costos registrados en los estados financieros y se les aplicará un factor de 1.0387. Para expresar los costos administrativos y operativos del año 2014 en pesos de diciembre de 2014 se aplicará un factor de 1.0106.

 

Parágrafo 5. Para efectos de la aplicación de la presente resolución, se entiende como año 0 el año 2014. Para efectos del cálculo de los costos eficientes estándar del primer segmento, el valor base corresponde al promedio del año 2013 y del año 2014. El valor de la base de capital regulada del año base corresponderá al saldo al 30 de junio de 2016, expresándola en pesos de diciembre de 2014”.

 

ARTÍCULO 5. MODIFICAR el artículo de la Resolución CRA 688 de 2014, el cual quedará así:

 

ARTÍCULO 6. Periodo previo a la aplicación del marco tarifario. El año 2015 y el primer semestre del año 2016, se consideran el periodo para realizar los estudios y acciones previas para la aplicación de la metodología tarifaria contenida en la presente resolución.

 

Las metas para los estándares de servicio y de eficiencia establecidos en el artículo 9º de la presente resolución deberán definirse a partir del mes de julio del año 2016, e incluirán el avance logrado en el cumplimiento de las mismas hasta el mes de junio del 2016.

 

Para efectos de la proyección de que trata la presente resolución, se entenderá que cada año i corresponde a cada año tarifario”.

 

ARTÍCULO 6. MODIFICAR y ADICIONAR los parágrafos , y del artículo 7º de la Resolución CRA 688 de 2014, el cual quedará así:

 

ARTÍCULO 7. Área de Prestación del Servicio (APS). Las personas prestadoras deberán definir un Área de Prestación del Servicio (APS) en cada uno de los municipios que atiende, en concordancia con los Planes de Ordenamiento Territorial (POT) y con los planes maestros de acueducto y alcantarillado, y reportarla al municipio respectivo. En los casos en que la persona prestadora atienda más de un municipio, independiente de si lo hace mediante sistemas interconectados o no, definirá un APS por cada municipio. Dicha definición consistirá en la presentación de un mapa geo-referenciado en formato shape, el cual deberá presentarse en el sistema de referencia Magna-Sirgas o el sistema de coordenadas oficial que se encuentre vigente, delimitando exactamente el área en la cual cada persona prestadora prestará los servicios públicos domiciliarios de acueducto y alcantarillado, y dentro de la cual se compromete a cumplir los estándares de servicio establecidos en la presente resolución, así como a dar cumplimiento al Decreto 1077 del 26 de mayo de 2015, siempre que se den las condiciones previstas en el mismo, o la norma que lo modifique, adicione, sustituya o derogue.

 

(…).

 

Parágrafo 3. Las personas prestadoras deberán articular el POIR y la infraestructura existente con las decisiones de uso de suelo contenidas en los planes de ordenamiento territorial y los instrumentos que los desarrollen y complementen.

 

Parágrafo 4. Las personas prestadoras deberán calcular los costos de referencia de que trata la presente resolución para cada APS, salvo en aquellos eventos en que con un mismo sistema interconectado atienda varias APS, en cuyo caso podrá calcular los costos de prestación unificados para dicho sistema teniendo en cuenta que: el número de suscriptores, el ICTA, el ITO, la determinación de las metas para los estándares de servicio y el Plan de Obras e Inversiones Regulado (POIR), deberán proyectarse por APS.

 

Parágrafo 5. En el caso en el que se genere una variación menor o igual al 10% del valor presente del POIR del APS definido para el cálculo de las tarifas, como efecto de una modificación en las normas urbanísticas o de lo establecido en el Decreto 1077 de 2015 o aquel que lo modifique, adicione, sustituya o derogue, este podrá ser ajustado por la persona prestadora por una sola vez sin que sea necesario solicitar a la CRA la modificación de dicho valor. Para tal efecto, deberá cumplir con las disposiciones contenidas en la sección 5.1.1. de la Resolución CRA 151 de 2001, o la norma que la modifique, adicione, sustituya o derogue, para el reporte de las variaciones tarifarias, y así mismo deberá remitir a la Comisión de Regulación de Agua Potable y Saneamiento Básico y a la Superintendencia de Servicios Públicos Domiciliarios los soportes que hayan generado tal variación.

 

Parágrafo 6. Las personas prestadoras podrán definir APS diferentes para cada servicio únicamente en estos casos: cuando la empresa solo preste uno de los dos servicios públicos domiciliarios, o cuando atienda suscriptores del servicio público domiciliario de alcantarillado que no sean suscriptores del servicio de acueducto porque disponen de fuentes alternas de abastecimiento, o cuando atienda suscriptores del servicio público domiciliario de acueducto pero estos dispongan de soluciones particulares de vertimientos que cumplan con los criterios ambientales establecidos por las autoridades competentes”.

 

ARTÍCULO 7. MODIFICAR la fórmula de las metas anuales de nuevos suscriptores prevista en el artículo 11 de la Resolución CRA 688 de 2014 , el factor de crecimiento vegetativo de las viviendas en el APS y el parágrafo de dicho artículo, el cual quedará así:

 

ARTÍCULO 11. Número de suscriptores residenciales por facturar al cierre del año i para acueducto y alcantarillado (NCRi,ac/al): El número al cierre del año i se calcula como el número de suscriptores al cierre del año anterior más la meta de nuevos suscriptores residenciales por facturar del año proyectado (∆NCRi,ac/al), determinados así:

 

“(…) Para lo anterior deberá considerar la siguiente expresión:

 

F1R735

Donde:

 

NCR0,ac/al: número de suscriptores residenciales facturados al cierre del año base para cada servicio público domiciliario.

 

NCRmc,acnúmero de suscriptores residenciales por facturar con posibilidad de servicio en el año mc para el servicio público domiciliario de acueducto.

 

F1.1.R735

VSS: viviendas sin servicio al momento de la declaración del APS de acuerdo con lo definido en el artículo 8º de la presente resolución.

 

VNF: viviendas no facturadas con conexión identificadas por la persona prestadora al momento de la declaración del APS.

 

fVR: factor de crecimiento vegetativo de las viviendas en el APS, para lo cual la persona prestadora podrá tomar como información de referencia las proyecciones de población elaboradas por el DANE, realizando las estimaciones correspondientes de acuerdo con su propio conocimiento y situación de crecimiento poblacional.

 

mc: año en que alcanza la meta de cobertura definida para cada segmento, de acuerdo con lo establecido en el artículo 9º de la presente resolución, es decir que será, como máximo cinco (5) años en las APS del primer segmento y siete (7) años en las del segundo segmento.

 

NCRmc,alnúmero de suscriptores residenciales por facturar con posibilidad de servicio en el año mc para el servicio público domiciliario de alcantarillado, el cual será igual al del servicio público domiciliario de acueducto, con excepción de los suscriptores que dispongan de fuentes alternas de abastecimiento y/o soluciones particulares de vertimientos que cumplan los criterios ambientales establecidos por las autoridades competentes.

 

PARÁGRAFO 1. Para la proyección de los años siguientes al año en que la persona prestadora alcanza su meta de cobertura (año mc), se tomará como meta anual de suscriptores únicamente el crecimiento vegetativo (…)”.

 

ARTÍCULO 8. MODIFICAR el factor de crecimiento anual de los suscriptores no residenciales del servicio público domiciliario de acueducto en el año i, señalado en el artículo 12 de la Resolución CRA 688 de 2014, el cual quedará así:

 

ARTÍCULO 12. Número de suscriptores no residenciales por facturar al cierre del año i para acueducto (NCNRi,ac): el número de suscriptores no residenciales por facturar al cierre de cada año de proyección para el servicio público domiciliario de acueducto se calcula de acuerdo con la siguiente fórmula:

 

“(…).

 

fNRi: factor de crecimiento anual de los suscriptores no residenciales del servicio público domiciliario de acueducto en el año i, el cual la persona prestadora podrá estimar con base en la tasa de crecimiento del PIB departamental calculada por el DANE, o en caso de tener estimación propia, podrá incorporarla dejando soporte suficiente del estudio realizado para revisión de la autoridad de vigilancia y control”.

 

ARTÍCULO 9. MODIFICAR el parágrafo del artículo 22 de la Resolución CRA 688 de 2014, el cual quedará así:

 

ARTÍCULO 22. Costo Medio de Administración (CMA). El costo medio de administración de los servicios públicos domiciliarios de acueducto y alcantarillado se define de la siguiente manera:

 

“(…).

 

PARÁGRAFO. A partir del año seis (6), y mientras la CRA no fije una nueva fórmula tarifaria, se aplicará la siguiente fórmula con base en los valores eficientes proyectados para el año cinco (5):

 

F2R735

CAT5,ac/al: costos administrativos totales en el año 5 (pesos de diciembre del año base/por mes) para cada servicio público domiciliario, según lo definido en el artículo 23 de la presente resolución.

 

N5,ac/alnúmero de suscriptores facturados promedio del año 5 para cada servicio público domiciliario, según lo definido en el artículo 10 de la presente resolución”.

 

ARTÍCULO 10. ACTUALIZAR la tabla de costos administrativos eficientes estándar por suscriptor mensual del segundo segmento y ADICIONAR los parágrafos , , , , y al artículo 26 de la Resolución CRA 688 de 2014 , el cual quedará así:

 

ARTÍCULO 26. Costos administrativos eficientes estándar por suscriptor mensual (CAU*). Los costos administrativos eficientes estándar por suscriptor mensual se determinan según el segmento que corresponda, así:

 

Primer segmento: (…).

 

Segundo segmento:

 

Los costos administrativos eficientes estándar por suscriptor mensual del segundo segmento para cada servicio público domiciliario son:

 

Costos administrativos eficientes estándar por suscriptor mensual para el segundo segmento (pesos de diciembre de 2014)

CAU*ac

$4.402 suscriptor/mes

CAU*al

$2.522 suscriptor/mes

 

(…).

 

PARÁGRAFO 3. Para el cálculo del PDEA, la CRA evaluará la información reportada por las personas prestadoras con APS pertenecientes al primer segmento que se encuentran relacionadas en el numeral 8º del anexo II de la presente resolución. A partir del cumplimiento de los parámetros mínimos para la inclusión en el modelo y la no presentación de datos atípicos en la información reportada en el SUI de cinco (5) o más personas prestadoras se realizará el cálculo del PDEA, las cuales constituirán el grupo básico para el cálculo del PDEA. Si entre una (1) y cuatro (4) personas prestadoras cumplen con los parámetros mínimos para la inclusión en el modelo y no presentan datos atípicos en la información reportada en el SUI, no se aplicará la metodología del DEA. Estas personas prestadoras tendrán un PDEA del 100% y el menor CAU* resultante de ellas deberá ser aplicado por las demás personas prestadoras que cuenten con APS en las que apliquen la metodología del primer segmento.

 

PARÁGRAFO 4. En el evento que ningún prestador cumpla con los parámetros mínimos y se presenten datos atípicos en la información reportada en el SUI para la inclusión en el modelo, las personas prestadoras con APS del primer segmento y las que opten por aplicar la metodología correspondiente al primer segmento, deberán aplicar los siguientes costos administrativos eficientes estándar por suscriptor mensual para cada servicio público domiciliario, en la fórmula del artículo 25 de la presente resolución:

 

Costos administrativos eficientes estándar por suscriptor mensual para el primer segmento (pesos de diciembre de 2014)

CAU*ac

$2.612 suscriptor/mes

CAU*al

$1.517 suscriptor/mes

 

PARÁGRAFO 5. Aquellas personas prestadoras que atienden APS en las que opten por aplicar la metodología correspondiente al primer segmento, según lo establecido en los parágrafos 3º o 4º del artículo 104 de la presente resolución, y adicionalmente cuenten con APS del primer segmento, deberán aplicar el CAU* obtenido por estas últimas.

 

PARÁGRAFO 6. El PDEA de costos administrativos para aquellas personas prestadoras con APS del segundo segmento, que optaron por aplicar la metodología correspondiente al primero, dando cumplimiento a lo establecido en el parágrafo 3º del artículo 104 de la presente resolución, se calculará de la siguiente manera:

 

i) Si existe grupo básico y la persona prestadora cumple con los parámetros mínimos establecidos en el anexo II de la presente resolución y no presenta datos atípicos en la información reportada en el SUI, el PDEA será estimado e informado por la CRA, sin modificar los puntajes de las APS pertenecientes al grupo básico. En el evento de no cumplir con los parámetros mínimos aplicará el menor CAU* resultante del grupo básico.

 

ii) Si no existe grupo básico y entre una (1) y cuatro (4) personas prestadoras cumplieron con los parámetros mínimos para la inclusión en el modelo, deberá aplicar el menor CAU* resultante de ellas. Si ninguna persona prestadora cumplió con los parámetros mínimos, entonces aplicará el CAU* definido en el parágrafo 4º del presente artículo.

 

PARÁGRAFO 7. Las personas prestadoras que cuenten con APS del primer segmento y/o con APS en las que optaron por aplicar la metodología correspondiente al primer segmento dando cumplimiento a lo establecido en los parágrafos 3º o 4º del artículo 104 de la presente resolución, deberán aplicar el PDEA utilizado para el cálculo de las tarifas de la Resolución CRA 287 de 2004 en la fórmula del presente artículo, hasta tanto la CRA informe mediante resolución si se aplicó el modelo del DEA, los puntajes definitivos así como la fecha a partir de la cual regirán o si los prestadores deberán aplicar lo establecido en los parágrafos 3º o 4º del presente artículo, según corresponda.

 

PARÁGRAFO 8. Una vez la persona prestadora cumpla con los parámetros mínimos y no presente datos atípicos en la información reportada en el SUI para calcular los PDEA, podrá presentar una solicitud particular para modificar los costos administrativos eficientes estándar por suscriptor mensual, de conformidad con lo establecido en el artículo 126 de la Ley 142 de 1994, siempre y cuando se haya realizado el cálculo del PDEA”.

