RÉGIMEN LEGAL DE BOGOTÁ D.C.

© Propiedad de la Secretaría Jurídica Distrital de la Alcaldía Mayor de Bogotá D.C.

Secretaría
Jurídica Distrital

Cargando el Contenido del Documento
Por favor espere...

Decreto 2152 de 2017 Nivel Nacional

Fecha de Expedición:
20/12/2017
Fecha de Entrada en Vigencia:
20/12/2017
Medio de Publicación:
Diario Oficial No. 50453 del 20 de diciembre de 2017.
La Secretaría Jurídica Distrital aclara que la información aquí contenida tiene exclusivamente carácter informativo, su vigencia está sujeta al análisis y competencias que determine la Ley o los reglamentos. Los contenidos están en permanente actualización.


 
 

DECRETO 2152 DE 2017

(Diciembre 20)

Por el cual se ajusta el presupuesto del bienio 2017 -2018 del Sistema General de Regalías, trasladando recursos del Fondo de Desarrollo Regional a los beneficiarios de asignaciones directas y se dictan otras disposiciones

EL PRESIDENTE DE LA REPÚBLICA DE COLOMBIA

En uso de sus facultades constitucionales y legales, en especial las conferidas por el parágrafo transitorio segundo del artículo 361 de la Constitución Política, y,

CONSIDERANDO

Que el Acto Legislativo 05 de 2011 modificó los artículos 360 y 361 de la Constitución Política y constituyó el Sistema General de Regalías.

Que el inciso del artículo 361 de la Constitución Política establece que: “Los departamentos, municipios y distritos en cuyo territorio se adelanten explotaciones de recursos naturales no renovables, así como los municipios y distritos con puertos marítimos y fluviales por donde se transporten dichos recursos o productos derivados de los mismos, tendrán derecho a participar en las regalías y compensaciones, así como a ejecutar directamente estos recursos”.

Que el inciso segundo del parágrafo transitorio del artículo 361 de la Constitución Política establece que en el evento en que durante el período comprendido entre los años 2015 y 2020 las asignaciones directas de que trata el inciso segundo de ese mismo artículo, sean inferiores al 40% del promedio anual, en pesos constantes de 2010, de las asignaciones directas causadas menos descuentos de ley entre los años 2007 y 2010; el departamento, municipio o distrito, podrá utilizar los recursos de la asignación del departamento respectivo en el Fondo de Desarrollo Regional, hasta alcanzar dicho porcentaje o hasta agotar los recursos del departamento en el mencionado Fondo, lo que ocurra primero.

Que el inciso primero del parágrafo del artículo 11 de la Ley 1744 de 2014 dispuso que el Gobierno nacional, mediante decreto, durante el primer trimestre del año 2015, debía adelantar los ajustes necesarios para asignar el 50% del monto anual a compensar por cada entidad beneficiaria, trasladando los recursos del Fondo de Desarrollo Regional e incorporándolos como regalías directas y compensaciones.

Que en cumplimiento de lo anterior se expidió el Decreto 724 de 2015.

Que el inciso segundo del parágrafo del artículo 11 de la Ley 1744 de 2014 determinó que durante el primer trimestre de 2016, el Gobierno nacional, mediante decreto, debía adelantar los ajustes necesarios para asignar los recursos faltantes de la compensación del año 2015 y el 50% del monto a compensar en el año 2016, trasladando los recursos del Fondo de Desarrollo Regional e incorporándolos como regalías directas y compensaciones.

Que en cumplimiento de lo anterior se expidió el Decreto 1296 de 2016;

Que el artículo 12 del Decreto 1103 de 2017 dispone que para ajustar las compensaciones del bienio 2015-2016, debe tenerse en cuenta los valores asignados como Disponibilidad Inicial 2017-2018 y el exceso de ahorro en el Fondo de Ahorro y Estabilización 2015-2016 definitivo correspondientes al Fondo de Desarrollo Regional “compensación asignaciones directas”.

Que el anterior artículo determina que para calcular el valor a compensar se tendrán en cuenta los valores asignados como exceso de ahorro en el Fondo de Ahorro y Estabilización 2015-2016 definitivo, correspondientes a Asignaciones Directas y Compensaciones, que serán sumados a los valores que el Ministerio de Minas y Energía certifique al Departamento Nacional de Planeación como ingresos de asignaciones directas para los años del bienio 2015-2016.

Que el parágrafo del artículo 12 del Decreto 1103 de 2017 establece que los valores asignados en dicho decreto como Disponibilidad Inicial 2017-2018 y exceso de ahorro en el Fondo de Ahorro y Estabilización 2015-2016 definitivo, correspondientes al Fondo de Desarrollo Regional “compensación asignaciones directas”, serán destinados al financiamiento de proyectos de inversión una vez se haya adelantado el ajuste a las compensaciones de las que trata el citado artículo.