 

ARTÍCULO 11. MODIFICAR el literal d), el parágrafo y ADICIONAR el parágrafo 4º al artículo 27 de la Resolución CRA 688 de 2014 , el cual quedará así:

 

ARTÍCULO 27. Criterios para calcular los costos administrativos. Los costos administrativos se calculan por APS teniendo en cuenta los siguientes criterios:

 

(…).

 

d) Deberán incluirse los gastos generales relacionados con el funcionamiento, incluyendo los gastos por contratos administrativos que realice la persona prestadora para desarrollar actividades de negocio relacionadas directamente con la prestación de los servicios públicos domiciliarios de acueducto y alcantarillado. No se podrán incluir gastos relacionados con implementos deportivos, organización de eventos, eventos culturales, sostenimiento de semovientes y relaciones públicas. Los gastos relacionados en este criterio corresponden a la cuenta 5111-Generales del PUC.

 

(…).

 

PARÁGRAFO 3. Las personas prestadoras podrán utilizar el criterio que consideren más idóneo para separar los costos administrativos por APS. En todo caso, la sumatoria de los costos administrativos por APS deberá corresponder a la totalidad de los costos antes de la separación.

 

PARÁGRAFO 4. Las personas prestadoras podrán agregar la información de la totalidad de las APS que pertenezcan al mismo segmento, correspondan o no a sistemas interconectados, para que el cálculo del costo medio de administración sea realizado de forma unificada por segmento. Para ello, calculará los costos administrativos con la metodología establecida para cada segmento y tendrá en cuenta que la proyección del número de suscriptores, así como la proyección del ICTA, deberá realizarse por APS manteniendo las condiciones de proyección que le corresponda a cada una”.

 

ARTÍCULO 12. MODIFICAR el parágrafo del artículo 29 de la Resolución CRA 688 de 2014, el cual quedará así:

 

ARTÍCULO 29. Costo Medio de Operación (CMO). El costo medio de operación de los servicios públicos domiciliarios de acueducto y alcantarillado se define de la siguiente manera:

 

(…).

 

PARÁGRAFO. A partir del año seis (6), y mientras la CRA no fije una nueva fórmula tarifaria, se aplicará la siguiente fórmula con base en los valores eficientes proyectados para el año cinco (5):

 

F3R735

Donde:

 

COT5,ac/al costos operativos totales del año 5 (pesos de diciembre del año base) para cada servicio público domiciliario, según lo definido en el artículo 30 de la presente resolución.

 

CCP5,ac/alconsumo corregido por pérdidas en el año 5 para cada servicio público domiciliario (m3/año), según lo definido en el artículo 19 de la presente resolución”.

 

ARTÍCULO 13. ACTUALIZAR la tabla de costos operativos comparables eficientes estándar por suscriptor mensual del segundo segmento y adicionar los parágrafos , , , , y al artículo 33 de la Resolución CRA 688 de 2014 , el cual quedará así:

 

ARTÍCULO 33. Costos operativos comparables eficientes estándar por suscriptor mensual (COU*).Los costos operativos comparables eficientes estándar por suscriptor mensual se determinan según el segmento que corresponda, así:

 

Primer segmento: (…).

 

Segundo segmento:

 

Los costos operativos comparables eficientes estándar por suscriptor mensual del segundo segmento para cada servicio público domiciliario son:

 

Costos operativos comparables eficientes estándar por suscriptor mensual para el segundo segmento (pesos de diciembre de 2014)

COU*ac

$10.654 suscriptor/mes

COU*al

$4.154 suscriptor/mes

 

(…).

PARÁGRAFO 3. Para el cálculo del PDEA la CRA evaluará la información reportada por las personas prestadoras con APS pertenecientes al primer segmento que se encuentran relacionadas en el numeral 8º del anexo II de la presente resolución. A partir del cumplimiento de los parámetros mínimos para la inclusión en el modelo y la no presentación de datos atípicos en la información reportada en el SUI de cinco (5) o más personas prestadoras se realizará el cálculo del PDEA, las cuales constituirán el grupo básico para el cálculo del PDEA. Si entre una (1) y cuatro (4) personas prestadoras cumplen con los parámetros mínimos para la inclusión en el modelo y no presentan datos atípicos en la información reportada en el SUI, no se aplicará la metodología del DEA. Estas personas prestadoras tendrán un PDEAdel 100% y el menor COU* resultante de ellas deberá ser aplicado por las demás personas prestadoras que cuenten con APS en las que apliquen la metodología del primer segmento.

PARÁGRAFO 4. En el evento que ningún prestador cumpla con los parámetros mínimos y se presenten datos atípicos en la información reportada en el SUI para la inclusión en el modelo, las personas prestadoras con APS del primer segmento y las que opten por aplicar la metodología correspondiente al primer segmento, deberán aplicar los siguientes costos operativos comparables eficientes estándar por suscriptor mensual para cada servicio público domiciliario, en la fórmula del artículo 32 de la presente resolución:

Costos operativos comparables eficientes estándar por suscriptor mensual para el primer segmento (pesos de diciembre de 2014)

COU*ac

$4.925 suscriptor/mes

COU*al

$2.179 suscriptor/mes

 

PARÁGRAFO 5. Aquellas personas prestadoras que atienden APS en las que opten por aplicar la metodología correspondiente al primer segmento, según lo establecido en los parágrafos 3º o 4º del artículo 104 de la presente resolución, y adicionalmente cuenten con APS del primer segmento, deberán aplicar el COU* obtenido por estas últimas.

 

PARÁGRAFO 6. El PDEA de costos operativos comparables para aquellas personas prestadoras con APS del segundo segmento, que optaron por aplicar la metodología correspondiente al primero, dando cumplimiento a lo establecido en el parágrafo 3º del artículo 104 de la presente resolución, se calculará de la siguiente manera:

 

i) Si existe grupo básico y la persona prestadora cumple con los parámetros mínimos establecidos en el anexo II de la presente resolución y no presenta datos atípicos en la información reportada en el SUI, el PDEA, será estimado e informado por la CRA sin modificar los puntajes de las APS pertenecientes al grupo básico. En el evento de no cumplir con los parámetros mínimos aplicará el menor COU* resultante del grupo básico.

 

ii) Si no existe grupo básico y entre una (1) y cuatro (4) personas prestadoras cumplieron con los parámetros mínimos para la inclusión en el modelo, deberá aplicar el menor COU* resultante de ellas. Si ninguna persona prestadora cumplió con los parámetros mínimos, entonces aplicará el COU* definido en el parágrafo 4º del presente artículo.

 

PARÁGRAFO 7. Las personas prestadoras que cuenten con APS del primer segmento y/o con APS en las que optaron por aplicar la metodología correspondiente al primer segmento, dando cumplimiento a lo establecido en los parágrafos 3º o 4º del artículo 104 de la presente resolución, deberán aplicar el PDEA utilizado para el cálculo de las tarifas de la Resolución CRA 287 de 2004 en la fórmula del presente artículo, hasta tanto la CRA informe mediante resolución si se aplicó el modelo del DEA, los puntajes definitivos así como la fecha a partir de la cual regirán o si los prestadores deberán aplicar lo establecido en los parágrafos 3º o 4º del presente artículo, según corresponda.

 

PARÁGRAFO 8. Una vez la persona prestadora cumpla con los parámetros mínimos y no presente datos atípicos en la información reportada en el SUI para calcular los PDEA, podrá presentar una solicitud particular para modificar los costos operativos comparables eficientes estándar por suscriptor mensual, de conformidad con lo establecido en el artículo 126 de la Ley 142 de 1994, siempre y cuando se haya realizado el cálculo del PDEA”.

 

ARTÍCULO 14. MODIFICAR los literales c) y k), ADICIONAR el literal l) y el parágrafo al artículo 34 de la Resolución CRA 688 de 2014 , el cual quedará así:

 

ARTÍCULO 34. Criterios para calcular los costos operativos comparables. Los costos operativos comparables se calculan por APS teniendo en cuenta los siguientes criterios:

 

(…).

 

c) Sólo podrán incluirse los costos relacionados con los pagos por contribuciones a comités de estratificación, que corresponden a la cuenta 753513-Licencias, contribuciones y regalías del PUC.

 

(…).

 

k) Deberán incluir la remuneración de los activos operativos de propiedad de la persona prestadora, la cual se calculará con la siguiente fórmula:

 

F4R735

Donde:

 

RACTOPER: remuneración de los activos operativos de propiedad de la persona prestadora.

 

dOPER: depreciación anual de los activos operativos. Deberá incluirse la depreciación de activos operativos tales como edificaciones, muebles, enseres y equipo de oficina, equipo de comunicación y computación, equipos de transporte, tracción y elevación, equipo de comedor, cocina y hotelería y bienes adquiridos en leasing financiero, entre otras. Se deberán excluir las depreciaciones de los activos que se encuentren incluidos en el CMA o en el CMI. Los costos relacionados en este criterio corresponden a la cuenta 7515-Depreciaciones del PUC.

 

FRC: Factor de recuperación del capital, el cual corresponderá:

 

Para el primer segmento: 27.93%

 

Para el segundo segmento: 28.27%

 

l) Deberán incluirse los costos de arrendamiento de los activos operativos afectos a la prestación del servicio que no sean de propiedad de la persona prestadora tales como terrenos, construcciones y edificaciones, maquinaria y equipo, equipo de oficina, equipo de computación y comunicación, equipo científico, flota y equipo de transporte y otros activos operativos. Se deberán excluir los arrendamientos de los activos que se encuentren incluidos en el CMA o en el CMI. Los costos relacionados en este criterio corresponden a la cuenta 7517-Arrendamientos del PUC.

 

(…).

 

PARÁGRAFO 8. Las personas prestadoras podrán utilizar el criterio que consideren más idóneo para separar los costos operativos comparables por APS. En todo caso, la sumatoria de los costos operativos comparables por APS deberá corresponder a la totalidad de los costos antes de la separación”.

 

ARTÍCULO 15. MODIFICAR el artículo 46 de la Resolución CRA 688 de 2014, en relación con la fórmula base de capital regulada del año base, sus parágrafos , y y ADICIONAR los parágrafos y , así:

 

ARTÍCULO 46. Base de Capital Regulada del Año Base (BCR0). La base de capital regulada del año base para los servicios públicos domiciliarios de acueducto y alcantarillado se define de acuerdo con la siguiente expresión:

 

F5R735

Donde:

 

BCR0,ac/albase de capital regulada del año base estimada al día anterior a la fecha de inicio de la aplicación de la metodología tarifaria (expresada en pesos de diciembre del año 2014) para cada servicio público domiciliario.

 

VI287,z,ac/al: valor por cobrar de los activos o los proyectos z construidos con el plan de inversiones de la Resolución CRA 287 de 2004 (VPIRER) para cada servicio público domiciliario. Para su cálculo se seguirá el procedimiento previsto en el anexo III de la presente resolución.

 

VIDif287,j,ac/alvalor por cobrar del activo j afecto a la prestación del servicio que se encuentra en funcionamiento al día anterior a la fecha de inicio de aplicación de las tarifas resultantes de la presente metodología tarifaria, diferentes al valor de las inversiones ejecutadas a partir de los planes de inversión de la Resolución CRA 287 de 2004 (VPIRER) para cada servicio público domiciliario. Para su cálculo se seguirá lo dispuesto en el parágrafo 4º del presente artículo.

 

j: cada uno de los activos que hace parte de la BCR0 al día anterior a la fecha de inicio de aplicación de las tarifas resultantes de la presente metodología tarifaria, y son diferentes a los ejecutados a partir del plan de inversiones de la Resolución CRA 287 de 2004 (VPIRER).

 

z: cada uno de los activos o proyectos ejecutados por el prestador al día anterior a la fecha de inicio de aplicación de las tarifas resultantes de la presente metodología tarifaria, y son del plan de inversiones de la Resolución CRA 287 de 2004 (VPIRER).

 

nj: número total de activos que hacen parte de la BCR0 al día anterior a la fecha de inicio de aplicación de las tarifas resultantes de la presente metodología tarifaria, y son diferentes a los ejecutados a partir del plan de inversiones de la Resolución CRA 287 de 2004 (VPIRER).

 

nz: número total de los activos o proyectos ejecutados por el prestador al día anterior a la fecha de inicio de aplicación de las tarifas resultantes de la presente metodología tarifaria, y son del plan de inversiones de la Resolución CRA número 287 de 2004 (VPIRER).

 

(…).

 

PARÁGRAFO 4. El valor por cobrar del activo j afecto a la prestación del servicio (VIDif287,j,ac/al), se determinará de acuerdo con uno de los siguientes métodos: i) El valor registrado en los estados financieros, depreciado hasta el día anterior a la fecha de inicio de aplicación de las tarifas resultantes de la presente metodología tarifaria, ajustado por inflación a diciembre de 2014, sin incluir valorizaciones o ii) Con una valoración técnica, realizada según lo establecido en el anexo IV de la presente resolución y depreciada hasta el día anterior a la fecha de inicio de aplicación de las tarifas resultantes de la presente metodología tarifaria, expresada en pesos de diciembre de 2014, con base en las condiciones de vida útil y método de depreciación utilizados en la vigencia de las tarifas de la Resolución CRA 287 de 2004. A partir de la fecha de aplicación de las tarifas resultantes de la presente resolución, el cálculo de la rentabilidad se realizará con base en la tasa de descuento, vidas útiles y método de depreciación lineal del presente marco tarifario.

 

PARÁGRAFO 5. Las personas prestadoras que cuenten con una valoración de activos respecto de la cual la Comisión de Regulación de Agua Potable y Saneamiento Básico dispuso su aceptación mediante acto administrativo antes de la entrada en vigencia de las tarifas resultantes de la presente resolución, deberán tomarla para efectos de calcular el valor por cobrar de cada uno de los activos afectos a la prestación del servicio, ajustándola de la siguiente manera:

 

i) Adicionar el valor de los activos que entraron en operación entre el año base de la valoración y la fecha de inicio de aplicación de las tarifas resultantes de la metodología tarifaria definida en la presente resolución, diferentes de las inversiones ejecutadas con base en los planes de inversiones de la Resolución CRA 287 de 2004.

 

ii) Restar las bajas de activos y las depreciaciones hasta el día anterior a la fecha de inicio de aplicación de las tarifas resultantes de la presente metodología tarifaria, tanto de los activos existentes como de los activos incorporados.

 

iii) Indexar cada uno de los valores de los activos, de acuerdo a la fecha que corresponda, para llevar toda la valoración de activos a pesos de diciembre del año 2014.

 

PARÁGRAFO 6. La BCR deberá ser calculada por APS, por lo anterior las personas prestadoras que atiendan con un mismo sistema interconectado dos o más APS, deberán calcular separadamente la BCR de cada APS incluyendo por una parte, el valor asignado a cada APS de los activos compartidos y por otra parte el valor de los activos no compartidos que le correspondan a cada APS. Para realizar la asignación podrá utilizar el criterio que considere más idóneo o, en su defecto podrá utilizar el número de suscriptores atendidos o el volumen de metros cúbicos facturados en cada APS, entre otros. En todo caso, el criterio utilizado deberá quedar a disposición de la Comisión de Regulación de Agua Potable y Saneamiento Básico y de la Superintendencia de Servicios Públicos Domiciliarios.

 

PARÁGRAFO 7. En el caso que la persona prestadora hubiese optado por calcular los costos de prestación unificados del sistema interconectado, deberá realizar el cálculo de la BCR de forma unificada teniendo en cuenta que el Plan de Obras e Inversiones Regulado (POIR) deberá proyectarse para cada APS, incluyendo los proyectos que la persona prestadora considera necesario llevar a cabo para disminuir las diferencias frente a los estándares de servicio de cada APS.

 

PARÁGRAFO 8. Las personas prestadoras no podrán incluir dentro de la BCR0 los activos incluidos en el CMA y en el CMO”.

 

ARTÍCULO 16. MODIFICAR y ADICIONAR los parágrafos y al artículo 48 de la Resolución CRA 688 de 2014, el cual quedará así:

 

ARTÍCULO 48. Depreciación del año i. La depreciación del año i corresponderá a la suma de todas las depreciaciones anuales de cada uno de los activos que hacen parte de la BCR de cada año i, calculadas con el método de depreciación lineal, de acuerdo con la siguiente fórmula:

 

F6R735

Donde:

 

di,ac/al: depreciación anual de los activos que hacen parte de la base de capital regulada del año i (expresada en pesos de diciembre del año 2014) para cada servicio público domiciliario. Para el año 1 la depreciación anual de los activos será igual a la depreciación acumulada (DA) del año 1.

 

VAj,ac/al:valor del activo j al momento de su inclusión en la BCR para cada servicio público domiciliario (expresado en pesos de diciembre del año 2014). En caso de activos que se encuentran en operación al día anterior a la fecha de inicio de aplicación de las tarifas resultantes de la presente metodología tarifaria corresponderá al valor incluido en la BCR0.

 

VAz,ac/al: valor del activo o proyecto z al momento de su inclusión en la BCR de cada servicio público domiciliario (expresado en pesos de diciembre del año 2014). En caso de activos o proyectos que se encuentran en operación al día anterior a la fecha de inicio de aplicación de las tarifas resultantes de la presente metodología tarifaria corresponderá al valor incluido en la BCR0.

 

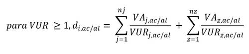
VURj,ac/al: vida útil remanente del activo j en años, para cada servicio público domiciliario calculada de acuerdo con la siguiente fórmula:

 

F7R735

 

VUj,ac/alvida útil regulada del activo j definida de acuerdo con lo establecido en el artículo 49 de la presente resolución.

 

TOj,ac/al: tiempo de operación del activo j en años, calculado como el tiempo transcurrido en días desde la entrada en operación del activo hasta el inicio de aplicación de las tarifas resultantes de la presente metodología tarifaria, divididos entre 365. Para los activos resultantes del POIR, el valor del tiempo en operación es igual a cero.

 

VURz,ac/al: vida útil remanente del activo o proyecto z (en años) para cada servicio público domiciliario calculada de la misma forma en que se calcula la VURz,ac/al.

 

PARÁGRAFO 1. En el caso que la vida útil remanente del activo j sea menor a un (1) año, el valor de la depreciación del año 1, corresponderá al valor del activo o del proyecto.

 

PARÁGRAFO 2. En caso que el prestador opte por determinar el VI287,z,ac/al por proyectos, deberá identificar el activo principal que lo conforma. Para calcular la depreciación anual de cada proyecto deberá tomar la vida útil regulada del activo principal, de acuerdo con lo establecido en el artículo 49 de la presente resolución, para determinar el VURz,ac/al. De igual forma el tiempo de operación del proyecto TOz,ac/al será el mismo del activo principal”.

 

ARTÍCULO 17. MODIFICAR el parágrafo del artículo 49 de la Resolución CRA 688 de 2014, el cual quedará así:

 

ARTÍCULO 49. Clasificación de activos e inversiones por grupo de activos y asignación de su vida útil regulada. Los activos e inversiones que conforman la BCR para los servicios públicos domiciliarios de acueducto y alcantarillado se clasifican de acuerdo con los grupos de la tabla que se presenta a continuación y les corresponderá la vida útil que tiene asignado dicho grupo de activos.

 

(…).

 

PARÁGRAFO 1. Las vidas útiles de los equipos electromecánicos y otros activos serán incluidas por la persona prestadora dependiendo de cada caso. Estás vidas útiles deberán estar debidamente soportadas por al menos tres (3) fabricantes o la vida útil definida para efectos contables. Estos soportes estarán a disposición de la Superintendencia de Servicios Públicos Domiciliarios. En el evento en que para un mismo activo exista una vida útil diferente por cada proveedor, se deberá escoger la de mayor plazo (…)”.

 

ARTÍCULO 18. ADICIONAR el inciso 21 al artículo 50 de la Resolución CRA 688 de 2014, así:

 

“ARTÍCULO 50. Plan de Obras e Inversiones Regulado (POIR). El Plan de Obras e Inversiones Regulado (POIR) es el conjunto de proyectos que la persona prestadora considera necesario llevar a cabo para disminuir las diferencias frente a los estándares del servicio exigidos durante el período de análisis, en el APS de cada uno de los municipios que atiende. La persona prestadora deberá tener en cuenta en la definición de cada uno de los proyectos incluidos en el POIR los componentes técnicos, de gestión ambiental y gestión de riesgos.

 

(…).

 

En todo caso, los proyectos que se incluyan en el POIR corresponderán a aquellos que se financien exclusivamente vía tarifa.

 

En el evento que una entidad pública realice aportes de los que trata el artículo 87.9 de la Ley 142 de 1994, modificado por el artículo 99 de la Ley 1450 de 2011 que reemplace un proyecto incluido en el POIR, la persona prestadora deberá descontar estos activos de la tarifa una vez entren en operación, de lo cual informará a la SSPD y a la CRA. En todo caso, las metas definidas en el artículo 107 de la presente resolución no se modificarán como consecuencia de aportes de este tipo.

 

(…)”.

 

ARTÍCULO 19. MODIFICAR los incisos 2 y 3 del artículo 52 de la Resolución CRA 688 de 2014, el cual quedará así:

 

ARTÍCULO 52. Criterios para definir los proyectos en el POIR. Para definir los proyectos que se incluirán en el POIR, las personas prestadoras deberán realizar un ejercicio de planeación, enfocándose en aquellas inversiones que permitan disminuir las diferencias frente a los estándares del servicio relacionados con las dimensiones de cobertura, calidad y continuidad. El conjunto de proyectos de cada grupo, definido en el artículo 50, debe disminuir las diferencias hasta alcanzar los estándares de servicio de cada dimensión, en concordancia con el artículo 9º de la presente resolución.

 

Los recursos facturados a través del CMI que corresponden al POIR, deben enfocarse a financiar proyectos que permitan disminuir las diferencias frente a los estándares del servicio, dando prioridad a aquellos que logren en el menor tiempo, y a los menores costos posibles, mejoras en el cumplimiento de las metas proyectadas para cada dimensión. Para lo anterior, se deberá atender, entre otras, la reglamentación que sobre el orden de prioridades se encuentra definida en el Reglamento Técnico del sector de Agua Potable y Saneamiento Básico RAS-2000 o en la norma que lo modifique, adicione, sustituya o derogue.


Se deberán incluir dentro del POIR proyectos de expansión de abastecimiento con una anticipación suficiente para no afectar la continuidad del servicio de acueducto, antes de que la proyección del agua producida sea mayor a la capacidad existente.

 

(…)”.

 

ARTÍCULO 20. MODIFICAR el inciso 1, el parágrafo 3 y ADICIONAR los parágrafos 5 y 6 al artículo 54 de la Resolución CRA 688 de 2014, así:

 

ARTÍCULO 54. Costo medio generado por tasas ambientales para acueducto (CMTac). El costo medio generado por tasas ambientales para el servicio público domiciliario de acueducto en el APS de cada uno de los municipios que atiende la persona prestadora, se define con referencia a la tasa por utilización del agua establecida por la autoridad ambiental, o aquella que la modifique, adicione, sustituya o derogue con la siguiente fórmula:

 

(…).

 

PARÁGRAFO 3. El valor del MPi,tac corresponderá al valor de la última vigencia cobrada por la autoridad ambiental. No se podrá incluir en las tarifas el cobro de más de una vigencia.

 

(…).

 

PARÁGRAFO 5. Las personas prestadoras beneficiarias en los contratos de suministro de agua potable, deberán incluir el valor correspondiente al costo generado por tasas ambientales para acueducto indicado por el proveedor (COSTO_CSAPITA,ac) el cual se calcula con base en la siguiente fórmula:

 

F8R735

Donde:

 

COSTO_CSAPITA,ac: pagos por concepto de contratos de suministro de agua potable correspondiente al costo generado por tasas ambientales para acueducto.

 

COSTO_CSAPIac: pago total por concepto de contratos de suministro de agua potable definido en el artículo 56 de la presente resolución.

 

PTA: porcentaje de tasas ambientales reportado por el proveedor de acuerdo con lo establecido en el artículo 57 de la presente resolución.

 

PARÁGRAFO 6. Las personas prestadoras proveedoras en los contratos de suministro de agua potable, deberán descontar el valor correspondiente al costo generado por tasas ambientales para acueducto por dichos contratos, pactados con base en lo establecido en la Resolución CRA 608 de 2012 o aquella que la modifique, adicione, sustituya o derogue”.

 

ARTÍCULO 21. MODIFICAR el inciso y adicionar los parágrafos y al artículo 55 de la Resolución CRA 688 de 2014, así:

 

ARTÍCULO 55. Costo medio generado por tasas ambientales para alcantarillado (CMTal). El costo medio generado por tasas ambientales para el servicio público de alcantarillado en el APS de cada uno de los municipios que atiende la persona prestadora, se define con referencia a la tasa retributiva por la utilización directa o indirecta del agua como receptor de vertimientos puntuales, o aquella que la modifique, adicione, sustituya o derogue, y se determinará por separado para los suscriptores con caracterización de los vertimientos con base en la siguiente fórmula:

 

(…).

 

PARÁGRAFO 3. Las personas prestadoras beneficiarias en los contratos de interconexión de alcantarillado, que incluyan el acceso al subsistema de tratamiento y/o disposición final de aguas residuales, deberán adicionar el valor correspondiente al costo generado por tasas ambientales para alcantarillado indicado por el proveedor (COSTO_ CSAPITA,al) el cual se calcula con base en la siguiente fórmula:

 

F9R735

Donde:

 

COSTO_CSAPITA,al: pagos por concepto de contratos de interconexión correspondiente al costo generado por tasas ambientales para alcantarillado.

 

COSTO_CSAPIal: pago total por concepto de contratos de interconexión de alcantarillado definido en el artículo 56 de la presente resolución.

 

PTA: porcentaje de tasas ambientales reportado por el proveedor de acuerdo con lo establecido en el artículo 57 de la presente resolución.

 

PARÁGRAFO 4. Las personas prestadoras proveedoras en los contratos de interconexión de alcantarillado, que incluyan el acceso al subsistema de tratamiento y/o disposición final de aguas residuales, deberán descontar el valor correspondiente al costo generado por tasas ambientales para alcantarillado por dichos contratos, pactados con base en lo establecido en la Resolución CRA 608 de 2012 o aquella que la modifique, adicione, sustituya o derogue”.

 

ARTÍCULO 22. MODIFICAR el parágrafo del artículo 61 de la Resolución CRA 688 de 2014, el cual quedará así:

 

ARTÍCULO 61. Costo medio de operación hasta el subsistema de suministro de agua potable del sistema de acueducto (CMOs,ac). El costo medio de operación hasta el subsistema de suministro se determina de acuerdo con la siguiente fórmula:

 

(…).

 

PARÁGRAFO. Para el cálculo del costo medio de operación comparable se deberá separar el costo de operación total asociado al subsistema de suministro en el año i (pesos de diciembre del año base) establecido en la fórmula como COTi,s,ac, entre costos comparables y particulares y aplicar en dicho cálculo el denominador establecido en el presente artículo”.

 

ARTÍCULO 23. MODIFICAR el parágrafo del artículo 65 de la Resolución CRA 688 de 2014, el cual quedará así:

 

ARTÍCULO 65. Costo medio de operación hasta el subsistema de transporte de agua potable del sistema de acueducto (CMOT,ac). El costo medio de operación hasta el subsistema de transporte se determina de acuerdo con la siguiente fórmula:

 

(…).

 

PARÁGRAFO. Para el cálculo del costo medio de operación comparable del subsistema se deberá separar, el costo de operación total asociado al subsistema de transporte en el año i (pesos de diciembre del año base) establecido en la fórmula como COTi,s+T entre costos comparables y particulares y aplicar en dicho cálculo el denominador establecido en el presente artículo”.