Que el Departamento Nacional de Planeación, remitió mediante Oficios números 20174310515751 del 29 de agosto de 2017 y 20174310599471 del 04 de octubre de 2017, el cálculo del ajuste a las compensaciones 2015 y 2016, con base en: i) la información remitida por el Ministerio de Minas y Energía mediante oficios con radicados internos del DNP número 20176630391702 del 28 de julio de 2017, ii) la información remitida por el Ministerio de Hacienda y Crédito Público mediante oficio con radicado interno del DNP número 20176630390372 del 28 de julio de 2017 y iii) el cálculo del valor faltante para alcanzar el porcentaje señalado en el inciso segundo del parágrafo segundo transitorio del artículo 361 de la Constitución Política para cada beneficiario, aplicando la distribución señalada en el mencionado artículo 2.2.4.5.3 del Decreto 1082 de 2015 y siguiendo la metodología de cálculo contenida en el Anexo número 1 que hace parte integral del presente decreto.

Que el artículo 2.2.4.5.3 del Decreto 1082 de 2015, dispone que los recursos del Fondo de Desarrollo Regional que las entidades territoriales pueden destinar para alcanzar los porcentajes establecidos en el inciso segundo del parágrafo transitorio del artículo 361 de la Constitución Política, se distribuirán en proporción al faltante que cada entidad territorial tenga con respecto al faltante consolidado de los municipios y departamentos en el respectivo departamento, y señala el procedimiento para calcular dicha distribución.

Que el Gobierno nacional en cumplimiento de lo establecido en el artículo 87 de la Ley 1530 de 2012 expidió mediante el Decreto 2190 de 2016, el Presupuesto del Sistema General de Regalías para el bienio 2017-2018.

Que mediante el Decreto 1103 de 2017, se realizó el cierre presupuestal de la vigencia 2015- 2016 y se ajustó el Presupuesto del Sistema General de Regalías para el bienio 2017-2018.

En mérito de lo expuesto,

DECRETA:

TÍTULO I

AJUSTE A LAS COMPENSACIONES DE LOS AÑOS 2015 Y 2016

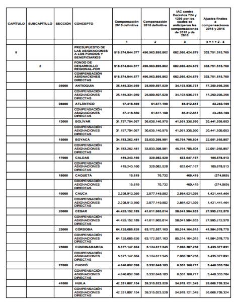
Artículo 1º. Contracredítese el CAPÍTULO II – PRESUPUESTO DE LAS ASIGNACIONES A LOS FONDOS Y BENEFICIARIOS SUBCAPÍTULO 2 - FONDO DE DESARROLLO REGIONAL (FDR) COMPENSACIÓN ASIGNACIONES DIRECTAS, la suma de TRESCIENTOS TREINTA Y TRES MIL SETECIENTOS CINCUENTA Y UN MILLONES QUINIENTOS QUINCE MIL SETECIENTOS SESENTA PESOS ($333.751.515.760) MONEDA LEGAL, de acuerdo con el siguiente detalle:

Artículo 2º. Con base en el contracrédito efectuado en el artículo 1º, acredítese en el CAPÍTULO III PRESUPUESTO DE LAS ENTIDADES RECEPTORAS DIRECTAS DE REGALÍAS Y COMPENSACIONES. SUBCAPÍTULO I - DEPARTAMENTOS la suma de TRESCIENTOS TREINTA Y TRES MIL SETECIENTOS CINCUENTA Y UN MILLONES QUINIENTOS QUINCE MIL SETECIENTOS SESENTA PESOS ($333.751.515.760) MONEDA LEGAL, para compensar a las entidades beneficiarias de asignaciones directas de que trata el parágrafo transitorio del artículo 361 de la Constitución Política, correspondientes a los ajustes finales a las compensaciones de los años 2015 y 2016, de acuerdo con el siguiente detalle:

Artículo 3º. Los recursos de que trata la columna “Ajustes Finales a compensaciones 2015 y 2016” del artículo 2º del presente decreto se desagregan entre las entidades territoriales beneficiarias de la compensación de asignaciones directas según el detalle y montos contenidos en el Anexo número 2 que hace parte integral del presente Decreto. En dicho anexo se incluyen al detalle los ajustes tanto positivos como negativos a los recursos asignados y girados en la vigencia 2015-2016 en cumplimiento de lo dispuesto en los Decretos 724 de 2015 y 1296 de 2016.