 

ARTÍCULO 24. MODIFICAR el inciso del artículo 85 de la Resolución CRA 688 de 2014, el cual quedará así:

 

ARTÍCULO 85. Estructura. La formulación de los descuentos definidos en el presente título está basada en indicadores, a través de los cuales se estima el nivel de incumplimiento frente a las metas para alcanzar los estándares de calidad del servicio que aplican a los servicios públicos domiciliarios de acueducto y alcantarillado, desde la perspectiva de la gestión técnica y comercial.

 

(…).

 

Para los indicadores de continuidad y reclamos comerciales, la persona prestadora calculará los descuentos con información propia y el auditor externo de gestión y resultados o quien haga sus veces, verificará previamente dicha información (…)”.

 

ARTÍCULO 25. MODIFICAR el artículo 86 de la Resolución CRA 688 de 2014, el cual quedará así:

 

ARTÍCULO 86. Cálculo del Indicador de Calidad del Agua Potable (ICAP). La expresión que permite determinar este indicador es la siguiente:

 

F28R735

Donde:

 

P: corresponde a cada uno de los seis (6) meses continuos analizados dentro del semestre; y toma valores entre uno (1) y seis (6), donde el último mes es el mes actual de análisis m.

 

m: número del mes analizado dentro del semestre en estudio que varía entre 1 y 6.

 

ICAP: indicador de calidad del agua potable basado en el promedio semestral de los valores mensuales del IRCA.

 

IRCAp: Índice de Riesgo de la Calidad del Agua para Consumo Humano (IRCA) por municipio y por persona prestadora del mes p, definido en los artículos 13 y 14 de la Resolución 2115 de 2007 o la norma que la modifique, adicione o derogue. Este índice corresponde al calculado mensualmente con muestras de vigilancia de la red de distribución, que las autoridades sanitarias correspondientes reportan al Sivicap.

 

PARÁGRAFO 1. Cuando no sea posible determinar el indicador establecido en el presente artículo por falta de información o por deficiencia de la misma, el valor de incumplimiento establecido en el artículo 87 de la presente resolución y el descuento por suscriptor establecido en el artículo 88 de la presente resolución, quedarán suspendidos hasta que la información reportada por la autoridad sanitaria en el Sivicap sea suficiente para el cálculo del indicador de calidad del agua.

 

PARÁGRAFO 2. El ICAP está expresado semestralmente y se calculará con la información que la autoridad sanitaria correspondiente reporte mensualmente en el Sivicap”.

 

ARTÍCULO 26. MODIFICAR el artículo 89 de la Resolución CRA 688 de 2014, el cual quedará así:

 

ARTÍCULO 89. Cálculo de los indicadores de continuidad (ICONm,l, ICONm,TOTAL y CICON). Estos indicadores únicamente aplicarán para el servicio público domiciliario de acueducto. Los indicadores de continuidad deben ser determinados de forma general para todo el sistema de la persona prestadora en el APS analizada y para cada una de las rutas de lectura. Para determinar los indicadores de continuidad, la persona prestadora deberá cargar en el SUI, con una periodicidad mensual, la información que se relaciona en la siguiente tabla:

 

Información base para el cálculo del indicador de continuidad con el cual se realizarán los descuentos

A

B

C

D

E (E=D/C)

F

G

H (H=G-F)

I (I=D *H)

Afectación del servicio Nº

Código ruta de lectura afectada

Suscriptores totales de la ruta de lectura afectada

Suscriptores afectados en la ruta

% de suscriptores afectados en la ruta

Inicio del tiempo de afectación

Fin del tiempo de afectación

Tiempo de afectación

Tiempo total de afectación

Fecha

Hora

Fecha

Hora

(d)

(d*suscriptores)

1

 

 

 

 

 

 

 

 

 

 

2

 

 

 

 

 

 

 

 

l

 

 

 

 

 

 

 

 

TAp,q,l

 

 

 

 

 

 

 

 

3

 

 

 

 

 

 

 

 

 

 

 

 

 

 

 

 

 

 

 

 

Q

 

 

 

 

 

 

 

 

 

 

 

 

 

 

 

 

 

 

 

 

nc

 

 

 

 

 

 

 

 

 

 

 

 

 

 

 

 

 

 

 

TAp,TOTAL

 

Donde:

 

p: corresponde a cada uno de los seis (6) meses continuos analizados dentro del semestre; y toma valores entre uno (1) y seis (6), donde el último mes es el mes actual de análisis m.

 

m: número del mes analizado dentro del semestre en estudio que varía entre 1 y 6.

 

q: número de la afectación analizada por continuidad del servicio.

 

l: ruta de lectura afectada.

 

nc: número total de afectaciones en la continuidad del servicio por cualquier causa presentados en el mes p, en el APS analizada.

 

TAp,q,l: tiempo de afectación en la ruta de lectura l perteneciente a la afectación número q, que se presentó durante el mes p. Este parámetro se obtiene de multiplicar el número de suscriptores afectados en cada ruta de lectura (columna D en la tabla) por el tiempo que duró la afectación en días (columna H en la tabla).

 

TAp,TOTAL: tiempo total de afectación del sistema, el cual se obtiene como la sumatoria de todos los TAp,q,lpresentados durante el mes p en el APS analizada.

 

Para efectos del presente capítulo, las denominadas rutas de lectura se entenderán como el conjunto de puntos de consumo asociados a cuentas internas, cuyos medidores son leídos de forma ordenada uniendo dos puntos geográficos extremos a través de calles, para tomar la lectura de los medidores y posteriormente determinar los consumos en el proceso de facturación de cada punto.

 

Las expresiones para que cada persona prestadora determine el índice de continuidad en el APS del municipio para cada uno de los seis (6) meses del semestre de análisis de forma discriminada por cada ruta de lectura y general para todo el sistema, son las siguientes:

 

Por ruta de lectura

 

F11R735

General para el sistema en el APS analizada

 

Donde:

 

ICONm,l: índice de continuidad para la ruta de lectura l y el mes m.

 

ICONm,TOTAL: índice de continuidad general de todo el sistema de la persona prestadora en el APS analizada para el mes m.

 

TAP,RUTAL: tiempo de afectación mensual por continuidad del servicio para la misma ruta de lectura l, durante el mes p. Este parámetro se calcula sumando todos los TAp,q,l de la misma ruta de lectura que pertenecen al mismo mes p, sin importar que correspondan a diferentes afectaciones.

 

TAP,TOTAL: tiempo total de afectación del sistema, el cual se obtiene por municipio y persona prestadora como la sumatoria de todos los TAp,q,l presentados durante el mes p.

 

NTUl: promedio durante el periodo de evaluación analizado, del número total de suscriptores de la ruta de lectura l. Al finalizar el semestre de análisis, este parámetro deberá corresponder al promedio del total de suscriptores de la ruta de lectura l, durante dicho semestre.

 

NTUTOTAL: promedio durante el periodo de evaluación analizado, del número total de suscriptores del sistema en el APS analizada de la persona prestadora. Al finalizar el semestre de análisis, este parámetro deberá corresponder al promedio del total de suscriptores del sistema en el APS durante dicho semestre para el municipio analizado de la persona prestadora.

 

dcP: número de días calendario del mes p.

 

dfm: número de días de afectación por continuidad admisible por mes igual a 0.5 días.

 

A partir del índice de continuidad general de todo el sistema en el APS analizada (ICONm,TOTAL) y con base en la meta de continuidad para el semestre de análisis, se determina el índice de cumplimiento de continuidad que se tomará para establecer el descuento del servicio público domiciliario de acueducto, mediante la siguiente expresión:

 

F13R735

Donde:

 

CICON: índice de cumplimiento de continuidad para el servicio público domiciliario de acueducto, teniendo en cuenta como referencia la meta del POIR para el semestre de análisis. El indicador que se debe tener en cuenta para establecer el descuento corresponde al calculado con el ICON6,TOTAL de cada semestre analizado.

 

MICON: meta de continuidad establecida para el semestre de análisis, la cual está dada en fracción y es igual a la meta de junio del año tarifario anterior establecida dentro del POIR.

 

PARÁGRAFO 1. En el evento que una persona prestadora cuente con suscriptores que no pertenezcan a ninguna ruta de lectura, para efectos de establecer el indicador de continuidad asociado a dichos suscriptores, estos se deberán identificar por la cuenta interna y por la dirección de entrega de facturas.

 

PARÁGRAFO 2. El CICON está expresado sobre una base de cálculo semestral, no obstante, los parámetros con los cuales se calcula dicho indicador deberán ser reportados al SUI con una periodicidad mensual”.

 

ARTÍCULO 27. MODIFICAR el artículo 91 de la Resolución CRA 688 de 2014, el cual quedará así:

 

ARTÍCULO 91. Descuento aplicable al suscriptor afectado por la continuidad del servicio (DICONl,S).Para determinar el descuento aplicable al suscriptor final S por incumplimiento en la meta de continuidad del servicio público domiciliario de acueducto, inicialmente es necesario establecer el valor descuento aplicable a cada una de las rutas de lectura, de la siguiente forma:

 

F14R735

Donde:

 

l: el subíndice hace referencia a cada ruta de lectura.

 

VICON: valor de incumplimiento asociado a la continuidad del servicio público domiciliario de acueducto del APS analizada, expresado en pesos.

 

DICONl: valor del descuento por cada ruta de lectura, asociado al cumplimiento de la meta de continuidad del servicio público domiciliario de acueducto.

 

IMICONl: incumplimiento en la continuidad del servicio público domiciliario de acueducto para cada ruta de lectura l, tomando como referencia la meta de continuidad establecida para el semestre de análisis. Este parámetro se calcula mediante la siguiente expresión:

 

F15R735

Donde:

 

MICON: meta de continuidad establecida para el semestre de análisis, la cual está dada en fracción y es igual a la meta de junio del año tarifario anterior establecida dentro del POIR, definido en el artículo 89 de la presente resolución.

 

ICON6,l: índice de continuidad para la ruta de lectura al finalizar el semestre de análisis, el cual se definió en el artículo 89 de la presente resolución.

 

TIMICON: sumatoria de los incumplimientos en la continuidad de cada una de las rutas de lectura l, tomando como referencia la meta de continuidad establecida para el semestre de análisis. Este parámetro se calcula mediante la siguiente expresión:

 

F16R735

Donde:

 

nl: número total de rutas de lectura correspondientes al servicio público domiciliario de acueducto.

 

Con el valor del descuento por cada ruta de lectura l es posible determinar el descuento aplicable a cada suscriptor S afectado por (sic) continuidad del servicio, de la siguiente forma:

 

F17R735

Donde:

 

DICONl,s: valor del descuento aplicable a cada suscriptor S afectado por la continuidad del servicio que pertenece a la ruta de lectura afectada l.

 

VCl,s: volumen de agua consumido por el suscriptor S afectado en la ruta de lectura afectada l, para el semestre de análisis.

 

BDICONlafec: volumen de agua total consumido por todos los suscriptores afectados de la ruta de lectura afectada l, para el semestre de análisis.

 

Los descuentos definidos en este artículo, únicamente podrán aplicarse a los suscriptores cuyo servicio se vea afectado por la continuidad durante el semestre de análisis y sus niveles de continuidad en conjunto (continuidad del sistema para el semestre de análisis) sean inferiores a las metas establecidas en esta materia para el periodo de evaluación”.

 

ARTÍCULO 28. MODIFICAR el artículo 92 de la Resolución CRA 688 de 2014 , el cual quedará así:

 

ARTÍCULO 92. Indicador de reclamos comerciales (IQRm y CIQR). Este indicador medirá el número de reclamos comerciales por exactitud en la facturación, resueltos a favor del suscriptor en segunda instancia, por cada 1.000 suscriptores durante el periodo de evaluación analizado. La expresión para determinar mensualmente este indicador es la siguiente:

 

Donde:

 

p: corresponde a cada uno de los seis (6) meses continuos analizados dentro del semestre; y toma valores entre uno (1) y seis (6), donde el último mes es el mes actual de análisis m.

 

m. número del mes analizado dentro del semestre en estudio que varía entre 1 y 6.

 

IQRm: índice de reclamos comerciales para el mes m, dado en número de reclamos comerciales por facturación resueltos a favor del suscriptor en segunda instancia por cada 1.000 suscriptores por m meses (al finalizar el semestre, dicho indicador se expresaría en número de reclamos comerciales por facturación resueltos a favor del suscriptor en segunda instancia por cada 1.000 suscriptores por semestre).

 

RCp: total de reclamos comerciales por exactitud en la facturación, resueltos a favor del suscriptor en segunda instancia durante el mes p perteneciente al semestre de análisis, cuyo valor debe ser suministrado por cada persona prestadora, y discriminado por municipio.

 

mf: factor de periodicidad en la facturación que equivale al número de meses dentro del ciclo de facturación.

 

NTU: promedio durante el periodo de evaluación analizado, del número total de suscriptores del sistema y en el APS analizada para el servicio público domiciliario de acueducto. Al finalizar el semestre de análisis, este parámetro deberá corresponder al promedio del total de suscriptores del sistema durante dicho semestre que pertenecen al APS analizada.

 

Teniendo en cuenta el estándar de eficiencia y la gradualidad de disminución de la diferencia que sobre este estándar de servicio se establece en el artículo 9º de la presente resolución, se define el siguiente indicador de cumplimiento de la meta de reclamos comerciales que se tendrá en cuenta para el cálculo del descuento correspondiente:

 

F19R735

Donde:

 

CIQR: índice de cumplimiento de reclamos comerciales teniendo como referencia la meta establecida para el mes m de análisis. El indicador que se debe tener en cuenta para el cálculo del descuento corresponde al calculado con el IQR6 de cada semestre analizado.

 

MIQRm: índice de reclamos comerciales establecido como meta para el mes m del semestre de análisis, el cual se calcula de la siguiente forma:

 

F20R735

Donde:

 

MIQRi: Es la meta de reclamos comerciales establecida para el año analizado i, la cual está expresada en número de reclamos comerciales por cada 1.000 suscriptores por año.

 

PARÁGRAFO. El IQR está expresado sobre una base de cálculo semestral, no obstante, la información correspondiente al RCp y al IQRm deberá ser reportada al SUI con una periodicidad mensual y discriminada por municipio”.

 

ARTÍCULO 29. ACLARAR el último inciso del artículo 94 de la Resolución CRA 688 de 2014 , el cual quedará así:

 

ARTÍCULO 94. Descuento aplicable al suscriptor asociado a los reclamos comerciales (DIQRS,ac/al). El descuento aplicable al suscriptor final de cada servicio, asociado con el valor por incumplimiento de la persona prestadora con relación a la meta de reclamos comerciales, se define de la siguiente manera:

 

(…).

 

Los descuentos definidos en este artículo para cada servicio, únicamente podrán aplicarse a los suscriptores en el APS analizada que hayan presentado reclamaciones comerciales por exactitud en la facturación y que a su vez estas hayan sido resueltas a su favor, de acuerdo con el alcance de la decisión de la SSPD, durante el semestre de análisis”.

 

ARTÍCULO 30. MODIFICAR el artículo 97 de la Resolución CRA 688 de 2014 , el cual quedará así:

 

ARTÍCULO 97. Verificación de los indicadores. Toda la información con la cual se calculan los indicadores asociados con la continuidad del servicio y los reclamos comerciales por exactitud en la facturación, incluyendo los cálculos correspondientes, deberá estar debidamente verificada por el auditor externo de gestión de resultados o quien haga sus veces.

 

La persona prestadora únicamente podrá reportar esta información al SUI si el proceso de verificación ha finalizado satisfactoriamente”.

 

ARTÍCULO 31. MODIFICAR el artículo 98 de la Resolución CRA 688 de 2014, el cual quedará así:

 

ARTÍCULO 98. Verificación de la estimación de los descuentos. El auditor externo de gestión de resultados o quien haga sus veces, también verificará la estimación de los descuentos definidos en el presente título, lo cual incluye la verificación de la información con la cual se estiman los descuentos y los cálculos correspondientes. Dentro de este proceso de verificación se deben tener en cuenta los descuentos asociados con la calidad del agua potable, la continuidad del servicio y la reclamación comercial por exactitud en la facturación de los servicios públicos domiciliarios de acueducto y alcantarillado. La persona prestadora únicamente podrá reportar al SUI la información correspondiente a la estimación de los descuentos si su proceso de verificación ha finalizado satisfactoriamente”.

 

ARTÍCULO 32. MODIFICAR el artículo 99 de la Resolución CRA 688 de 2014, el cual quedará así:

 

ARTÍCULO 99. Certificación de la aplicación de los descuentos. Los descuentos definidos en el presente título podrán ser aplicados a los suscriptores afectados únicamente si su estimación se encuentra debidamente reportada en el SUI como lo establecen el artículo 97 y el artículo 98 de la presente resolución. El auditor externo de gestión de resultados o quien haga sus veces, igualmente certificará la correcta y efectiva aplicación de los descuentos a los suscriptores afectados”.

 

ARTÍCULO 33. MODIFICAR el inciso del artículo 100 de la Resolución CRA 688 de 2014, el cual quedará así:

 

ARTÍCULO 100. Reporte de la información de verificación. Las personas prestadoras deberán reportar mensualmente ante la Superintendencia de Servicios Públicos Domiciliarios en las condiciones y medios que esta establezca, toda la información producto del proceso de verificación establecido en el presente capítulo”.

 

ARTÍCULO 34. MODIFICAR el artículo 103 de la Resolución CRA 688 de 2014, el cual quedará así:

 

ARTÍCULO 103. Aplicación del régimen de calidad y descuentos. El régimen de calidad y descuentos entrará en vigencia una vez haya transcurrido el primer semestre completo, tras la entrada en vigencia de la fórmula tarifaria establecida en la presente resolución.

 

PARÁGRAFO 1. Para el efecto se entiende por semestre completo el periodo comprendido entre el 1º de enero y el 30 de junio de un mismo año o entre el 1º de julio y el 31 de diciembre de un mismo año.

 

PARÁGRAFO 2. La entrada en vigencia de los descuentos asociados a la continuidad del servicio público domiciliario de acueducto, dependerá de la segmentación definida en el artículo 4º de la presente resolución. Para el primer segmento, los descuentos asociados al cumplimiento de las metas de continuidad entrarán en vigencia a partir del inicio del segundo año de aplicación de las tarifas derivadas del presente marco tarifario, es decir a partir del mes de julio del año 2017, mientras que para el segundo segmento dichos descuentos entrarán en vigencia a partir del inicio del tercer año, es decir a partir del mes de julio del año 2018”.

 

ARTÍCULO 35. MODIFICAR y ADICIONAR los parágrafos y al artículo 104 de la Resolución CRA 688 de 2014, el cual quedará así:

 

ARTÍCULO 104. Revisión de información y plazos. Las personas prestadoras de los servicios públicos domiciliarios de acueducto y alcantarillado deberán elaborar sus estudios de costos antes de la fecha prevista en el artículo 114 de la presente resolución.

 

(…).

 

PARÁGRAFO 3. Las personas prestadoras con APS pertenecientes al segundo segmento, que opten por aplicar en estas la metodología establecida para el primer segmento, contarán con un mes adicional a partir de la publicación en el Diario Oficial de la presente resolución modificatoria de la Resolución CRA 688 de 2014, para enviar a la Comisión de Regulación de Agua Potable y Saneamiento Básico una comunicación informando tal decisión. Una vez la persona prestadora informe que elige esta opción no podrá, en ningún caso, aplicar la metodología para el segundo segmento.

 

Las personas prestadoras con APS del segundo segmento que informaron tal decisión dentro del término previsto en el parágrafo 1º del artículo 104 de la Resolución CRA 688 de 2014, no estarán obligadas a informar nuevamente.

 

PARÁGRAFO 4. Las personas prestadoras con APS sujetas al ámbito de aplicación de la presente resolución que cuenten con otras APS que no hagan parte del mismo y opten por aplicar en estas la metodología dispuesta en la presente resolución, contarán con un mes a partir de la publicación en el Diario Oficial de la presente resolución modificatoria de la Resolución CRA 688 de 2014, para enviar a la Comisión de Regulación de Agua Potable y Saneamiento Básico una comunicación informando tal decisión. Una vez la persona prestadora informe que elige esta opción no podrá, en ningún caso, aplicar la metodología que le correspondía inicialmente”.

 

ARTÍCULO 36. MODIFICAR el artículo 105 de la Resolución CRA 688 de 2014, el cual quedará así:

 

ARTÍCULO 105. Autodeclaración de inversiones de la Resolución CRA 287 de 2004. Las personas prestadoras deberán realizar la autodeclaración de las inversiones planeadas y ejecutadas incluidas en los planes de inversión de los estudios de costos establecidos con base en la Resolución CRA 287 de 2004, de conformidad con la metodología establecida en el anexo III de la presente resolución”.

 

ARTÍCULO 37. MODIFICAR el artículo 108 de la Resolución CRA 688 de 2014, el cual quedará así:

 

ARTÍCULO 108. Vigilancia y control de los indicadores. La vigilancia y el control sobre los indicadores de servicio y de eficiencia la realizará la auditoría externa de gestión y resultados o quien haga sus veces, de acuerdo con lo establecido en la ley y la normativa vigente”.

 

ARTÍCULO 38. MODIFICAR el artículo 109 de la Resolución CRA 688 de 2014 , el cual quedará así:

 

ARTÍCULO 109. Provisión de inversiones por no ejecución del POIR. Las personas prestadoras deberá (sic) realizar una provisión de recursos no ejecutados al cierre de cada año tarifario, que se determinará con base en la siguiente fórmula:

 

F21R735

Donde:

 

PIi: provisión de inversiones al año i.

 

VPIPi: valor presente del costo de inversiones planeadas al año i (pesos de diciembre del año base).

 

VPIEi: valor presente del costo de inversiones ejecutadas al año i (pesos de diciembre del año base).

 

r: tasa de descuento según lo establecido en el artículo 20 de la presente resolución.

 

PARÁGRAFO. A partir del cuarto año de vigencia de la formula tarifaria definida en la presente resolución, las personas prestadoras deberán constituir un encargo fiduciario y trasladar al mismo, el saldo de la provisión constituida con el fin de continuar ejecutando las inversiones del POIR pendientes o en mora. Los costos relacionados con la apertura y administración del encargo fiduciario deberán ser asumidos por la persona prestadora”.

 

ARTÍCULO 39. ACLARAR la fórmula de la base de capital regulada cero para el siguiente marco tarifario, contenida en el artículo 110 de la Resolución CRA 688 de 2014 , la cual quedará así:

 

ARTÍCULO 110. Base de capital regulada cero para el siguiente marco tarifario. La base de capital regulada cero para el siguiente marco se determinará de acuerdo con la siguiente fórmula:

 

F22R735

Donde:

 

BCRt,ac/al: base de capital regulada cero para el siguiente marco tarifario en el año t (pesos de diciembre del año 2014).

 

BCR0,ac/al: base de capital regulada del año base según lo definido en el artículo 46 de la presente resolución (pesos de diciembre del año 2014).

 

VPIOj,t,ac/al: valor presente de cada uno de los activos j programado en el POIR del presente marco tarifario hasta el año t, que se encuentren en operación (pesos de diciembre del año 2014).

 

VP(Qt): valor presente de los m3 facturados durante la aplicación del presente marco tarifario hasta el año t (m3).

 

CMIac/al: costo medio de inversión aplicado en el período de la metodología tarifaria establecida en la presente resolución (pesos de diciembre del año 2014/m3).

 

j: cada uno de los activos programados en el POIR que hace parte de la BCR.

 

t: número de meses de aplicación del presente marco tarifario dividido entre doce (12).

 

(…)”.

 

ARTÍCULO 40. Modificar el inciso segundo del artículo 112 de la Resolución CRA 688 de 2014 , el cual quedará así:

 

ARTÍCULO 112. Reporte de información. Las personas prestadoras deberán reportar la información requerida, en la oportunidad y calidad establecidas en la presente resolución y en el esquema de reporte de información definido por la Superintendencia de Servicios Públicos Domiciliarios. El incumplimiento a la presente disposición ocasionará las sanciones establecidas en la ley.

 

Además de lo anterior, las personas prestadoras deberán tener a disposición de la Comisión de Regulación de Agua Potable y Saneamiento Básico (CRA), de la Superintendencia de Servicios Públicos Domiciliarios (SSPD), y de la entidad pública que lo requiera en ejercicio de sus funciones, la información relacionada con la prestación de los servicios públicos domiciliarios de acueducto y alcantarillado, que se le solicite, de acuerdo con las competencias de cada entidad”.

 

ARTÍCULO 41. MODIFICAR el artículo 113 de la Resolución CRA 688 de 2014, el cual quedará así:

 

ARTÍCULO 113. Vigencia de la fórmula tarifaria. La fórmula tarifaria general regirá por un periodo de cinco años, contados a partir del primero (1º) de julio de 2016. Una vez vencido dicho periodo, la fórmula seguirá rigiendo mientras la Comisión de Regulación de Agua Potable y Saneamiento Básico no determine una nueva”.

 

ARTÍCULO 42. MODIFICAR el inciso primero del artículo 114 de la Resolución CRA 688 de 2014, el cual quedará así:

 

ARTÍCULO 114. Aplicación de las tarifas derivadas de la presente resolución. Las tarifas resultantes de la presente resolución comenzarán a aplicarse a partir del primero (1º) de julio de 2016, fecha en que iniciará el cobro a los suscriptores de los servicios públicos domiciliarios de acueducto y alcantarillado”.

 

ARTÍCULO 43. ACLARAR el artículo 115 de la Resolución CRA 688 de 2014, el cual quedará así:

 

ARTÍCULO 115. Progresividad en la aplicación de las tarifas para el segundo segmento. En el evento en el cual las personas prestadoras pertenecientes al segundo segmento apliquen las tarifas resultantes de la metodología establecida en la presente resolución y estas sean superiores a las que se tienen actualmente, podrán optar por aplicarlas de manera progresiva, mediante un plan mensual cuyo plazo no supere dos años contados desde el primero (1º) de julio de 2016. Dicho plan podrá ser revisado periódicamente por la Superintendencia de Servicios Públicos Domiciliarios. En todo caso, la persona prestadora deberá cumplir con las metas definidas en el artículo 106 de la presente resolución”.

 

ARTÍCULO 44. ACLARAR el inciso del artículo 118 de la Resolución CRA 688 de 2014 , relativo al costo medio de operación al cual hace referencia el numeral 2º del artículo 9º de la Resolución CRA 608 de 2012, el cual quedará así:

 

ARTÍCULO 118. Modificación del numeral 2º del artículo 9º de la Resolución CRA 608 de 2012. El numeral 2º del artículo 9º de la Resolución CRA 608 de 2012 quedará así:

 

(…).

 

Alternativamente, y hasta el momento en que comiencen a aplicarse las tarifas resultantes de la metodología tarifaria general expedida mediante la Resolución CRA 688 de 2014, el proveedor podrá adoptar, entre otras, alguna de las siguientes opciones: (…)”.

 

ARTÍCULO 45. ACLARAR el inciso del artículo 119 de la Resolución CRA 688 de 2014, relativo al costo medio de operación al cual hace referencia el literal a) del artículo 10 de la Resolución CRA 608 de 2012, el cual quedará así:

 

ARTÍCULO 119. Modificación del literal a) del artículo 10 de la Resolución CRA 608 de 2012. El literal a) del artículo 10 de la Resolución CRA 608 de 2012 quedará así:

 

(…).