Parágrafo: Cuando a una entidad territorial le corresponda un mayor valor a los recursos asignados y girados en la vigencia 2015-2016 en cumplimiento de lo dispuesto en los decretos 724 de 2015 y 1296 de 2016, esta diferencia se entenderá como un ajuste positivo; cuando le corresponda un menor valor, la diferencia se entenderá como un ajuste negativo

TÍTULO II

RECURSOS A TRANSFERIRSE AL FONDO DE DESARROLLO REGIONAL – PROYECTOS DE INVERSIÓN UNA VEZ GARANTIZADA LA COMPENSACIÓN DE LOS AÑOS 2015 Y 2016

Artículo 4º. Contracredítese el CAPÍTULO II – PRESUPUESTO DE LAS ASIGNACIONES A LOS FONDOS Y BENEFICIARIOS SUBCAPÍTULO 2 - FONDO DE DESARROLLO REGIONAL (FDR) COMPENSACIÓN ASIGNACIONES DIRECTAS, la suma de DOSCIENTOS VEINTICUATRO MILLONES SEISCIENTOS CUARENTA Y NUEVE MIL TRESCIENTOS NUEVE PESOS ($224.649.309) MONEDA LEGAL, de acuerdo con el siguiente detalle:

Artículo 5º. Con base en el contracrédito efectuado en el artículo 4º, acredítese el CAPÍTULO II – PRESUPUESTO DE LAS ASIGNACIONES A LOS FONDOS Y BENEFICIARIOS SUBCAPÍTULO 2 - FONDO DE DESARROLLO REGIONAL (FDR) PROYECTOS DE INVERSIÓN en la suma de DOSCIENTOS VEINTICUATRO MILLONES SEISCIENTOS CUARENTA Y NUEVE MIL TRESCIENTOS NUEVE PESOS ($224.649.309) MONEDA LEGAL, de acuerdo con el siguiente detalle:

TÍTULO III

DISPOSICIONES GENERALES

Artículo 6º. En los casos en que las instrucciones de abono a cuenta – IAC remitidas al Ministerio de Hacienda y Crédito Público - MHCP en la vigencia 2015-2016 en cumplimiento de los Decretos 724 de 2015 y 1296 de 2016, hayan sido mayores a la suma de los siguientes montos: i) la compensación definitiva del año 2015, y ii) la compensación definitiva del año 2016, la entidad territorial deberá reintegrar la diferencia a la Cuenta Única del Sistema General de Regalías dentro del mes siguiente a la publicación del presente Decreto.

En el evento que dicho reintegro no se haga efectivo por parte de las entidades territoriales, el Departamento Nacional de Planeación (DNP) descontará la diferencia en las siguientes IAC de los recursos por asignaciones directas de la entidad territorial, de los recursos asignados en el artículo del Decreto 1103 de 2017 como exceso de ahorro en el FAE 2015-2016 definitivo, de los recursos asignados en el artículo del Decreto 2190 de 2016 como Desahorro Fondo de Ahorro y Estabilización y de los recursos que le sean asignados a la entidad territorial en el año 2018 correspondientes a la compensación del año 2017.

Si los descuentos realizados por el DNP en la vigencia 2017-2018 no fueran suficientes para cubrir la diferencia, estos saldos serán ajustados contra el recaudo de las asignaciones directas de las entidades territoriales, en las siguientes vigencias presupuestales.

Artículo 7º. El Ministerio de Hacienda y Crédito Público girará las compensaciones de que trata el presente Decreto a las cuentas registradas por las entidades territoriales beneficiarias, conforme a los montos asignados en el Anexo 2, la instrucción de abono en cuenta y la disponibilidad de recursos en la Cuenta Única del Sistema.

Artículo 8º. La Dirección General Crédito Público y Tesoro Nacional del Ministerio de Hacienda y Crédito Público solicitará al Banco de la República el monto del exceso de ahorro en el FAE 2015-2016 definitivo, correspondientes al Fondo de Desarrollo Regional – Compensación Asignaciones Directas, utilizando el mismo procedimiento establecido en el artículo 2.2.4.10.4. del Decreto 1082 de 2015 para desahorros del FAE.

Artículo 9º. Las entidades territoriales beneficiarias de las compensaciones de que trata el presente decreto, deberán destinar los recursos asignados, de acuerdo con las normas y procedimientos que regulan el Sistema General de Regalías aplicables a las asignaciones directas.

Artículo 10. El presente decreto rige a partir de la fecha de su publicación, modifica y deroga las disposiciones que le sean contrarias.

PUBLÍQUESE Y CÚMPLASE.

Dado en Bogotá D.C., a los 20 días del mes de diciembre del año 2017

JUAN MANUEL SANTOS CALDERÓN

EL MINISTRO DE HACIENDA Y CRÉDITO PÚBLICO,

MAURICIO CÁRDENAS SANTAMARÍA

EL MINISTRO DE MINAS Y ENERGÍA,

GERMÁN ARCE ZAPATA

EL DIRECTOR DEL DEPARTAMENTO NACIONAL DE PLANEACIÓN,

LUIS FERNANDO MEJÍA ALZATE

NOTA: Ver Anexos.