 

Alternativamente, y hasta el momento en que comiencen a aplicarse las tarifas resultantes de la metodología tarifaria general expedida mediante la Resolución CRA 688 de 2014, el proveedor podrá adoptar, entre otras, alguna de las siguientes opciones: (…)”.

 

ARTÍCULO 46. ACLARAR el inciso del artículo 120 de la Resolución CRA 688 de 2014, relativo al costo medio de operación al cual hace referencia el literal a) del artículo 11 de la Resolución CRA 608 de 2012, el cual quedará así:

 

ARTÍCULO 120. Modificación del literal a) del artículo 11 de la Resolución CRA 608 de 2012. El literal a) del artículo 11 de la Resolución CRA 608 de 2012 quedará así:

 

(…).

 

Alternativamente, y hasta el momento en que comiencen a aplicarse las tarifas resultantes de la metodología tarifaria general expedida mediante la Resolución 688 de 2014, el proveedor podrá adoptar, entre otras, alguna de las siguientes opciones: (…)”.

 

ARTÍCULO 47. MODIFICAR y ADICIONAR el anexo II de la Resolución CRA 688 de 2014, el cual quedará así:

 

“Anexo II

 

Metodología para determinar el puntaje de eficiencia comparativa (PDEA)

 

La metodología para determinar el puntaje de eficiencia comparativa (PDEA) de los costos administrativos y operativos comparables será el análisis de la envolvente de datos (DEA: Data Envelopment Analysis), el cual aplica en las APS pertenecientes al primer segmento y en las APS en las que opten por aplicar la metodología del primer segmento, teniendo en cuenta lo definido en el artículo 4º de la presente resolución.

 

Para las APS del primer segmento de las personas prestadoras relacionadas en el numeral 8º del presente anexo, la Comisión de Regulación de Agua Potable y Saneamiento Básico calculará el PDEA, con aquellas que cumplan con los parámetros mínimos de inclusión y que, sus datos reportados en el SUI no presenten datos atípicos. Para ello, la CRA evaluará el reporte anual de las variables del modelo para costos administrativos y operativos comparables, realizado por parte de las personas prestadoras en la serie de tiempo 2010-2014.

 

Los puntajes se calcularán tomando el promedio de las variables del año base y del año inmediatamente anterior. Las personas prestadoras que cumplan con los parámetros de inclusión y que constituyen el grupo base, el valor de las variables con las cuales se calcularán los PDEA y el menor CAU* y COU* resultante de las mismas, serán informados a las personas prestadoras mediante resolución, la cual surtirá el proceso de participación ciudadana.

 

Para las personas prestadoras con APS del segundo segmento que opten por aplicar la metodología del primer segmento, teniendo en cuenta lo definido en el parágrafo 3º del artículo 104 de la presente resolución, la Comisión de Regulación de Agua Potable y Saneamiento Básico calculará los puntajes de eficiencia, de acuerdo con lo estipulado en el parágrafo 6º de los artículos 26 y 33 de la presente resolución.

 

El PDEA de costos administrativos para aquellas personas prestadoras con APS del primer segmento y con otras APS en las que optaron por aplicar la metodología correspondiente al primer segmento, dando cumplimiento a lo establecido en los parágrafos 3º o 4º del artículo 104 de la presente resolución, será el correspondiente al obtenido con la información de la APS del primer segmento. Dicho puntaje podrá ser aplicado al costo administrativo unificado, tal como lo establece el parágrafo 4º del artículo 27 de la presente resolución.

 

El PDEA de costos operativos comparables para aquellas personas prestadoras con APS del primer segmento y con otras APS en las que optaron por aplicar la metodología correspondiente al primer segmento, dando cumplimiento a lo establecido en los parágrafos 3º o 4º del artículo 104 de la presente resolución, será el correspondiente al obtenido con la información de la APS del primer segmento.

 

Las personas prestadoras que cuenten con APS del primer segmento y/o con APS en las que optaron por aplicar la metodología correspondiente al primer segmento, dando cumplimiento a lo establecido en los parágrafos 3º o 4º del artículo 104 de la presente resolución, deberán aplicar el PDEA utilizado para el cálculo de las tarifas de la Resolución CRA 287 de 2004 en la fórmula del artículo 26 y del artículo 33 de la presente resolución, hasta tanto la CRA informe mediante resolución si se aplicó el modelo del DEA, los puntajes definitivos así como la fecha a partir de la cual regirán o si los prestadores deberán aplicar lo establecido en los parágrafos 3º o 4º de los artículos mencionados, según corresponda.

 

Para las APS atendidas con un mismo sistema interconectado, el cálculo del PDEA de los costos administrativos y los costos operativos comparables se realizará con la información de las variables agregadas de este sistema, por lo tanto estas APS tendrán el mismo PDEA.

 

1. Parámetros mínimos para la inclusión de DMUs en el modelo.  

 

Se evaluará la eficiencia de aquellas personas prestadoras del primer segmento definido en el artículo 4º de la presente resolución, que cumplan los siguientes parámetros en el año base:

 

• Continuidad mayor al 95%. Se tomará del artículo 2.4.2.29 Formulario continuidad en la oferta del servicio de acueducto del anexo de la Resolución SSPD 2010300048765 del 14 de diciembre de 2010.

 

• IRCA menor a 5%. Se tomará el reporte registro IRCA consolidado anual por prestador que realizan las autoridades sanitarias departamentales al Instituto Nacional de Salud (INS) en función de sus actividades de inspección, vigilancia y control.

 

• Micromedición efectiva mayor al 80%. Se tomará del artículo 2.3.7 Formato facturación acueducto del anexo de la Resolución SSPD 2010300048765 del 14 de diciembre de 2010.

 

En el caso que se ofrezcan los servicios públicos domiciliarios de acueducto y alcantarillado por separado, y que tengan en común por lo menos el 60% de sus suscriptores, se aclara que se evaluarán los parámetros mínimos de inclusión de la persona prestadora que preste el servicio público domiciliario de acueducto, debido a que los parámetros de continuidad, IRCA y micromedición efectiva son aplicables exclusivamente para las personas prestadoras del servicio público domiciliario de acueducto.

 

Para el cálculo del PDEA la CRA evaluará la información de las variables para el modelo de costos administrativos y costos operativos comparables, reportada por las personas prestadoras con APS pertenecientes al primer segmento que se encuentran relacionadas en el numeral 8º del presente anexo. A partir del cumplimiento de los parámetros mínimos para la inclusión en ambos modelos y la no presentación de datos atípicos en la información reportada en el SUI de cinco (5) o más personas prestadoras se realizará el cálculo del PDEA, las cuales constituyen el grupo básico para el cálculo del PDEA.

 

Las personas prestadoras con APS del primer segmento y/o con APS en las que optaron por aplicar la metodología del primero, que no cumplan con los parámetros mínimos de inclusión deberán tomar los menores costos administrativos y operativos eficientes por suscriptor (CAU* y COU*) calculado de las empresas que hagan parte del grupo básico, hasta tanto cumplan con los parámetros mínimos y no presenten datos atípicos en la información reportada en el SUI para calcular los PDEA, en cuyo caso podrá (sic) presentar solicitud particular para modificarlos de conformidad con lo establecido en el artículo 126 de la Ley 142 de 1994 siempre y cuando se haya realizado el cálculo del PDEA.

 

Si entre una (1) y cuatro (4) personas prestadoras cumplen con los parámetros mínimos para la inclusión en ambos modelos y no presentan datos atípicos en la información reportada en el SUI, no se aplicará la metodología del DEA. Estas personas prestadoras tendrán un PDEA del 100% y el menor CAU* y COU* resultante de ellas deberá ser aplicado por las demás personas prestadoras que cuenten con APS en las que apliquen la metodología del primer segmento.

 

En el evento que ningún prestador cumpla con los parámetros mínimos y que no presente datos atípicos en la información reportada en el SUI para la inclusión en el modelo tanto de costos administrativos como de costos operativos comparables, las personas prestadoras con APS en las que apliquen la metodología correspondiente al primer segmento, deberán aplicar los costos administrativos y operativos comparables eficientes estándar por suscriptor mensual definidos en el parágrafo 4º del artículo 26 y en el parágrafo 4º del artículo 33 de la presente resolución respectivamente.

 

En aquellos casos que, por entrada en operación de un prestador que deba aplicar la metodología del primer segmento que cumple con los parámetros mínimos de inclusión y que no presente datos atípicos en la información reportada en el SUI, deberá estimar los PDEA para el cálculo de su respectivo CMA y CMO por comparación. En caso de no cumplir, deberá adoptar el menor costo administrativo y operativo eficiente por suscriptor (CAU* y COU*) calculado de las empresas que hagan parte del grupo base, hasta tanto cumpla con los parámetros mínimos para calcular el PDEA, en cuyo caso podrá presentar solicitud particular para modificarlos de conformidad con lo establecido en el artículo 126 de la Ley 142 de 1994 siempre y cuando se haya realizado el cálculo del PDEA.

 

En los casos en que las personas prestadoras no dispongan de la herramienta informática para realizar dicha estimación podrán solicitar a esta comisión le sean calculados dichos puntajes mediante oficio que contenga solicitud expresa en tal sentido.

 

Los parámetros mínimos de la inclusión en el modelo, para las personas prestadoras que atienden varias APS con un mismo sistema interconectado, serán evaluados de forma independiente para cada APS.

 

2. Identificación de las variables del modelo para costos administrativos.

 

2.1. Insumo:

 

Como insumo controlable por las personas prestadoras se definen los costos administrativos base, depurados con los criterios establecidos en el artículo 27 de la presente resolución.

 

Estos costos serán expresados en pesos de diciembre del año base y se tomarán del artículo 2.2.1.3 Formato plan de contabilidad (acueducto) y artículo 3.2.1.3 Formato plan de contabilidad (alcantarillado) del anexo de la Resolución SSPD 2010300048765 de 14 de diciembre de 2010.

 

Aunque se solicite el registro contable para efectos del cálculo de estos costos, se hacen necesarias algunas precisiones. Para ello, la SSPD enviará un archivo Excel una vez se cumpla un plazo de un (1) mes contado a partir de la publicación en el Diario Oficial de la presente resolución modificatoria de la Resolución CRA 688 de 2014, con la información reportada por las personas prestadoras al SUI para el registro de ajustes en los costos (exclusiones y traslados).

 

2.2. Productos:

 

Las variables que entran al modelo como productos recogen información del tamaño del mercado atendido por las personas prestadoras, es decir, la administración y el nivel de gestión de los servicios públicos domiciliarios de acueducto y alcantarillado a un número de suscriptores. La combinación de estas variables permite examinar las características de una persona prestadora con respecto a las otras. La información de estas variables, se tomará del artículo 2.3.7.7 Formulario información comercial acueducto y del artículo 3.3.6.7 Formulario información comercial alcantarillado del anexo de la Resolución SSPD 2010300048765 del 14 de diciembre de 2010.

 

• Producto 1: número de suscriptores de acueducto.

 

• Producto 2: número de suscriptores de alcantarillado.

 

• Producto 3: número de suscriptores con micromedición efectiva.

 

• Producto 4: número de suscriptores de estratos 1 y 2.

 

• Producto 5: número de suscriptores industriales y comerciales.

 

3. Identificación de las variables del modelo para costos operativos comparables.

 

3.1. Insumo:

 

Como insumo controlable por las personas prestadoras se definen los costos operativos comparables base, depurados con los criterios establecidos en el artículo 34 de la presente resolución. Estos costos serán expresados en pesos de diciembre del año base y se tomarán del artículo 2.2.1.3 Formato plan de contabilidad (acueducto) y del artículo 3.2.1.3 Formato plan de contabilidad (alcantarillado) del anexo de la Resolución SSPD 2010300048765 del 14 de diciembre de 2010.

 

Aunque se solicite el registro contable para efectos del cálculo de estos costos, se hacen necesarias algunas precisiones. Para ello, la SSPD enviará un archivo Excel una vez se cumpla un plazo de un (1) mes contado a partir de la publicación en el Diario Oficial de la presente resolución modificatoria de la Resolución CRA 688 de 2014, con la información reportada por las personas prestadoras al SUI para el registro de ajustes en los costos (exclusiones, traslados y contratos de suministro de agua potable y/o interconexión de acueducto y alcantarillado).

 

3.2. Productos:

 

Las variables que entran al modelo como productos recogen información de cantidad del producto “producción de volumen de agua potable” y de los “vertimientos al sistema de alcantarillado”, así como de la “calidad” del producto. La combinación de estas variables permite examinar las características de una persona prestadora con respecto a las otras. La información se tomará así:

 

• Producto 1: m3 facturados de acueducto. Se tomará del artículo 2.3.7.7 Formulario información comercial acueducto del anexo de la Resolución SSPD 2010300048765 del 14 de diciembre de 2010.

 

• Producto 2: m3 vertidos al sistema de alcantarillado, facturados por la persona prestadora. Se tomará del artículo 3.3.6.7 Formulario información comercial alcantarillado del anexo de la Resolución SSPD 2010300048765 de 14 de diciembre de 2010.

 

• Producto 3: Tamaño de redes. Se tomará del artículo 2.4.2.33 Formato redes sistema de acueducto y 3.4.1.33 Formato redes sistema de alcantarillado del anexo de la Resolución SSPD 2010300048765 del 14 de diciembre de 2010.

 

• Producto 4: Calidad promedio del agua cruda. Se tomará del artículo 2.4.1.2 Formulario registro de fuentes, artículo 2.4.1.5 Formulario fuentes superficiales, artículo 2.4.1.6 Formulario registro de puntos de muestreo calidad fuentes superficiales, artículo 2.4.1.8 Formato muestreo calidad del agua fuentes superficiales, artículo 2.4.1.9 Formato muestreo calidad del agua fuentes Subterráneas, artículo 2.4.1.13 Formato muestreo calidad del agua fuentes embalses, artículo 2.4.1.17 Formato operación de pozos, artículo 2.4.2.1 Formulario registro de captaciones de agua fuentes superficiales y artículo 2.4.2.3 Formulario operación captación de agua fuentes superficiales del anexo de la Resolución SSPD 2010300048765 del 14 de diciembre de 2010.

 

En el caso que se presente una diferencia en los valores del IRCA por inconsistencias en el reporte realizado en el Sivicap, la persona prestadora podrá remitir a la CRA copia de los resultados de los muestreos realizados por la autoridad sanitaria.

 

4. Orientación del modelo.

 

Conceptualmente, los costos administrativos y los costos operativos comparables son el insumo por medio del cual las personas prestadoras obtienen productos como los ya mencionados. Una versión reciente del software utilizado permite definir los insumos controlables o no controlables y los productos, sin necesidad de realizar ninguna inversión de las variables.

 

Se utilizará el modelo básico de Banker, Charnes y Cooper (BCC) que permite orientar la aproximación a la frontera a través de la minimización del insumo bajo retornos variables a escala.

 

5. Particularidades no captadas en el modelo (PNCDEA). 

 

Es un porcentaje que se reconoce como un valor adicional del PDEA obtenido por las personas prestadoras hasta un máximo del 100% del total del PDEA obtenido. Dicho porcentaje será calculado e informado por la Comisión de Regulación de Agua Potable y Saneamiento Básico mediante resolución.

 

6. Reporte de información para personas prestadoras con sistemas no interconectados.

 

Para aquellas personas prestadoras que cuenten con sistemas no interconectados, se tomará del SUI el reporte de sistemas no interconectados del artículo 2.4.2.37 Formulario datos generales con el nombre del sistema no interconectado del anexo de la Resolución SSPD 2010300048765 del 14 de diciembre de 2010, para la determinar los costos de las APS del primer segmento.

 

7. Plazos para el reporte de información.

 

Las personas prestadoras de los servicios públicos domiciliarios de acueducto y alcantarillado con APS del primer segmento y aquellas con APS del segundo segmento que opten por aplicar la metodología del primer segmento, cuentan con un plazo de un (1) mes contado a partir de la publicación en el Diario Oficial de la presente resolución modificatoria de la Resolución CRA 688 de 2014 para revisar la totalidad de la información cargada al SUI descrita anteriormente. Una vez vencido este plazo de un (1) mes la SSPD enviará un archivo Excel con el reporte de costos administrativos y operativos comparables para los años 2013 y 2014. Dicha información deberá ser remitida mediante comunicación suscrita por el representante legal de la empresa en un plazo de cinco (5) días hábiles contados a partir de la fecha de recibo del archivo Excel.

 

La información de costos relacionada en el Excel que sea radicada en la SSPD después de la fecha establecida, no será tenida en cuenta para efectos del cálculo del PDEA. En este caso, se tomarán para el cálculo de los PDEA los costos reportados en el SUI, sin perjuicio de posteriores requerimientos que pueda solicitar la SSPD para efectuar la aclaración en el marco de sus funciones de inspección, vigilancia y control.

 

La información del SUI se considera oficial para todos los efectos previstos en la ley. Las personas prestadoras podrán solicitar modificaciones a dicha información cumpliendo los requisitos establecidos en la Resolución SSPD 20121300035485 del 14 de noviembre de 2012.

 

8. Personas prestadoras con APS pertenecientes al primer segmento.

 

1. Empresa de Acueducto, Alcantarillado y Aseo de Bogotá ESP.

 

2. Empresas Públicas de Medellín ESP.

 

3. Empresas Municipales de Cali EICE ESP.

 

4. Sociedad de Acueducto, Alcantarillado y Aseo de Barranquilla S.A. ESP.

 

5. Acueducto Metropolitano de Bucaramanga S.A. ESP.

 

6. Empresa Pública de Alcantarillado de Santander S.A. ESP.

 

7. Aguas de Cartagena S.A. ESP.

 

8. Aguas Kpital Cúcuta S.A. ESP.

 

9. Empresa de Acueducto y Alcantarillado de Pereira S.A. ESP.

 

10. Empresa Ibaguereña de Acueducto y Alcantarillado S.A. ESP.

 

11. Aguas de Manizales S.A. ESP.

 

12. Empresas Públicas de Neiva ESP.

 

13. Empresa de Acueducto y Alcantarillado de Villavicencio ESP.

 

14. Empresas Públicas de Armenia.

 

15. Compañía del Acueducto y Alcantarillado Metropolitano de Santa Marta S.A. ESP.

 

16. Proactiva Aguas de Montería S.A. ESP.

 

17. Empresa de Obras Sanitarias de Pasto Empopasto S.A. ESP.

 

18. Acueducto y Alcantarillado de Popayán S.A. ESP.

 

19. Aguas de la Sabana S.A. ESP.

 

20. Proactiva Aguas de Tunja S.A. ESP.

 

21. Empresa de Servicios Públicos de Valledupar S.A. Emdupar S.A. ESP.

 

22. Centroaguas S.A. ESP”.

 

ARTÍCULO 48. MODIFICAR el anexo III de la Resolución CRA 688 de 2014, el cual quedará así:

 

“Anexo III

 

Metodología para realizar la autodeclaración de las inversiones planeadas y ejecutadas incluidas en los planes de inversión de los estudios de costos establecidos con base en la Resolución CRA 287 de 2004.

 

Las personas prestadoras de los servicios públicos domiciliarios de acueducto y alcantarillado a las que les aplique la metodología definida en la presente resolución, deberán realizar una autodeclaración de inversiones que dé cuenta de los planes de inversión incluidos en los estudios de costos de la Resolución CRA 287 de 2004, a partir de los cuales se generaron recursos durante la vigencia de las tarifas de dicha resolución. Como resultado de este ejercicio se calculará el monto de ingresos por recuperar, en función de las inversiones planeadas y ejecutadas al momento de entrar en aplicación las tarifas resultantes de la presente resolución y que hacían parte del plan de inversiones de la Resolución CRA 287 de 2004.

 

1. Elementos de la autodeclaración. Para efectuar la autodeclaración de las inversiones de las personas prestadoras de los servicios públicos domiciliarios de acueducto y alcantarillado, se deberán tener en cuenta los siguientes elementos:

 

a) Cálculo de los Ingresos Programados para Inversiones (IPI). Los ingresos programados en el plan de inversiones, derivados de la aplicación de la metodología de la Resolución CRA 287 de 2004 se calcularán con base en la siguiente fórmula:

 

F23R735

Donde:

 

IPIac,al: ingresos programados en el plan de inversiones de la metodología contenida en la Resolución CRA 287 de 2004 para cada uno de los servicios públicos domiciliarios de acueducto y alcantarillado.

 

VPIORERz: valor presente, del activo o proyecto z con activos en operación al día anterior a la fecha de inicio de aplicación de las tarifas resultantes de la presente metodología tarifaria, del plan de las inversiones programadas en expansión, reposición y rehabilitación de los sistemas de acueducto y alcantarillado de los estudios de costos de la Resolución CRA 287 de 2004.

 

z: cada uno de los activos o proyectos ejecutados por el prestador con activos en operación al día anterior a la fecha de inicio de aplicación de las tarifas resultantes de la presente metodología tarifaria, del plan de inversiones de la Resolución CRA 287 de 2004 (VPIRER).

 

Para calcular el VPIORERz la persona prestadora podrá optar por determinarlo por alguna de las siguientes opciones:

 

i) Podrá realizarlo por activos, los cuales deberán clasificarse según los criterios definidos en el artículo 27 de la Resolución CRA 287 de 2014 y deberán estar asociados a un proyecto, según los formatos que para tal fin establezca la Superintendencia de Servicios Públicos Domiciliarios (SSPD).

 

ii) O en aquellos casos en que no sea posible determinarlo por activos, podrá realizarlo por proyectos identificando el activo principal que conforma cada proyecto, el cual deberá ser el de mayor valor dentro del proyecto y deberá encontrarse en operación al día anterior a la fecha de inicio de aplicación de las tarifas resultantes de la presente metodología tarifaria. Dichos proyectos deberán estar debidamente soportados.

 

Las personas prestadoras que al día anterior a la fecha de inicio de aplicación de las tarifas resultantes de la presente metodología tarifaria no hayan ejecutado el 100% del valor del VPIRER con el que calcularon las tarifas de la Resolución CRA 287 de 2004, deberán justificar ante la Superintendencia de Servicios Públicos Domiciliarios las diferencias entre el monto de la ejecución de inversiones y el VPIRERargumentando las razones de improcedencia técnica, de mínimo costo o porque el horizonte de planeación de las inversiones de su VPIRER supera el período de aplicación de la Resolución CRA 287 de 2004. Lo anterior, sin perjuicio de las acciones de control que establezca la Superintendencia de Servicios Públicos Domiciliarios.

 

El IPI se calculará al año base utilizado por la persona prestadora para definir las tarifas establecidas en aplicación de la Resolución CRA 287 de 2004.

 

En ningún caso el valor del IPI podrá ser superior al VPIRER con el que se calcularon las tarifas de la Resolución CRA 287 de 2004.

 

Las personas prestadoras que calcularon su CMI de conformidad con lo establecido en los artículos 33 y 34 de la Resolución CRA 287 de 2004, para efectos del cálculo de los ingresos programados de inversiones (IPI) deberán declarar el VPIRER, tanto para el servicio de acueducto como para el de alcantarillado.

 

b) Cálculo de los Ingresos Cobrados de Inversiones (ICI). Los ingresos por el cobro de inversiones a través de las tarifas durante la vigencia de la Resolución CRA 287 de 2004, para cada uno de los servicios públicos domiciliarios de acueducto y alcantarillado, se calcularán con base en la siguiente fórmula:

 

F24R735

Donde:

 

ICIac,al: ingresos por el cobro de inversiones por concepto de las tarifas aplicadas durante la vigencia de la metodología de la Resolución CRA 287 de 2004, para cada uno de los servicios públicos domiciliarios de acueducto y alcantarillado.

 

VPIRER: valor presente de las inversiones programadas en expansión, reposición y rehabilitación de los sistemas de acueducto y alcantarillado para la prestación del servicio, del plan tarifario programado en los estudios de costos, según lo definido en el artículo 25 de la Resolución CRA 287 de 2004.

 

VPQ: valor presente de los m3 facturados en cada año de aplicación del CMI de la metodología de la Resolución CRA 287 de 2004, hasta el día anterior a la fecha de inicio de aplicación de las tarifas resultantes de la presente metodología tarifaria.

 

VPDHVPD: valor presente de la demanda utilizado en los estudios de costos de la metodología tarifaria de la Resolución CRA 287 de 2004, según lo definido en el artículo 25 de dicha resolución.

 

Tanto el VPIRER, como el VPQ y el VPDHVPD se calcularán al año base utilizado por la persona prestadora para definir las tarifas establecidas en aplicación de la Resolución CRA 287 de 2004.

 

Dado que el cálculo del VPQ debe incluir los m3 facturados hasta el día anterior a la fecha de inicio de aplicación de las tarifas resultantes de la presente metodología tarifaria, si al momento de elaborar la autodeclaración la persona prestadora no cuenta con los valores reales, deberá estimar los m3 de los meses faltantes con base en el promedio de facturación mensual de los últimos doce (12) meses con que cuente con información de la facturación realizada.

 

Las personas prestadoras que calcularon su CMI de conformidad con lo establecido en los artículos 33 y 34 de la Resolución CRA 287 de 2004, para efectos del cálculo de los Ingresos Cobrados de Inversiones (ICI), deberán aplicar la siguiente expresión:

 

F25R735

Donde:

 

ICIac,al: ingresos por el cobro de inversiones por concepto de las tarifas aplicadas durante la vigencia de la metodología de la Resolución CRA 287 de 2004, para cada uno de los servicios públicos domiciliarios de acueducto y alcantarillado.

 

CMI: Costo Medio de Inversión CMI de la metodología de la Resolución CRA 287 de 2004, calculado con base en lo establecido en los artículos 33 y 34 de la mencionada resolución.

 

FI: porcentaje del valor del CMI que fue destinado por la persona prestadora para realizar inversiones en expansión, reposición y rehabilitación del sistema, durante la vigencia de la metodología de la Resolución CRA 287 de 2004.

 

c) Cálculo de los Ingresos Netos de Inversiones por Cobrar (INIC). Los ingresos netos de inversiones por cobrar al cierre de la vigencia de la Resolución CRA 287 de 2004 se calcularán con base en la siguiente fórmula:

 

F26R735

Donde:

 

INICac,al: ingresos netos de inversiones por cobrar de la vigencia de la Resolución CRA 287 de 2004 para los servicios públicos domiciliarios de acueducto y alcantarillado, expresado en pesos del año base utilizado por la persona prestadora para definir las tarifas establecidas en desarrollo de la Resolución CRA 287 de 2004.

 

IPIac,al: ingresos programados en el plan de inversiones de la metodología contenida en la Resolución CRA 287 de 2004 para cada uno de los servicios públicos domiciliarios de acueducto y alcantarillado.

 

ICIac,al: ingresos por el cobro de inversiones por concepto de las tarifas aplicadas durante la vigencia de la metodología de la Resolución CRA 287 de 2004 para cada uno de los servicios públicos domiciliarios de acueducto y alcantarillado.

 

El cálculo de los Ingresos Netos de Inversiones por Cobrar (INIC) definido anteriormente, aplicará también para las personas prestadoras que calcularon su CMI de conformidad con lo establecido en los artículos 33 y 34 de la Resolución CRA 287 de 2004.

 

Cuando el INICac,al sea negativo, es decir que los ingresos por el cobro de inversiones durante la vigencia de la Resolución CRA 287 de 2004 sean mayores al valor de las inversiones que entraron en operación en este mismo periodo, sin perjuicio de las acciones de vigilancia y control a que haya lugar por parte de la Superintendencia de Servicios Públicos Domiciliarios, el prestador deberá incluir esta diferencia de la siguiente manera:

 

i) En el caso en que la persona prestadora cuenta con las obras en construcción al día anterior a la fecha de inicio de aplicación de las tarifas resultantes de la presente metodología tarifaria podrá incluirlas en el POIR del estudio de costos de la presente resolución, siempre y cuando sean afectas a la prestación del servicio, descontando del valor de las inversiones el valor cobrado durante la vigencia de la Resolución CRA 287 de 2004 hasta completar la totalidad del INICac,al.

 

ii) En el caso en que la persona prestadora no cuente con obras en construcción al día anterior a la fecha de inicio de aplicación de las tarifas resultantes de la presente metodología tarifaria suficientes para descontar el valor total del INICac,al, la diferencia entre el INICac,al y el valor de las obras en construcción, deberá ser devuelto a los suscriptores del servicio, en la forma y los plazos en que sea acordado con la Superintendencia de Servicios Públicos Domiciliarios.

 

d) Valor por cobrar de los activos o los proyectos z construidos con el plan de inversiones de la Resolución CRA 287 de 2004 a incluir en la BCR0. Para los estudios de costos de la metodología tarifaria definida en la presente resolución, la persona prestadora deberá incluir en la BCR0 el valor por cobrar de cada uno de los activos o proyectos provenientes del plan de inversiones de la Resolución CRA 287 de 2004, que será calculado con base en la siguiente fórmula:

 

F29R735

Donde:

 

VI287,z,ac/al: valor por cobrar de los activos o los proyectos z construidos con el plan de inversiones de la Resolución CRA 287 de 2004 (VPIRER) para cada servicio público domiciliario, expresado en pesos de diciembre del año 2014.

 

INICac,al: ingresos netos de inversiones por cobrar del plan de inversiones de la Resolución CRA 287 de 2004 para acueducto y alcantarillado, expresado en pesos del año base utilizado por la persona prestadora en su estudio de costos.

 

r: corresponde a la tasa de descuento utilizada por la persona prestadora para calcular las tarifas establecidas con base en la Resolución CRA 287 de 2004.

 

n: corresponde al número de años de aplicación de la Resolución CRA 287 de 2004, calculados como el número de meses transcurridos entre el año base utilizado por la persona prestadora para definir las tarifas establecidas en aplicación de la Resolución CRA 287 de 2004 y el día anterior a la fecha de inicio de aplicación de las tarifas resultantes de la presente metodología tarifaria, divididos entre doce (12).

 

Index (sic): corresponde a la indexación entre el mes de diciembre del año 2014 y el del año base utilizado por la persona prestadora en el estudio tarifario de la Resolución CRA 287 de 2004.

 

Pz: porcentaje de participación del costo de inversión del activo o proyecto z en el VPIOrerz para cada uno de los servicios de acueducto y alcantarillado, el cual corresponde al cociente entre cada VPlOrerzsobre el IPIac,al establecido según lo definido en el literal a) del presente anexo.

 

Z: cada uno de los activos o proyectos ejecutados por el prestador, con activos en operación al día anterior a la fecha de inicio de aplicación de las tarifas resultantes de la presente metodología tarifaria, del plan de inversión de la Resolución CRA 287 de 2004.

 

El cálculo del valor de inversiones por cobrar del activo o proyecto z de la Resolución CRA 287 de 2004 a incluir en la BCR0 definido anteriormente, aplicará también para las personas prestadoras que calcularon su CMI de conformidad con lo establecido en los artículos 33 y 34 de la Resolución CRA 287 de 2004.

 

2. Doble cobro de inversiones. Ninguna de las inversiones incluidas en la autodeclaración de inversiones de que trata el presente anexo, podrá ser incluida en el POIR del nuevo marco tarifario, así mismo las inversiones por cobrar de que trata el literal anterior, no podrán incluirse doblemente en la base de capital regulada del año base.

 

3. Fuente de información. Para la realización de la autodeclaración y la aplicación de lo definido en la presente resolución, la persona prestadora deberá tomar como fuente la información registrada en el Sistema Único de Información (SUI), en los formatos y metodologías que defina la SSPD, los cuales formarán parte de los nuevos estudios de costos que realizará la persona prestadora con base en lo establecido en la presente resolución.

 

El plazo máximo para realizar la autodeclaración por parte de la persona prestadora, no podrá exceder el plazo máximo establecido para la aplicación de las tarifas resultantes de la presente resolución.

 

4. Verificación de la información de la autodeclaración: tanto la información soporte suministrada así como los cálculos que realice la persona prestadora en desarrollo del presente anexo, deberán ser debidamente verificados y certificados por el auditor externo de gestión de resultados o quien haga sus veces.

 

No obstante el reporte al SUI, la información deberá quedar a disposición de la Comisión de Regulación de Agua Potable y Saneamiento Básico y la Superintendencia de Servicios Públicos Domiciliarios”.

 

ARTÍCULO 49. MODIFICAR el título, el segundo párrafo, las tablas de costos máximos por componente definidos en el numeral 3º y el numeral 2º del punto 4 Definición de vidas útiles y aplicación de un método de depreciación del anexo IV de la Resolución CRA 688 de 2014 , el cual quedará así:

 

“Anexo IV

Metodología aplicable para determinar el valor por cobrar de los activos diferentes a los ejecutados con el plan de inversiones de la Resolución CRA 287 de 2004

 

(…).

 

De forma general, la metodología empleada para determinar el valor por cobrar de los activos afectos a la prestación del servicio que se encuentran en funcionamiento en el año base, diferentes a las que hacían parte del VPIRER de la Resolución CRA 287 de 2004, que será incluido en la Base de Capital Regulada del Año Base (BCR0), deberá soportarse teniendo en cuenta la información que se define a continuación:

 

(…).

 

• Revisión de costos totales por componente a partir de la comparación con los costos máximos definidos por la CRA.


Teniendo en cuenta lo anterior, se presentan los máximos costos establecidos por la comisión para los diferentes componentes de los sistemas de acueducto y alcantarillado, los cuales deben ser empleados por parte de las personas prestadoras para verificar que sus costos totales se encuentren por debajo de los valores que se exponen en las siguientes tablas:

 

Costos máximos para activos de captación, tratamiento de agua potable y tratamiento de aguas residuales (en miles de pesos de diciembre de 2014)

Tipo de activo

Caudal de diseño (l/s)

1-10

11-25

26-50

51-100

101-250

251-500

501-1000

1001-2500

2501-5000

500-10000

Captaciones superficiales

121.167

209.262

316.379

478.325

826.096

1.248.955

1.888.266

3.261.148

4.930.451

7.454.230

Captaciones superficiales de fondo lateral

22.463

34.887

48.674

67.911

105.473

147.156

205.314

318.874

444.896

620.722

Desarenadores

38.263

80.783

142.175

250.225

528.290

929.776

1.636.382

3.454.827

6.080.407

10.701.359

Tratamiento para agua potable-Planta compacta

234.683

531.192

985.429

1.828.096

4.137.802

7.676.150

14.240.234

32.232.045

59.794.545

110.926.488

Tratamiento para agua potable- Planta convencional

307.124

626.777

1.075.145

1.844.255

3.763.747

6.456.164

11.074.618

22.601.022

38.768.790

66.502.259

Tratamiento de aguas residuales-Lagunas de estabilización

876.773

1.335.504

1.836.099

2.524.337

3.845.079

5.286.355

7.267.874

11.070.453

15.220.065

20.925.102

Tratamiento de aguas residuales-Tanque UASB

594.366

1.283.286

2.297.146

4.112.006

8.878.168

15.892.366

28.448.131

61.421.915

109.948.307

196.812.983

Tratamiento de aguas residuales-Tratamiento Primario

157.612

319.968

546.681

934.031

1.896.172

3.239.701

5.535.185

11.236.955

19.198.878

32.802.209

 

Costos máximos para activos de almacenamiento (en miles de pesos de diciembre de 2014)

Tipo de activo

Capacidad de almacenamiento (m3)

1-25

26-50

51-100

101-150

151-250

251-500

501-1000

1001-5000

5001-10000

30001-50000

Tanques enterrados

34.407

64.065

119.287

171.599

271.317

505.184

940.638

3.983.648

7.417.442

31.413.218

Tanques semienterrados

32.917

62.918

120.263

175.677

283.182

541.280

1.034.616

4.656.607

8.900.749

40.060.578

Tanques superficiales

35.455

56.541

90.168

118.472

167.105

266.487

424.976

1.255.999

2.002.980

5.919.731

Tanques elevados

79.620

137.605

237.817

327.518

490.169

847.140

1.464.081

5.215.282

9.013.377

32.107.037

 

Costos máximos activos de bombeo (en miles de pesos de diciembre de 2014)

Tipo de activo

Potencia de las estaciones de bombeo (kW)

1-25

26-50

51-75

76-100

101-200

201-250

251-500

501-1000

1001-5000

5001-10000

Estaciones de bombeo de agua potable

177.003

321.947

456.836

585.584

1.065.108

1.291.314

2.348.748

4.272.094

17.135.163

31.166.838

Estaciones de bombeo de aguas residuales

113.595

203.350

285.873

364.024

651.651

786.006

1.407.054

2.518.814

9.735.933

17.428.613

 

Costos máximos (por metro lineal) para activos de aducción, conducción y distribución de agua potable y recolección y transporte de las aguas residuales (en pesos de diciembre de 2014)

Diámetro (in)

Tipo de activo

Redes acueducto

Redes alcantarillado

0.5

8.631

15.079

0.75

14.569

24.453

1

21.123

34.458

1.25

28.176

44.960

1.5

35.655

55.876

1.75

43.507

67.150

2

51.694

78.738

2.5

68.955

102.736

3

87.257

127.681

4

126.509

179.922

6

213.542

291.760

8

309.600

411.134

10

412.980

536.442

11

467.061

600.998

12

522.595

666.693

14

637.683

801.202

15

697.096

869.892

16

757.674

939.469

18

882.123

1.081.106

20

1.010.671

1.225.807

21

1.076.388

1.299.227

22

1.143.022

1.373.321

24

1.278.928

1.523.439

27

1.488.994

1.753.118

28

1.560.580

1.830.803

29

1.632.914

1.909.024

30

1.705.979

1.987.765

32

1.854.230

2.146.752

33

1.929.384

2.226.973

36

2.158.789

2.470.404

39

2.393.834

2.717.770

40

2.473.380

2.801.056

42

2.634.207

2.968.824

44

2.797.280

3.138.136

45

2.879.636

3.223.352

48

3.129.878

3.481.166

51

3.384.719

3.742.097

52

3.470.653

3.829.741

54

3.643.964

4.005.998

56

3.819.154

4.183.514

72

5.283.130

5.645.046

 

(…).

 

Para determinar el valor que será incluido en la Base de Capital Regulada del Año Base (BCR0) diferentes a las que hacían (sic) parte del VPIRER de la Resolución CRA 287 de 2004, las personas prestadoras deberán establecer:

 

1. El costo total de los activos de acuerdo con lo definido en el numeral III del presente anexo;

 

2. El valor de la depreciación acumulada al día anterior a la fecha de inicio de la aplicación de las tarifas resultantes de la presente resolución, con base en las condiciones de vida útil y método de depreciación, utilizadas en la vigencia de las tarifas de la Resolución CRA 287 de 2004.

 

3. La diferencia entre el costo total del activo y el valor de la depreciación acumulada.

 

(…)”.

 

ARTÍCULO 50. MODIFICAR el artículo 121 de la Resolución CRA 688 de 2014 el cual quedará así:

 

ARTÍCULO 121. Mercados regionales: los mercados regionales que hayan sido aprobados con anterioridad a la presente resolución, deberán ajustar su estudio de costos, de acuerdo con lo establecido en el artículo 4º de la Resolución CRA 628 de 2013 aplicando las siguientes reglas:

 

a) El costo de prestación unificado o integrado de acueducto y alcantarillado se obtendrá de acuerdo con lo establecido en el artículo 1º de la Resolución CRA 628 de 2013;

 

b) El mercado regional quedará clasificado en el primer segmento;

 

c) Las metas en calidad, continuidad y cobertura del mercado regional serán las aprobadas en la resolución respectiva al mercado regional;

 

d) El resto de los estándares deberán ser incluidos en su estudio de costos (IPUF, DACAL, CAU, COU, IQR). La gradualidad en estos últimos será la que determine el prestador en el mercado regional.

 

e) La autodeclaración de inversiones se realizará por sistema, acorde con la aplicación que realizó el prestador de la metodología de la Resolución CRA 287 de 2004.

 

PARÁGRAFO. La CRA revisará, dentro de los treinta (30) días siguientes al recibo del nuevo estudio de costos, si como resultado del mismo se mantienen o se modifican las condiciones que sustentaron la declaratoria del mercado regional y que no se afecten los elementos esenciales (indicadores, metas, plazo del mercado regional) previstos en la normativa vigente así como la integralidad de la tarifa. En caso de que se afecten se iniciará una actuación administrativa tendiente a revisar la declaratoria de tal mercado”.

 

ARTÍCULO 51. ADICIONAR el artículo 122 a la Resolución CRA 688 de 2014, así:

 

ARTÍCULO 122. Vigencias y derogatorias. La presente resolución rige a partir de la fecha de su publicación en el Diario Oficial y deroga el artículo 2.4.3.14 de la Resolución CRA 151 de 2001, la Resolución CRA 543 de 2011, la Resolución CRA 613 de 2012, y todas aquellas disposiciones que le sean contrarias”.

 

ARTÍCULO 52. VIGENCIA. La presente resolución rige a partir de la fecha de su publicación en el Diario Oficial.

 

Dada en Bogotá D.C., a los 09 días del mes de diciembre del año 2015

 

PUBLÍQUESE Y CÚMPLASE.

 

 

MARIA CAROLINA CASTILLO AGUILAR

JULIO CESAR AGUILERA WILCHES

 

Presidente

 

Director Ejecutivo